Association between C-reactive protein-triglyceride glucose index and testosterone levels among adult men: analyses of NHANES 2015-2016 data.

IF 2 3区 医学 Q1 MEDICINE, GENERAL & INTERNAL
Sexual Medicine Pub Date : 2025-03-09 eCollection Date: 2025-02-01 DOI:10.1093/sexmed/qfaf012
Bo Zhang, Yi Gu, Yiming Chen, Wei Xia, Naiyuan Shao, Qianfeng Zhuang, Xingliang Feng
{"title":"Association between C-reactive protein-triglyceride glucose index and testosterone levels among adult men: analyses of NHANES 2015-2016 data.","authors":"Bo Zhang, Yi Gu, Yiming Chen, Wei Xia, Naiyuan Shao, Qianfeng Zhuang, Xingliang Feng","doi":"10.1093/sexmed/qfaf012","DOIUrl":null,"url":null,"abstract":"<p><strong>Background: </strong>The C-reactive protein-triglyceride glucose index (CTI) is a recently introduced index designed to simultaneously assess inflammation (via CRP) and insulin resistance (via the triglyceride-glucose index, TyG), both of which are recognized risk factors for declining testosterone levels in men.</p><p><strong>Aim: </strong>This study investigates the association between CTI and low testosterone levels in American adult men, aiming to evaluate CTI as a predictor of low testosterone level.</p><p><strong>Methods: </strong>Data from the 2015-2016 NHANES were used in this cross-sectional study, including men aged 20 and older. Multivariate linear and logistic regression models were employed to analyze the relationship between CTI, total testosterone levels, and the risk of low testosterone level. Receiver operating characteristic (ROC) curves were generated to assess the predictive performance of CTI for low testosterone level.</p><p><strong>Outcomes: </strong>The primary outcome was testosterone levels, with low testosterone level defined as a serum testosterone level below 300 ng/dL in adult men.</p><p><strong>Results: </strong>Among 878 participants, 189 had low testosterone level. The mean CTI was significantly higher in the low testosterone level group (9.39 ± 0.09) compared to the non- low testosterone level group (8.62 ± 0.05; <i>P</i> < .0001). After adjusting for covariates, higher CTI was significantly associated with lower total testosterone levels (β = -44.6, 95% CI: -66.34, -22.87, <i>P</i> < .001) and increased low testosterone level risk (OR = 1.84, 95% CI: 1.31, 2.57, <i>P</i> = .002). ROC analysis showed that CTI (AUC = 0.7357, 95% CI: 0.6975, 0.7739) outperformed TyG and VAI in predicting low testosterone level, highlighting its potential clinical value in assessing low testosterone status.</p><p><strong>Clinical implications: </strong>Timely monitoring of testosterone levels in individuals with elevated CTI is clinically significant. Additionally, for those with TD, regular assessment of CTI may help in preventing future cardiovascular complications.</p><p><strong>Strengths and limitations: </strong>This study is the first to explore the relationship between CTI and low testosterone using a large sample from the NHANES database. However, due to the cross-sectional design, causal inference regarding CTI and low testosterone level cannot be drawn.</p><p><strong>Conclusions: </strong>CTI appears to be a more effective predictor of low testosterone level than TyG, CRP, or VAI, suggesting its usefulness as a simple, low-cost indicator for early TD risk assessment. Further research is needed to verify its clinical applicability across diverse populations.</p>","PeriodicalId":21782,"journal":{"name":"Sexual Medicine","volume":"13 1","pages":"qfaf012"},"PeriodicalIF":2.0000,"publicationDate":"2025-03-09","publicationTypes":"Journal Article","fieldsOfStudy":null,"isOpenAccess":false,"openAccessPdf":"https://www.ncbi.nlm.nih.gov/pmc/articles/PMC11890278/pdf/","citationCount":"0","resultStr":null,"platform":"Semanticscholar","paperid":null,"PeriodicalName":"Sexual Medicine","FirstCategoryId":"3","ListUrlMain":"https://doi.org/10.1093/sexmed/qfaf012","RegionNum":3,"RegionCategory":"医学","ArticlePicture":[],"TitleCN":null,"AbstractTextCN":null,"PMCID":null,"EPubDate":"2025/2/1 0:00:00","PubModel":"eCollection","JCR":"Q1","JCRName":"MEDICINE, GENERAL & INTERNAL","Score":null,"Total":0}
引用次数: 0

Abstract

Background: The C-reactive protein-triglyceride glucose index (CTI) is a recently introduced index designed to simultaneously assess inflammation (via CRP) and insulin resistance (via the triglyceride-glucose index, TyG), both of which are recognized risk factors for declining testosterone levels in men.

Aim: This study investigates the association between CTI and low testosterone levels in American adult men, aiming to evaluate CTI as a predictor of low testosterone level.

Methods: Data from the 2015-2016 NHANES were used in this cross-sectional study, including men aged 20 and older. Multivariate linear and logistic regression models were employed to analyze the relationship between CTI, total testosterone levels, and the risk of low testosterone level. Receiver operating characteristic (ROC) curves were generated to assess the predictive performance of CTI for low testosterone level.

Outcomes: The primary outcome was testosterone levels, with low testosterone level defined as a serum testosterone level below 300 ng/dL in adult men.

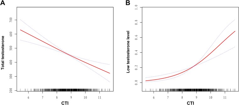
Results: Among 878 participants, 189 had low testosterone level. The mean CTI was significantly higher in the low testosterone level group (9.39 ± 0.09) compared to the non- low testosterone level group (8.62 ± 0.05; P < .0001). After adjusting for covariates, higher CTI was significantly associated with lower total testosterone levels (β = -44.6, 95% CI: -66.34, -22.87, P < .001) and increased low testosterone level risk (OR = 1.84, 95% CI: 1.31, 2.57, P = .002). ROC analysis showed that CTI (AUC = 0.7357, 95% CI: 0.6975, 0.7739) outperformed TyG and VAI in predicting low testosterone level, highlighting its potential clinical value in assessing low testosterone status.

Clinical implications: Timely monitoring of testosterone levels in individuals with elevated CTI is clinically significant. Additionally, for those with TD, regular assessment of CTI may help in preventing future cardiovascular complications.

Strengths and limitations: This study is the first to explore the relationship between CTI and low testosterone using a large sample from the NHANES database. However, due to the cross-sectional design, causal inference regarding CTI and low testosterone level cannot be drawn.

Conclusions: CTI appears to be a more effective predictor of low testosterone level than TyG, CRP, or VAI, suggesting its usefulness as a simple, low-cost indicator for early TD risk assessment. Further research is needed to verify its clinical applicability across diverse populations.

Abstract Image

Abstract Image

Abstract Image

成年男性c反应蛋白-甘油三酯葡萄糖指数与睾酮水平的关系:NHANES 2015-2016数据分析
背景:c反应蛋白-甘油三酯葡萄糖指数(CTI)是最近引入的一种指数,旨在同时评估炎症(通过CRP)和胰岛素抵抗(通过甘油三酯-葡萄糖指数,TyG),这两者都是男性睾酮水平下降的公认危险因素。目的:本研究探讨CTI与美国成年男性低睾酮水平之间的关系,旨在评估CTI作为低睾酮水平的预测因子。方法:本横断面研究使用2015-2016年NHANES的数据,包括20岁及以上的男性。采用多元线性和logistic回归模型分析CTI、总睾酮水平和低睾酮水平风险之间的关系。生成受试者工作特征(ROC)曲线,以评估CTI对低睾酮水平的预测性能。结果:主要结果是睾酮水平,低睾酮水平定义为成年男性血清睾酮水平低于300 ng/dL。结果:在878名参与者中,189人睾酮水平低。睾酮水平低组CTI平均值(9.39±0.09)显著高于非睾酮水平低组(8.62±0.05);p p p = .002)。ROC分析显示CTI (AUC = 0.7357, 95% CI: 0.6975, 0.7739)在预测低睾酮水平方面优于TyG和VAI,突出了其在评估低睾酮状态方面的潜在临床价值。临床意义:在CTI升高的个体中及时监测睾酮水平具有临床意义。此外,对于TD患者,定期评估CTI可能有助于预防未来的心血管并发症。优势和局限性:本研究首次使用NHANES数据库中的大样本来探索CTI与低睾酮之间的关系。然而,由于横断面设计,不能得出CTI和低睾酮水平的因果推论。结论:CTI似乎比TyG, CRP或VAI更有效地预测低睾酮水平,表明其作为早期TD风险评估的简单,低成本指标的有效性。需要进一步的研究来验证其在不同人群中的临床适用性。
本文章由计算机程序翻译,如有差异,请以英文原文为准。
求助全文
约1分钟内获得全文 求助全文
来源期刊
Sexual Medicine
Sexual Medicine MEDICINE, GENERAL & INTERNAL-
CiteScore
5.40
自引率
0.00%
发文量
103
审稿时长
22 weeks
期刊介绍: Sexual Medicine is an official publication of the International Society for Sexual Medicine, and serves the field as the peer-reviewed, open access journal for rapid dissemination of multidisciplinary clinical and basic research in all areas of global sexual medicine, and particularly acts as a venue for topics of regional or sub-specialty interest. The journal is focused on issues in clinical medicine and epidemiology but also publishes basic science papers with particular relevance to specific populations. Sexual Medicine offers clinicians and researchers a rapid route to publication and the opportunity to publish in a broadly distributed and highly visible global forum. The journal publishes high quality articles from all over the world and actively seeks submissions from countries with expanding sexual medicine communities. Sexual Medicine relies on the same expert panel of editors and reviewers as The Journal of Sexual Medicine and Sexual Medicine Reviews.
×
引用
GB/T 7714-2015
复制
MLA
复制
APA
复制
导出至
BibTeX EndNote RefMan NoteFirst NoteExpress
×
提示
您的信息不完整,为了账户安全,请先补充。
现在去补充
×
提示
您因"违规操作"
具体请查看互助需知
我知道了
×
提示
确定
请完成安全验证×
copy
已复制链接
快去分享给好友吧!
我知道了
右上角分享
点击右上角分享
0
联系我们:info@booksci.cn Book学术提供免费学术资源搜索服务,方便国内外学者检索中英文文献。致力于提供最便捷和优质的服务体验。 Copyright © 2023 布克学术 All rights reserved.
京ICP备2023020795号-1
ghs 京公网安备 11010802042870号
Book学术文献互助
Book学术文献互助群
群 号:604180095
Book学术官方微信