A robust planning approach for respiratory motion in accelerated partial breast irradiation using volumetric modulated arc therapy.

IF 2 4区 医学 Q2 BIOLOGY
Ryohei Yamauchi, Fumihiro Tomita, Satoshi Ishikura
{"title":"A robust planning approach for respiratory motion in accelerated partial breast irradiation using volumetric modulated arc therapy.","authors":"Ryohei Yamauchi, Fumihiro Tomita, Satoshi Ishikura","doi":"10.1093/jrr/rraf011","DOIUrl":null,"url":null,"abstract":"<p><p>Accelerated partial breast irradiation (APBI) is an alternative treatment for early-stage breast cancer. This study aimed to evaluate the effectiveness of the virtual bolus (VB) method and robust planning against respiratory motion in volumetric modulated arc therapy (VMAT)-APBI. VMAT plans were generated with 30 Gy in 5 fractions for 16 patients. Four treatment plans were developed and compared: a standard optimization (SO) plan without robust methods, a pseudo-skin flash strategy using a 5 mm VB (with densities of 0.4 and 1.0 g/cm3, VB04 and VB10), and a robust optimization (RO) plan to minimize penalties in worst-case scenarios. The isocenter was shifted 1-5 mm in each translational direction in robust analysis, and perturbed dose calculations were performed. All dose constraints for the target in SO and VB plans were within acceptable limits, but the dose evaluation volume V95% in the RO plan was lower than in other plans (P < 0.05). The clinical target volume V95% of the RO plan was significantly higher than in VB04 and VB10 (P < 0.05). The RO plan showed the best performance for organs at risk, followed by SO and VB plans, which resulted in higher doses. The RO plan exhibited the smallest change (±2%) in dose distribution due to respiratory motion. By contrast, the SO plan lacked robustness owing to absence of sufficient fluence in the air surrounding the planning target volume outside of the skin surface. The RO plan offers superior target coverage, maximum dose, and robustness compared to SO and VB methods.</p>","PeriodicalId":16922,"journal":{"name":"Journal of Radiation Research","volume":" ","pages":"185-195"},"PeriodicalIF":2.0000,"publicationDate":"2025-03-24","publicationTypes":"Journal Article","fieldsOfStudy":null,"isOpenAccess":false,"openAccessPdf":"https://www.ncbi.nlm.nih.gov/pmc/articles/PMC11932346/pdf/","citationCount":"0","resultStr":null,"platform":"Semanticscholar","paperid":null,"PeriodicalName":"Journal of Radiation Research","FirstCategoryId":"3","ListUrlMain":"https://doi.org/10.1093/jrr/rraf011","RegionNum":4,"RegionCategory":"医学","ArticlePicture":[],"TitleCN":null,"AbstractTextCN":null,"PMCID":null,"EPubDate":"","PubModel":"","JCR":"Q2","JCRName":"BIOLOGY","Score":null,"Total":0}
引用次数: 0

Abstract

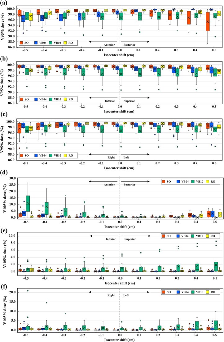
Accelerated partial breast irradiation (APBI) is an alternative treatment for early-stage breast cancer. This study aimed to evaluate the effectiveness of the virtual bolus (VB) method and robust planning against respiratory motion in volumetric modulated arc therapy (VMAT)-APBI. VMAT plans were generated with 30 Gy in 5 fractions for 16 patients. Four treatment plans were developed and compared: a standard optimization (SO) plan without robust methods, a pseudo-skin flash strategy using a 5 mm VB (with densities of 0.4 and 1.0 g/cm3, VB04 and VB10), and a robust optimization (RO) plan to minimize penalties in worst-case scenarios. The isocenter was shifted 1-5 mm in each translational direction in robust analysis, and perturbed dose calculations were performed. All dose constraints for the target in SO and VB plans were within acceptable limits, but the dose evaluation volume V95% in the RO plan was lower than in other plans (P < 0.05). The clinical target volume V95% of the RO plan was significantly higher than in VB04 and VB10 (P < 0.05). The RO plan showed the best performance for organs at risk, followed by SO and VB plans, which resulted in higher doses. The RO plan exhibited the smallest change (±2%) in dose distribution due to respiratory motion. By contrast, the SO plan lacked robustness owing to absence of sufficient fluence in the air surrounding the planning target volume outside of the skin surface. The RO plan offers superior target coverage, maximum dose, and robustness compared to SO and VB methods.

Abstract Image

Abstract Image

Abstract Image

在使用体积调制弧线治疗的加速部分乳房照射中呼吸运动的稳健规划方法。
加速部分乳房照射(APBI)是早期乳腺癌的一种替代治疗方法。本研究旨在评估虚拟丸(VB)方法和鲁棒计划在容积调节电弧治疗(VMAT)-APBI中的呼吸运动的有效性。16例患者采用5组30 Gy的VMAT计划。研究人员制定了四种治疗方案并进行了比较:一种没有鲁棒方法的标准优化(SO)方案,一种使用5毫米VB(密度为0.4和1.0 g/cm3, VB04和VB10)的伪皮肤闪光策略,以及一种鲁棒优化(RO)方案,以尽量减少最坏情况下的惩罚。在稳健分析中,等中心在每个平移方向上移动1-5 mm,并进行摄动剂量计算。SO和VB方案对靶体的剂量限制均在可接受范围内,但RO方案的剂量评价体积V95%低于其他方案(P
本文章由计算机程序翻译,如有差异,请以英文原文为准。
求助全文
约1分钟内获得全文 求助全文
来源期刊
CiteScore
3.60
自引率
5.00%
发文量
86
审稿时长
4-8 weeks
期刊介绍: The Journal of Radiation Research (JRR) is an official journal of The Japanese Radiation Research Society (JRRS), and the Japanese Society for Radiation Oncology (JASTRO). Since its launch in 1960 as the official journal of the JRRS, the journal has published scientific articles in radiation science in biology, chemistry, physics, epidemiology, and environmental sciences. JRR broadened its scope to include oncology in 2009, when JASTRO partnered with the JRRS to publish the journal. Articles considered fall into two broad categories: Oncology & Medicine - including all aspects of research with patients that impacts on the treatment of cancer using radiation. Papers which cover related radiation therapies, radiation dosimetry, and those describing the basis for treatment methods including techniques, are also welcomed. Clinical case reports are not acceptable. Radiation Research - basic science studies of radiation effects on livings in the area of physics, chemistry, biology, epidemiology and environmental sciences. Please be advised that JRR does not accept any papers of pure physics or chemistry. The journal is bimonthly, and is edited and published by the JRR Editorial Committee.
×
引用
GB/T 7714-2015
复制
MLA
复制
APA
复制
导出至
BibTeX EndNote RefMan NoteFirst NoteExpress
×
提示
您的信息不完整,为了账户安全,请先补充。
现在去补充
×
提示
您因"违规操作"
具体请查看互助需知
我知道了
×
提示
确定
请完成安全验证×
copy
已复制链接
快去分享给好友吧!
我知道了
右上角分享
点击右上角分享
0
联系我们:info@booksci.cn Book学术提供免费学术资源搜索服务,方便国内外学者检索中英文文献。致力于提供最便捷和优质的服务体验。 Copyright © 2023 布克学术 All rights reserved.
京ICP备2023020795号-1
ghs 京公网安备 11010802042870号
Book学术文献互助
Book学术文献互助群
群 号:604180095
Book学术官方微信