Longitudinal risk of serious infections in patients with inflammatory arthritis on immunomodulating therapy compared to controls.

IF 2.1 Q3 RHEUMATOLOGY
Rheumatology Advances in Practice Pub Date : 2025-02-12 eCollection Date: 2025-01-01 DOI:10.1093/rap/rkaf017
Ingrid Egeland Christensen, Siri Lillegraven, Joseph Sexton, Tore K Kvien, Till Uhlig, Sella Aarrestad Provan
{"title":"Longitudinal risk of serious infections in patients with inflammatory arthritis on immunomodulating therapy compared to controls.","authors":"Ingrid Egeland Christensen, Siri Lillegraven, Joseph Sexton, Tore K Kvien, Till Uhlig, Sella Aarrestad Provan","doi":"10.1093/rap/rkaf017","DOIUrl":null,"url":null,"abstract":"<p><strong>Objectives: </strong>To compare the risk of serious infection across time cohorts in patients with inflammatory arthritis (IA) initiating their first biologic/targeted synthetic DMARD (b/tsDMARD), to that of the general population. Secondarily, to compare the development in infection risk during treatment across diagnoses and examine risk dynamics during the course of b/tsDMARD treatment.</p><p><strong>Methods: </strong>Patients with IA starting their first b/tsDMARD were included from the prospective NOR-DMARD study. Controls were randomly drawn from the general population. Cox regressions were used to compare the 12-month risk of serious infections across three time cohorts following initiation (2009-2011, 2012-2014, 2015-2018) and risk during the course of treatment at 6-month intervals up to 24 months.</p><p><strong>Results: </strong>A total of 4309 patients (RA, 1581; PsA, 1032; SpA, 1696) and 86 640 controls were included. From 2009 through 2018, 51 serious infections occurred during the first year of b/tsDMARD treatment in RA patients [hazard ratio (HR) 2.42 (95% CI 1.83, 3.21)] compared with controls and 52 serious infections were observed in patients with PsA/SpA [HR 1.91 (95% CI 1.44, 2.52)]. There were no significant differences in 12-month risk of serious infections during b/tsDMARD exposure between time cohorts. PsA/SpA patients had a consistently lower risk of serious infection compared with RA patients. The risk of serious infections did not change during the treatment course.</p><p><strong>Conclusion: </strong>Patients with IA starting their first b/tsDMARD between 2009 and 2018 had a consistently higher 12-month risk of serious infection compared with controls. No change in the risk of serious infection across time cohorts of b/tsDMARD initiation was observed, nor during the treatment course.</p>","PeriodicalId":21350,"journal":{"name":"Rheumatology Advances in Practice","volume":"9 1","pages":"rkaf017"},"PeriodicalIF":2.1000,"publicationDate":"2025-02-12","publicationTypes":"Journal Article","fieldsOfStudy":null,"isOpenAccess":false,"openAccessPdf":"https://www.ncbi.nlm.nih.gov/pmc/articles/PMC11889454/pdf/","citationCount":"0","resultStr":null,"platform":"Semanticscholar","paperid":null,"PeriodicalName":"Rheumatology Advances in Practice","FirstCategoryId":"1085","ListUrlMain":"https://doi.org/10.1093/rap/rkaf017","RegionNum":0,"RegionCategory":null,"ArticlePicture":[],"TitleCN":null,"AbstractTextCN":null,"PMCID":null,"EPubDate":"2025/1/1 0:00:00","PubModel":"eCollection","JCR":"Q3","JCRName":"RHEUMATOLOGY","Score":null,"Total":0}
引用次数: 0

Abstract

Objectives: To compare the risk of serious infection across time cohorts in patients with inflammatory arthritis (IA) initiating their first biologic/targeted synthetic DMARD (b/tsDMARD), to that of the general population. Secondarily, to compare the development in infection risk during treatment across diagnoses and examine risk dynamics during the course of b/tsDMARD treatment.

Methods: Patients with IA starting their first b/tsDMARD were included from the prospective NOR-DMARD study. Controls were randomly drawn from the general population. Cox regressions were used to compare the 12-month risk of serious infections across three time cohorts following initiation (2009-2011, 2012-2014, 2015-2018) and risk during the course of treatment at 6-month intervals up to 24 months.

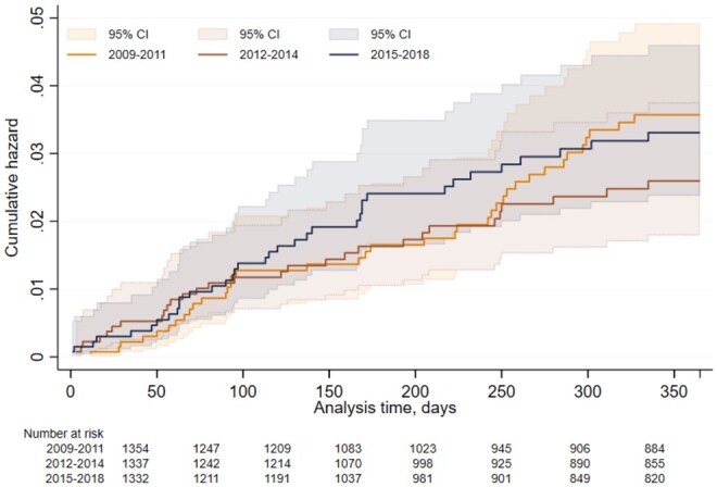
Results: A total of 4309 patients (RA, 1581; PsA, 1032; SpA, 1696) and 86 640 controls were included. From 2009 through 2018, 51 serious infections occurred during the first year of b/tsDMARD treatment in RA patients [hazard ratio (HR) 2.42 (95% CI 1.83, 3.21)] compared with controls and 52 serious infections were observed in patients with PsA/SpA [HR 1.91 (95% CI 1.44, 2.52)]. There were no significant differences in 12-month risk of serious infections during b/tsDMARD exposure between time cohorts. PsA/SpA patients had a consistently lower risk of serious infection compared with RA patients. The risk of serious infections did not change during the treatment course.

Conclusion: Patients with IA starting their first b/tsDMARD between 2009 and 2018 had a consistently higher 12-month risk of serious infection compared with controls. No change in the risk of serious infection across time cohorts of b/tsDMARD initiation was observed, nor during the treatment course.

Abstract Image

Abstract Image

与对照组相比,接受免疫调节治疗的炎症性关节炎患者严重感染的纵向风险。
目的:比较炎症性关节炎(IA)患者首次使用生物/靶向合成DMARD (b/tsDMARD)与普通人群严重感染的风险。其次,比较不同诊断期间感染风险的发展,并检查b/tsDMARD治疗过程中的风险动态。方法:开始第一次b/tsDMARD的IA患者纳入前瞻性no - dmard研究。对照组是从一般人群中随机抽取的。使用Cox回归来比较开始治疗后(2009-2011年、2012-2014年、2015-2018年)三个时间队列的12个月严重感染风险,以及治疗过程中每隔6个月至24个月的风险。结果:共4309例患者(RA, 1581例;PsA, 1032;包括SpA, 1696)和86640名对照。从2009年到2018年,与对照组相比,b/tsDMARD治疗RA患者的第一年发生了51例严重感染[危险比(HR) 2.42 (95% CI 1.83, 3.21)], PsA/SpA患者中观察到52例严重感染[HR 1.91 (95% CI 1.44, 2.52)]。在b/tsDMARD暴露期间的12个月严重感染风险在时间队列之间没有显着差异。与RA患者相比,PsA/SpA患者的严重感染风险始终较低。在治疗过程中,严重感染的风险没有改变。结论:与对照组相比,2009年至2018年期间开始第一次b/tsDMARD的IA患者在12个月内发生严重感染的风险始终较高。在b/tsDMARD开始的时间队列中,严重感染的风险没有变化,在治疗过程中也没有观察到。
本文章由计算机程序翻译,如有差异,请以英文原文为准。
求助全文
约1分钟内获得全文 求助全文
来源期刊
Rheumatology Advances in Practice
Rheumatology Advances in Practice Medicine-Rheumatology
CiteScore
3.60
自引率
3.20%
发文量
197
审稿时长
11 weeks
×
引用
GB/T 7714-2015
复制
MLA
复制
APA
复制
导出至
BibTeX EndNote RefMan NoteFirst NoteExpress
×
提示
您的信息不完整,为了账户安全,请先补充。
现在去补充
×
提示
您因"违规操作"
具体请查看互助需知
我知道了
×
提示
确定
请完成安全验证×
copy
已复制链接
快去分享给好友吧!
我知道了
右上角分享
点击右上角分享
0
联系我们:info@booksci.cn Book学术提供免费学术资源搜索服务,方便国内外学者检索中英文文献。致力于提供最便捷和优质的服务体验。 Copyright © 2023 布克学术 All rights reserved.
京ICP备2023020795号-1
ghs 京公网安备 11010802042870号
Book学术文献互助
Book学术文献互助群
群 号:604180095
Book学术官方微信