Sepsis-Extracorporeal Membrane Oxygenation Score in Patients Receiving Extracorporeal Membrane Oxygenation Support for Sepsis.

IF 2.3 3区 医学 Q2 ENGINEERING, BIOMEDICAL
ASAIO Journal Pub Date : 2025-08-01 Epub Date: 2025-03-07 DOI:10.1097/MAT.0000000000002409
Hongfu Fu, Liangshan Wang, Yan Wang, Yaxin Xie, Haixiu Xie, Xiaotong Hou, Hong Wang
{"title":"Sepsis-Extracorporeal Membrane Oxygenation Score in Patients Receiving Extracorporeal Membrane Oxygenation Support for Sepsis.","authors":"Hongfu Fu, Liangshan Wang, Yan Wang, Yaxin Xie, Haixiu Xie, Xiaotong Hou, Hong Wang","doi":"10.1097/MAT.0000000000002409","DOIUrl":null,"url":null,"abstract":"<p><p>Predictive scoring systems for adult patients receiving extracorporeal membrane oxygenation (ECMO) support for sepsis have not been yet reported. Based on the Chinese Society of ExtraCorporeal Life Support (CSECLS) Registry database, we conducted a retrospective observational study on adult patients supported with ECMO for sepsis (n = 465). On the basis of multivariable logistic regression analyses, four parameters at 24 h post-ECMO initiation ( T24 ) were identified as prognostic factors associated with in-hospital mortality: age, vasoactive inotropic score (VIS), partial pressure of oxygen in arterial blood (PaO 2 ), and lactate clearance. The sepsis-ECMO score was calculated based on these prognostic factors, which were converted into categorical variables. The area under the receiver operating characteristic curve for the sepsis-ECMO score was 0.704 (95% confidence interval [CI]: 0.658-0.751). Four risk classes, namely class Ⅰ (score 0), class Ⅱ (score 5), class Ⅲ (score 6-10), and class Ⅳ (score ≥ 11), were identified according to sepsis-ECMO score quartiles. Patients in the lower sepsis-ECMO score classes had significantly better survival than those in the higher classes (log-rank test, p < 0.001). The sepsis-ECMO score may help in the risk stratification of patients, facilitate the communication of objective prognostic information, and provide a clearer direction for shared decision-making.</p>","PeriodicalId":8844,"journal":{"name":"ASAIO Journal","volume":" ","pages":"644-651"},"PeriodicalIF":2.3000,"publicationDate":"2025-08-01","publicationTypes":"Journal Article","fieldsOfStudy":null,"isOpenAccess":false,"openAccessPdf":"https://www.ncbi.nlm.nih.gov/pmc/articles/PMC12303247/pdf/","citationCount":"0","resultStr":null,"platform":"Semanticscholar","paperid":null,"PeriodicalName":"ASAIO Journal","FirstCategoryId":"5","ListUrlMain":"https://doi.org/10.1097/MAT.0000000000002409","RegionNum":3,"RegionCategory":"医学","ArticlePicture":[],"TitleCN":null,"AbstractTextCN":null,"PMCID":null,"EPubDate":"2025/3/7 0:00:00","PubModel":"Epub","JCR":"Q2","JCRName":"ENGINEERING, BIOMEDICAL","Score":null,"Total":0}
引用次数: 0

Abstract

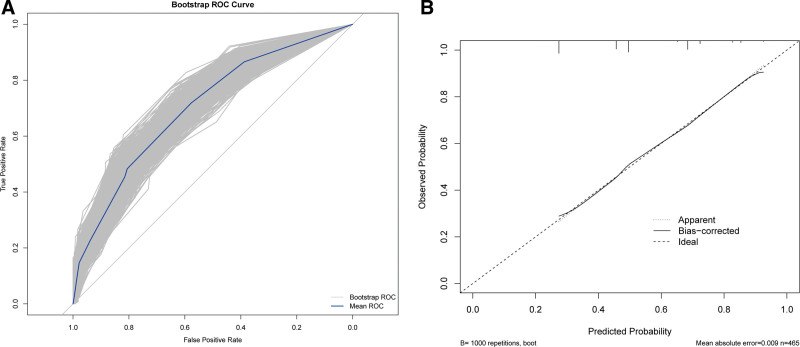
Predictive scoring systems for adult patients receiving extracorporeal membrane oxygenation (ECMO) support for sepsis have not been yet reported. Based on the Chinese Society of ExtraCorporeal Life Support (CSECLS) Registry database, we conducted a retrospective observational study on adult patients supported with ECMO for sepsis (n = 465). On the basis of multivariable logistic regression analyses, four parameters at 24 h post-ECMO initiation ( T24 ) were identified as prognostic factors associated with in-hospital mortality: age, vasoactive inotropic score (VIS), partial pressure of oxygen in arterial blood (PaO 2 ), and lactate clearance. The sepsis-ECMO score was calculated based on these prognostic factors, which were converted into categorical variables. The area under the receiver operating characteristic curve for the sepsis-ECMO score was 0.704 (95% confidence interval [CI]: 0.658-0.751). Four risk classes, namely class Ⅰ (score 0), class Ⅱ (score 5), class Ⅲ (score 6-10), and class Ⅳ (score ≥ 11), were identified according to sepsis-ECMO score quartiles. Patients in the lower sepsis-ECMO score classes had significantly better survival than those in the higher classes (log-rank test, p < 0.001). The sepsis-ECMO score may help in the risk stratification of patients, facilitate the communication of objective prognostic information, and provide a clearer direction for shared decision-making.

Abstract Image

Abstract Image

Abstract Image

脓毒症患者接受体外膜氧合支持的脓毒症-体外膜氧合评分。
对于接受体外膜氧合(ECMO)支持的脓毒症成年患者的预测评分系统尚未报道。基于中国体外生命支持学会(CSECLS)注册数据库,我们对支持ECMO治疗脓毒症的成年患者(n = 465)进行了回顾性观察研究。在多变量logistic回归分析的基础上,确定了ecmo启动后24小时(T24)的四个参数是与院内死亡率相关的预后因素:年龄、血管活性肌力评分(VIS)、动脉血氧分压(PaO2)和乳酸清除率。根据这些预后因素计算脓毒症- ecmo评分,并将其转换为分类变量。脓毒症- ecmo评分的受试者工作特征曲线下面积为0.704(95%可信区间[CI]: 0.658-0.751)。根据脓毒症- ecmo评分四分位数分为Ⅰ级(评分0分)、Ⅱ级(评分5分)、Ⅲ级(评分6-10分)和Ⅳ级(评分≥11分)4个风险等级。脓毒症- ecmo评分较低的患者生存率明显高于评分较高的患者(log-rank检验,p < 0.001)。脓毒症- ecmo评分有助于对患者进行风险分层,促进客观预后信息的交流,为共同决策提供更明确的方向。
本文章由计算机程序翻译,如有差异,请以英文原文为准。
求助全文
约1分钟内获得全文 求助全文
来源期刊
ASAIO Journal
ASAIO Journal 医学-工程:生物医学
CiteScore
6.60
自引率
7.10%
发文量
651
审稿时长
4-8 weeks
期刊介绍: ASAIO Journal is in the forefront of artificial organ research and development. On the cutting edge of innovative technology, it features peer-reviewed articles of the highest quality that describe research, development, the most recent advances in the design of artificial organ devices and findings from initial testing. Bimonthly, the ASAIO Journal features state-of-the-art investigations, laboratory and clinical trials, and discussions and opinions from experts around the world. The official publication of the American Society for Artificial Internal Organs.
×
引用
GB/T 7714-2015
复制
MLA
复制
APA
复制
导出至
BibTeX EndNote RefMan NoteFirst NoteExpress
×
提示
您的信息不完整,为了账户安全,请先补充。
现在去补充
×
提示
您因"违规操作"
具体请查看互助需知
我知道了
×
提示
确定
请完成安全验证×
copy
已复制链接
快去分享给好友吧!
我知道了
右上角分享
点击右上角分享
0
联系我们:info@booksci.cn Book学术提供免费学术资源搜索服务,方便国内外学者检索中英文文献。致力于提供最便捷和优质的服务体验。 Copyright © 2023 布克学术 All rights reserved.
京ICP备2023020795号-1
ghs 京公网安备 11010802042870号
Book学术文献互助
Book学术文献互助群
群 号:604180095
Book学术官方微信