Establishment of novel prognostic groups for papillary thyroid carcinoma using a modified risk classification based on tumor extension in the guidelines of the Japan Association of Endocrine Surgery.

IF 2.1 4区 医学 Q4 ENDOCRINOLOGY & METABOLISM
Endocrine journal Pub Date : 2025-06-02 Epub Date: 2025-03-08 DOI:10.1507/endocrj.EJ24-0610
Yasuhiro Ito, Masashi Yamamoto, Minoru Kihara, Naoyoshi Onoda, Akihiro Miya, Akira Miyauchi
{"title":"Establishment of novel prognostic groups for papillary thyroid carcinoma using a modified risk classification based on tumor extension in the guidelines of the Japan Association of Endocrine Surgery.","authors":"Yasuhiro Ito, Masashi Yamamoto, Minoru Kihara, Naoyoshi Onoda, Akihiro Miya, Akira Miyauchi","doi":"10.1507/endocrj.EJ24-0610","DOIUrl":null,"url":null,"abstract":"<p><p>The latest \"General Rules for the Description of Thyroid Cancer,\" published in 2023, introduced depth-based subcategories of tumor invasion, dividing sEx2 into sEx2a, sEx2b, and sEx3. However, the \"Clinical Guidelines on the Management of Thyroid Tumors,\" published in 2024, continue to classify these categories uniformly as high-risk for papillary thyroid carcinoma (PTC). We evaluated the appropriateness of reclassifying sEx2a-high-risk patients as intermediate-risk. A total of 9,247 patients [median age: 52 years (7-93)] who underwent locally curative surgery were enrolled, with a median follow-up of 7.8 years. Cause-specific survival (CSS), distant recurrence-free survival (DR-FS), and local recurrence-free survival (LR-FS) worsened progressively from low-risk to high-risk patients. We compared the prognoses among the patients classified as sEx2a-high-risk, sEx2b, and intermediate-risk. The CSS, DR-FS, and LR-FS outcomes of sEx2b patients were significantly poorer than those of sEx2a-high-risk and intermediate-risk patients. By reclassifying sEx2a-high-risk patients as intermediate-risk, we established a new high-risk and intermediate-risk classification. The number of high-risk patients decreased from 2,274 to 1,132, whereas the number of intermediate-risk patients increased from 2,875 to 4,017. Prognoses in these new groups showed minimal differences compared to the original high- and intermediate-risk classifications. We established novel prognostic groups: favorable (N = 6,398, low-risk and intermediate-risk <55 years), intermediate (N = 2,324, intermediate-risk ≥55 years and high-risk <55 years), and poor (N = 525, high-risk ≥55 years). Prognoses significantly worsened across these groups from favorable to poor (p < 0.001). The reclassification of PTC based on tumor extension and the proposed novel prognostic groups provide a more accurate evaluation of PTC outcomes.</p>","PeriodicalId":11631,"journal":{"name":"Endocrine journal","volume":" ","pages":"707-717"},"PeriodicalIF":2.1000,"publicationDate":"2025-06-02","publicationTypes":"Journal Article","fieldsOfStudy":null,"isOpenAccess":false,"openAccessPdf":"https://www.ncbi.nlm.nih.gov/pmc/articles/PMC12171169/pdf/","citationCount":"0","resultStr":null,"platform":"Semanticscholar","paperid":null,"PeriodicalName":"Endocrine journal","FirstCategoryId":"3","ListUrlMain":"https://doi.org/10.1507/endocrj.EJ24-0610","RegionNum":4,"RegionCategory":"医学","ArticlePicture":[],"TitleCN":null,"AbstractTextCN":null,"PMCID":null,"EPubDate":"2025/3/8 0:00:00","PubModel":"Epub","JCR":"Q4","JCRName":"ENDOCRINOLOGY & METABOLISM","Score":null,"Total":0}
引用次数: 0

Abstract

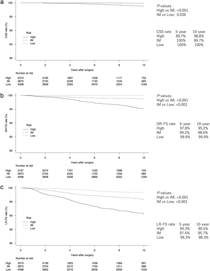
The latest "General Rules for the Description of Thyroid Cancer," published in 2023, introduced depth-based subcategories of tumor invasion, dividing sEx2 into sEx2a, sEx2b, and sEx3. However, the "Clinical Guidelines on the Management of Thyroid Tumors," published in 2024, continue to classify these categories uniformly as high-risk for papillary thyroid carcinoma (PTC). We evaluated the appropriateness of reclassifying sEx2a-high-risk patients as intermediate-risk. A total of 9,247 patients [median age: 52 years (7-93)] who underwent locally curative surgery were enrolled, with a median follow-up of 7.8 years. Cause-specific survival (CSS), distant recurrence-free survival (DR-FS), and local recurrence-free survival (LR-FS) worsened progressively from low-risk to high-risk patients. We compared the prognoses among the patients classified as sEx2a-high-risk, sEx2b, and intermediate-risk. The CSS, DR-FS, and LR-FS outcomes of sEx2b patients were significantly poorer than those of sEx2a-high-risk and intermediate-risk patients. By reclassifying sEx2a-high-risk patients as intermediate-risk, we established a new high-risk and intermediate-risk classification. The number of high-risk patients decreased from 2,274 to 1,132, whereas the number of intermediate-risk patients increased from 2,875 to 4,017. Prognoses in these new groups showed minimal differences compared to the original high- and intermediate-risk classifications. We established novel prognostic groups: favorable (N = 6,398, low-risk and intermediate-risk <55 years), intermediate (N = 2,324, intermediate-risk ≥55 years and high-risk <55 years), and poor (N = 525, high-risk ≥55 years). Prognoses significantly worsened across these groups from favorable to poor (p < 0.001). The reclassification of PTC based on tumor extension and the proposed novel prognostic groups provide a more accurate evaluation of PTC outcomes.

Abstract Image

Abstract Image

Abstract Image

根据日本内分泌外科协会指南中基于肿瘤扩展的改进风险分类,建立新的甲状腺乳头状癌预后组。
最新的《甲状腺癌描述通则》于2023年出版,引入了基于深度的肿瘤侵袭亚分类,将sEx2分为sEx2a、sEx2b和sEx3。然而,2024年出版的《甲状腺肿瘤管理临床指南》继续将这些类别统一归类为甲状腺乳头状癌(PTC)的高风险。我们评估了将sex2a高危患者重新分类为中危的适宜性。共纳入9247例局部治愈性手术患者[中位年龄:52岁(7-93岁)],中位随访时间为7.8年。病因特异性生存率(CSS)、远端无复发生存率(DR-FS)和局部无复发生存率(LR-FS)从低危到高危患者逐渐恶化。我们比较了分类为sex2a -高风险、sEx2b和中危患者的预后。sEx2b患者的CSS、DR-FS和LR-FS结果明显低于sex2a高危和中危患者。通过将sex2a高危患者重新分类为中危,我们建立了新的高危和中危分类。高风险患者的数量从2274人减少到1132人,而中等风险患者的数量从2875人增加到4017人。与最初的高危和中危分类相比,这些新组的预后差异很小。我们建立了新的预后组:良好组(N = 6398)、低危组和中危组
本文章由计算机程序翻译,如有差异,请以英文原文为准。
求助全文
约1分钟内获得全文 求助全文
来源期刊
Endocrine journal
Endocrine journal 医学-内分泌学与代谢
CiteScore
4.30
自引率
5.00%
发文量
224
审稿时长
1.5 months
期刊介绍: Endocrine Journal is an open access, peer-reviewed online journal with a long history. This journal publishes peer-reviewed research articles in multifaceted fields of basic, translational and clinical endocrinology. Endocrine Journal provides a chance to exchange your ideas, concepts and scientific observations in any area of recent endocrinology. Manuscripts may be submitted as Original Articles, Notes, Rapid Communications or Review Articles. We have a rapid reviewing and editorial decision system and pay a special attention to our quick, truly scientific and frequently-citable publication. Please go through the link for author guideline.
×
引用
GB/T 7714-2015
复制
MLA
复制
APA
复制
导出至
BibTeX EndNote RefMan NoteFirst NoteExpress
×
提示
您的信息不完整,为了账户安全,请先补充。
现在去补充
×
提示
您因"违规操作"
具体请查看互助需知
我知道了
×
提示
确定
请完成安全验证×
copy
已复制链接
快去分享给好友吧!
我知道了
右上角分享
点击右上角分享
0
联系我们:info@booksci.cn Book学术提供免费学术资源搜索服务,方便国内外学者检索中英文文献。致力于提供最便捷和优质的服务体验。 Copyright © 2023 布克学术 All rights reserved.
京ICP备2023020795号-1
ghs 京公网安备 11010802042870号
Book学术文献互助
Book学术文献互助群
群 号:604180095
Book学术官方微信