Changes in frailty predict social vulnerability among home care clients living in the community followed for ten years.

IF 3.3 Q2 GERIATRICS & GERONTOLOGY
Journal of Frailty & Aging Pub Date : 2025-04-01 Epub Date: 2025-03-04 DOI:10.1016/j.tjfa.2025.100031
Jasmine C Mah, Melissa K Andrew, Jack Quach, Susan Stevens, Janice Keefe, Kenneth Rockwood, Judith Godin
{"title":"Changes in frailty predict social vulnerability among home care clients living in the community followed for ten years.","authors":"Jasmine C Mah, Melissa K Andrew, Jack Quach, Susan Stevens, Janice Keefe, Kenneth Rockwood, Judith Godin","doi":"10.1016/j.tjfa.2025.100031","DOIUrl":null,"url":null,"abstract":"<p><strong>Background: </strong>Among community dwelling older adults, social vulnerability increases with age. Advanced age alone does not fully explain how or why older adults become more socially vulnerable; frailty may offer a better explanation.</p><p><strong>Objective: </strong>We aimed to understand how change in frailty relates to change in social vulnerability over time.</p><p><strong>Design: </strong>Retrospective cohort study.</p><p><strong>Setting and participants: </strong>We analyzed older adults aged 65 years and older from the province of Nova Scotia who accessed publicly funded home care in 2005 and 2008 followed for up to ten years.</p><p><strong>Measurements: </strong>We measured social vulnerability and frailty using indices. Controlling for time constant covariates, multi-level growth modelling was used to evaluate whether within-person changes in frailty were associated with within person changes in social vulnerability, after accounting for between-person differences.</p><p><strong>Results: </strong>There were 2,791 older adults in the 2005 cohort and 2,741 older adults in the 2008 cohort. Mean age, frailty index and social vulnerability index were 80.6 years (SD 7.5), 0.23 (SD 0.10), 0.22 (SD 0.07) and 80.4 (SD 7.6), 0.23 (SD 0.10), and 0.23 (SD 0.07) for each cohort respectively. After accounting for age, sex and baseline frailty, a 0.1 point increase in change of FI from baseline was associated with a 0.017 (CI 0.016 - 0.019, p < 0.001) increase in SVI in the 2005 cohort and a 0.014 (CI 0.013 - 0.016, p < 0.001) increase in SVI in the 2008 cohort.</p><p><strong>Conclusions: </strong>Although social vulnerability tends to remain constant in the absence of increases in frailty, changes in frailty are closely associated with changes in social vulnerability. Incorporating within-person changes in health into quantitative models of late-life social vulnerability may further improve our understanding of how and why some individuals are able to stay in the community despite their vulnerabilities.</p>","PeriodicalId":51629,"journal":{"name":"Journal of Frailty & Aging","volume":"14 2","pages":"100031"},"PeriodicalIF":3.3000,"publicationDate":"2025-04-01","publicationTypes":"Journal Article","fieldsOfStudy":null,"isOpenAccess":false,"openAccessPdf":"https://www.ncbi.nlm.nih.gov/pmc/articles/PMC12184035/pdf/","citationCount":"0","resultStr":null,"platform":"Semanticscholar","paperid":null,"PeriodicalName":"Journal of Frailty & Aging","FirstCategoryId":"1085","ListUrlMain":"https://doi.org/10.1016/j.tjfa.2025.100031","RegionNum":0,"RegionCategory":null,"ArticlePicture":[],"TitleCN":null,"AbstractTextCN":null,"PMCID":null,"EPubDate":"2025/3/4 0:00:00","PubModel":"Epub","JCR":"Q2","JCRName":"GERIATRICS & GERONTOLOGY","Score":null,"Total":0}
引用次数: 0

Abstract

Background: Among community dwelling older adults, social vulnerability increases with age. Advanced age alone does not fully explain how or why older adults become more socially vulnerable; frailty may offer a better explanation.

Objective: We aimed to understand how change in frailty relates to change in social vulnerability over time.

Design: Retrospective cohort study.

Setting and participants: We analyzed older adults aged 65 years and older from the province of Nova Scotia who accessed publicly funded home care in 2005 and 2008 followed for up to ten years.

Measurements: We measured social vulnerability and frailty using indices. Controlling for time constant covariates, multi-level growth modelling was used to evaluate whether within-person changes in frailty were associated with within person changes in social vulnerability, after accounting for between-person differences.

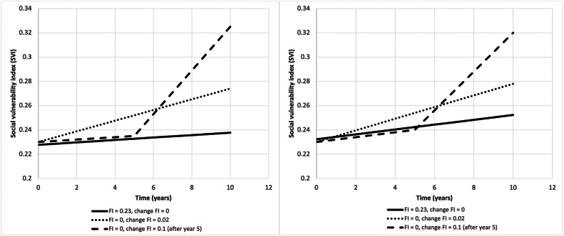
Results: There were 2,791 older adults in the 2005 cohort and 2,741 older adults in the 2008 cohort. Mean age, frailty index and social vulnerability index were 80.6 years (SD 7.5), 0.23 (SD 0.10), 0.22 (SD 0.07) and 80.4 (SD 7.6), 0.23 (SD 0.10), and 0.23 (SD 0.07) for each cohort respectively. After accounting for age, sex and baseline frailty, a 0.1 point increase in change of FI from baseline was associated with a 0.017 (CI 0.016 - 0.019, p < 0.001) increase in SVI in the 2005 cohort and a 0.014 (CI 0.013 - 0.016, p < 0.001) increase in SVI in the 2008 cohort.

Conclusions: Although social vulnerability tends to remain constant in the absence of increases in frailty, changes in frailty are closely associated with changes in social vulnerability. Incorporating within-person changes in health into quantitative models of late-life social vulnerability may further improve our understanding of how and why some individuals are able to stay in the community despite their vulnerabilities.

Abstract Image

在社区生活的家庭护理客户中,脆弱性的变化预测了社会脆弱性。
背景:在社区居住的老年人中,社会脆弱性随着年龄的增长而增加。高龄本身并不能完全解释老年人如何或为什么在社会上变得更脆弱;虚弱或许是一个更好的解释。目的:我们旨在了解随着时间的推移,脆弱性的变化与社会脆弱性的变化之间的关系。设计:回顾性队列研究。环境和参与者:我们分析了新斯科舍省65岁及以上的老年人,他们在2005年和2008年接受了公共资助的家庭护理,随访时间长达10年。测量方法:我们使用指数来衡量社会脆弱性和脆弱性。在考虑了人与人之间的差异后,控制了时间常数协变量,使用多层次增长模型来评估个人内部脆弱性的变化是否与个人内部社会脆弱性的变化相关。结果:2005年队列中有2791名老年人,2008年队列中有2741名老年人。各队列的平均年龄、脆弱指数和社会脆弱性指数分别为80.6岁(SD 7.5)、0.23岁(SD 0.10)、0.22岁(SD 0.07)和80.4岁(SD 7.6)、0.23岁(SD 0.10)和0.23岁(SD 0.07)。在考虑了年龄、性别和基线虚弱后,FI变化比基线增加0.1点与2005年队列中SVI增加0.017 (CI 0.016 - 0.019, p < 0.001)和2008年队列中SVI增加0.014 (CI 0.013 - 0.016, p < 0.001)相关。结论:虽然在脆弱性不增加的情况下,社会脆弱性往往保持不变,但脆弱性的变化与社会脆弱性的变化密切相关。将个人的健康变化纳入晚年社会脆弱性的定量模型,可能会进一步提高我们对一些人如何以及为什么能够不顾脆弱性留在社区的理解。
本文章由计算机程序翻译,如有差异,请以英文原文为准。
求助全文
约1分钟内获得全文 求助全文
来源期刊
Journal of Frailty & Aging
Journal of Frailty & Aging GERIATRICS & GERONTOLOGY-
CiteScore
5.90
自引率
7.70%
发文量
54
期刊介绍: The Journal of Frailty & Aging is a peer-reviewed international journal aimed at presenting articles that are related to research in the area of aging and age-related (sub)clinical conditions. In particular, the journal publishes high-quality papers describing and discussing social, biological, and clinical features underlying the onset and development of frailty in older persons.          The Journal of Frailty & Aging is composed by five different sections: - Biology of frailty and aging In this section, the journal presents reports from preclinical studies and experiences focused at identifying, describing, and understanding the subclinical pathophysiological mechanisms at the basis of frailty and aging. - Physical frailty and age-related body composition modifications Studies exploring the physical and functional components of frailty are contained in this section. Moreover, since body composition plays a major role in determining physical frailty and, at the same time, represents the most evident feature of the aging process, special attention is given to studies focused on sarcopenia and obesity at older age. - Neurosciences of frailty and aging The section presents results from studies exploring the cognitive and neurological aspects of frailty and age-related conditions. In particular, papers on neurodegenerative conditions of advanced age are welcomed. - Frailty and aging in clinical practice and public health This journal’s section is devoted at presenting studies on clinical issues of frailty and age-related conditions. This multidisciplinary section particularly welcomes reports from clinicians coming from different backgrounds and specialties dealing with the heterogeneous clinical manifestations of advanced age. Moreover, this part of the journal also contains reports on frailty- and age-related social and public health issues. - Clinical trials and therapeutics This final section contains all the manuscripts presenting data on (pharmacological and non-pharmacological) interventions aimed at preventing, delaying, or treating frailty and age-related conditions.The Journal of Frailty & Aging is a quarterly publication of original papers, review articles, case reports, controversies, letters to the Editor, and book reviews. Manuscripts will be evaluated by the editorial staff and, if suitable, by expert reviewers assigned by the editors. The journal particularly welcomes papers by researchers from different backgrounds and specialities who may want to share their views and experiences on the common themes of frailty and aging.The abstracting and indexing of the Journal of Frailty & Aging is covered by MEDLINE (approval by the National Library of Medicine in February 2016).
×
引用
GB/T 7714-2015
复制
MLA
复制
APA
复制
导出至
BibTeX EndNote RefMan NoteFirst NoteExpress
×
提示
您的信息不完整,为了账户安全,请先补充。
现在去补充
×
提示
您因"违规操作"
具体请查看互助需知
我知道了
×
提示
确定
请完成安全验证×
copy
已复制链接
快去分享给好友吧!
我知道了
右上角分享
点击右上角分享
0
联系我们:info@booksci.cn Book学术提供免费学术资源搜索服务,方便国内外学者检索中英文文献。致力于提供最便捷和优质的服务体验。 Copyright © 2023 布克学术 All rights reserved.
京ICP备2023020795号-1
ghs 京公网安备 11010802042870号
Book学术文献互助
Book学术文献互助群
群 号:604180095
Book学术官方微信