Impact of Noncommunicable Diseases and Heat Stress on Estimated Glomerular Filtration Rate in Security Officers at a Tertiary Care Hospital in South India.

IF 0.8 Q4 UROLOGY & NEPHROLOGY
Indian Journal of Nephrology Pub Date : 2025-03-01 Epub Date: 2024-06-29 DOI:10.25259/ijn_386_23
Elenjickal E John, Anna T Valson, Reena George, Phanny J Grace, Parimala Anthony, Nisha Jose, Selvin S R Mani, Joseph Johny, Rizwan Alam, Manish Lalwani, Jeethu Joseph Eapen, Sabina Yusuf, Athul Thomas, Suceena Alexander, Vinoi George David, Pamela Christudoss, Joy Mammen, Santosh Varughese
{"title":"Impact of Noncommunicable Diseases and Heat Stress on Estimated Glomerular Filtration Rate in Security Officers at a Tertiary Care Hospital in South India.","authors":"Elenjickal E John, Anna T Valson, Reena George, Phanny J Grace, Parimala Anthony, Nisha Jose, Selvin S R Mani, Joseph Johny, Rizwan Alam, Manish Lalwani, Jeethu Joseph Eapen, Sabina Yusuf, Athul Thomas, Suceena Alexander, Vinoi George David, Pamela Christudoss, Joy Mammen, Santosh Varughese","doi":"10.25259/ijn_386_23","DOIUrl":null,"url":null,"abstract":"<p><strong>Background: </strong>The job profile of security officers in tropical countries involves prolonged standing in hot conditions causing heat stress as well as complications of sedentary lifestyle. The objectives of this study were to estimate the prevalence of noncommunicable diseases and heat stress in security officers and analyze factors affecting heat stress and estimated glomerular filtration rate (eGFR).</p><p><strong>Materials and methods: </strong>This was an observational cross-sectional study conducted among security personnel working at a tertiary care hospital in South India during the hottest months of March to May 2020. Screening camps were conducted during which anthropometric measurements were taken and blood was collected for hemoglobin, creatinine, and fasting glucose estimation. Urine dipstick analysis for glucose, protein, pH, and red and white blood cells were done on early morning voided sample. Heat stress was assessed by a validated 18-item questionnaire called heat strain score index (HSSI). A structured questionnaire was prepared for surveillance of risk factors of noncommunicable diseases.</p><p><strong>Results: </strong>A total of 678 security officers were screened. Majority (659/678, 97.2%) were men and mean age of the cohort was 45.4 ± 9.2 years. Fifty-two percent (355/678) of participants were engaged in outdoor work for a median duration of 6 (IQR, 0-8) hours/day. Prevalence of obesity, diabetes, hypertension, and chronic kidney disease (CKD) were 70.9, 25.5, 15.9 and 1.3 percentage, respectively. Half of the cohort (324/678) had definite heat stress and 0.9% (6/678) developed CKD of undetermined etiology. Heat stress was higher in those working outdoors and longer employment duration and lower in those with abdominal obesity. eGFR was lower in older officers, smokers, hypertensives, and those with longer employment duration, but was unaffected by HSSI scores.</p><p><strong>Conclusion: </strong>Kidney function was unaffected by high levels of heat stress experienced by security personnel working at a tertiary hospital in South India. Future studies are needed to understand the pathomechanisms of differential impacts of heat stress on kidney function of agricultural various worker categories.</p>","PeriodicalId":13359,"journal":{"name":"Indian Journal of Nephrology","volume":"35 2","pages":"243-252"},"PeriodicalIF":0.8000,"publicationDate":"2025-03-01","publicationTypes":"Journal Article","fieldsOfStudy":null,"isOpenAccess":false,"openAccessPdf":"https://www.ncbi.nlm.nih.gov/pmc/articles/PMC11885958/pdf/","citationCount":"0","resultStr":null,"platform":"Semanticscholar","paperid":null,"PeriodicalName":"Indian Journal of Nephrology","FirstCategoryId":"1085","ListUrlMain":"https://doi.org/10.25259/ijn_386_23","RegionNum":0,"RegionCategory":null,"ArticlePicture":[],"TitleCN":null,"AbstractTextCN":null,"PMCID":null,"EPubDate":"2024/6/29 0:00:00","PubModel":"Epub","JCR":"Q4","JCRName":"UROLOGY & NEPHROLOGY","Score":null,"Total":0}
引用次数: 0

Abstract

Background: The job profile of security officers in tropical countries involves prolonged standing in hot conditions causing heat stress as well as complications of sedentary lifestyle. The objectives of this study were to estimate the prevalence of noncommunicable diseases and heat stress in security officers and analyze factors affecting heat stress and estimated glomerular filtration rate (eGFR).

Materials and methods: This was an observational cross-sectional study conducted among security personnel working at a tertiary care hospital in South India during the hottest months of March to May 2020. Screening camps were conducted during which anthropometric measurements were taken and blood was collected for hemoglobin, creatinine, and fasting glucose estimation. Urine dipstick analysis for glucose, protein, pH, and red and white blood cells were done on early morning voided sample. Heat stress was assessed by a validated 18-item questionnaire called heat strain score index (HSSI). A structured questionnaire was prepared for surveillance of risk factors of noncommunicable diseases.

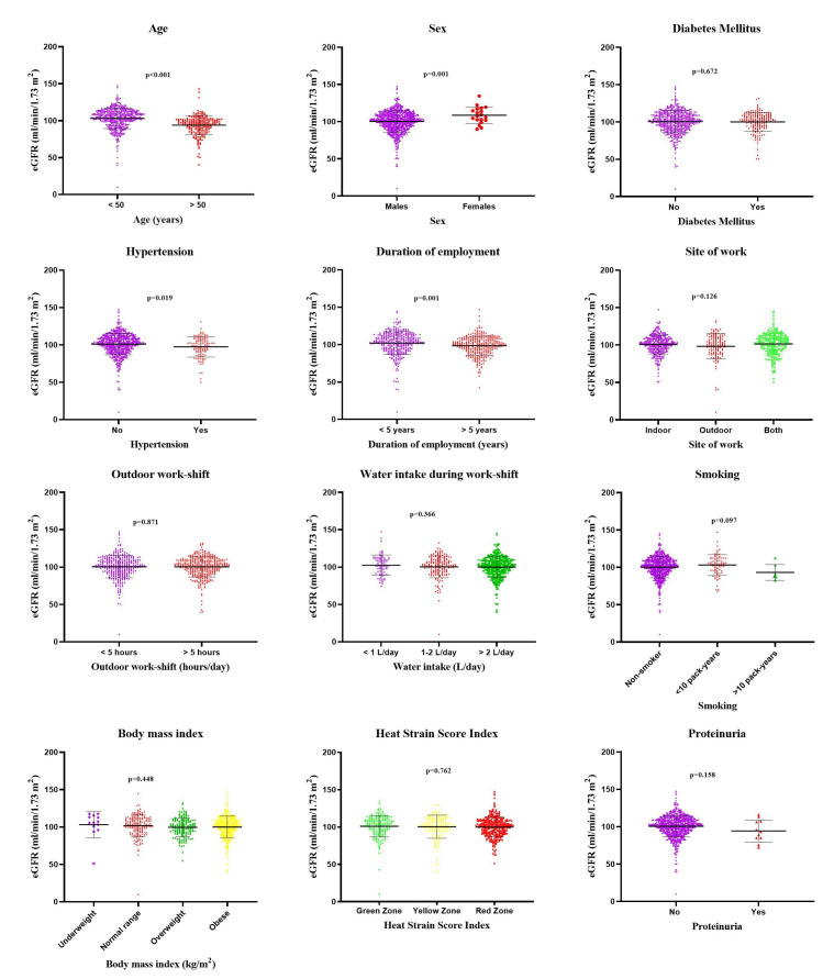
Results: A total of 678 security officers were screened. Majority (659/678, 97.2%) were men and mean age of the cohort was 45.4 ± 9.2 years. Fifty-two percent (355/678) of participants were engaged in outdoor work for a median duration of 6 (IQR, 0-8) hours/day. Prevalence of obesity, diabetes, hypertension, and chronic kidney disease (CKD) were 70.9, 25.5, 15.9 and 1.3 percentage, respectively. Half of the cohort (324/678) had definite heat stress and 0.9% (6/678) developed CKD of undetermined etiology. Heat stress was higher in those working outdoors and longer employment duration and lower in those with abdominal obesity. eGFR was lower in older officers, smokers, hypertensives, and those with longer employment duration, but was unaffected by HSSI scores.

Conclusion: Kidney function was unaffected by high levels of heat stress experienced by security personnel working at a tertiary hospital in South India. Future studies are needed to understand the pathomechanisms of differential impacts of heat stress on kidney function of agricultural various worker categories.

Abstract Image

Abstract Image

非传染性疾病和热应激对印度南部三级医院保安人员肾小球滤过率的影响
背景:热带国家的安全人员的工作特点包括在炎热的条件下长时间站立,造成热应激以及久坐不动的生活方式的并发症。本研究的目的是估计安保人员中非传染性疾病和热应激的患病率,并分析影响热应激和估计肾小球滤过率(eGFR)的因素。材料和方法:这是一项观察性横断面研究,在2020年3月至5月最热的几个月里,在印度南部一家三级医疗医院工作的保安人员中进行。筛查营期间进行人体测量,采集血液进行血红蛋白、肌酐和空腹血糖评估。尿液试纸分析葡萄糖,蛋白质,pH值,红细胞和白细胞对清晨排空样品。热应激通过热应变评分指数(HSSI)进行评估。编制了一份结构化问卷,用于监测非传染性疾病的危险因素。结果:共筛选了678名保安人员。大多数(659/678,97.2%)为男性,平均年龄为45.4±9.2岁。52%(355/678)的参与者从事户外工作,平均持续时间为6 (IQR, 0-8)小时/天。肥胖、糖尿病、高血压和慢性肾脏疾病(CKD)的患病率分别为70.9%、25.5%、15.9%和1.3%。一半的队列(324/678)有明确的热应激,0.9%(6/678)发展为病因不明的CKD。在户外工作、工作时间较长的人的热应激水平较高,而腹部肥胖的人的热应激水平较低。年龄较大的军官、吸烟者、高血压患者和工作时间较长的人eGFR较低,但不受HSSI评分的影响。结论:在印度南部一家三级医院工作的保安人员所经历的高水平热应激对肾功能没有影响。热应激对农业各类劳动者肾功能差异影响的病理机制有待进一步研究。
本文章由计算机程序翻译,如有差异,请以英文原文为准。
求助全文
约1分钟内获得全文 求助全文
来源期刊
Indian Journal of Nephrology
Indian Journal of Nephrology UROLOGY & NEPHROLOGY-
CiteScore
1.40
自引率
0.00%
发文量
128
审稿时长
24 weeks
×
引用
GB/T 7714-2015
复制
MLA
复制
APA
复制
导出至
BibTeX EndNote RefMan NoteFirst NoteExpress
×
提示
您的信息不完整,为了账户安全,请先补充。
现在去补充
×
提示
您因"违规操作"
具体请查看互助需知
我知道了
×
提示
确定
请完成安全验证×
copy
已复制链接
快去分享给好友吧!
我知道了
右上角分享
点击右上角分享
0
联系我们:info@booksci.cn Book学术提供免费学术资源搜索服务,方便国内外学者检索中英文文献。致力于提供最便捷和优质的服务体验。 Copyright © 2023 布克学术 All rights reserved.
京ICP备2023020795号-1
ghs 京公网安备 11010802042870号
Book学术文献互助
Book学术文献互助群
群 号:604180095
Book学术官方微信