Is late-life vulnerability to cardiovascular disease risk associated with longitudinal tau accumulation in older adults with mild cognitive impairment?

JAR life Pub Date : 2025-02-18 eCollection Date: 2025-01-01 DOI:10.1016/j.jarlif.2025.100001
M A Dratva, J M Diaz, M L Thomas, Q Shen, A A Tsiknia, K A Rostowsky, E E Sundermann, S J Banks
{"title":"Is late-life vulnerability to cardiovascular disease risk associated with longitudinal tau accumulation in older adults with mild cognitive impairment?","authors":"M A Dratva, J M Diaz, M L Thomas, Q Shen, A A Tsiknia, K A Rostowsky, E E Sundermann, S J Banks","doi":"10.1016/j.jarlif.2025.100001","DOIUrl":null,"url":null,"abstract":"<p><strong>Background: </strong>Older females have higher Alzheimer's Disease (AD) risk and tau burden, especially in early disease stages, compared to males. Overlapping cardiovascular disease (CVD) and dementia risk factors, like the apolipoprotein (APOE)-ε4 allele, show mixed sex-specific results. We previously found that late-life CVD risk related more strongly to tau at a single timepoint in cognitively normal, older female APOE-ε4 carriers than in males.</p><p><strong>Objectives: </strong>Do composite and component CVD risk factors explain sex differences in tau accumulation in older adults with mild cognitive impairment (MCI) and underlying amyloid-beta (Aβ) pathology?</p><p><strong>Design: </strong>Longitudinal analysis in the Alzheimer's Disease Neuroimaging Initiative (ADNI) cohort.</p><p><strong>Setting: </strong>ADNI is a multi-site longitudinal study across the United States and Canada.</p><p><strong>Participants: </strong><i>n</i> = 52 older adults (aged 60-90), designated as both Aβ-positive and MCI.</p><p><strong>Measurements: </strong>CVD risk was measured by body mass index (BMI) and FRS, which includes age, systolic blood pressure (BP), high-density lipoprotein (HDL), total cholesterol, hypertension treatment, smoking, and diabetes. Regional standardized uptake value ratios (SUVRs) were extracted at each tau-PET timepoint. Composite SUVRs for Braak34 and Braak56 were calculated. Statistical models examined the separate and interactive effects of sex and APOE-ε4 on tau accumulation, and moderating effects of FRS, its components, or BMI, on tau accumulation.</p><p><strong>Results: </strong>Females accumulated more tau than males in bilateral Braak34 and right Braak56, while APOE-ε4 carriers trended toward more tau accumulation in left Braak56. FRS and its components did not relate to tau accumulation, nor influence sex effects, although they attenuated APOE-ε4 effects. In left Braak56, higher baseline BMI in males showed a trend toward greater tau accumulation.</p><p><strong>Conclusions: </strong>In MCI and Aβ-positive older adults, females accumulated more tau than males, and late-life vascular risk did not explain this relationship. Higher BMI related to more tau accumulation in males only, suggesting sex-specific vulnerability to BMI on brain health. Although replication in larger and more representative cohorts is needed, these findings corroborate accelerated tau progression in older females, independent of CVD risk, and suggest that vascular health has limited influence on tau progression once AD pathology is established in the brain.</p>","PeriodicalId":73537,"journal":{"name":"JAR life","volume":"14 ","pages":"100001"},"PeriodicalIF":0.0000,"publicationDate":"2025-02-18","publicationTypes":"Journal Article","fieldsOfStudy":null,"isOpenAccess":false,"openAccessPdf":"https://www.ncbi.nlm.nih.gov/pmc/articles/PMC11879684/pdf/","citationCount":"0","resultStr":null,"platform":"Semanticscholar","paperid":null,"PeriodicalName":"JAR life","FirstCategoryId":"1085","ListUrlMain":"https://doi.org/10.1016/j.jarlif.2025.100001","RegionNum":0,"RegionCategory":null,"ArticlePicture":[],"TitleCN":null,"AbstractTextCN":null,"PMCID":null,"EPubDate":"2025/1/1 0:00:00","PubModel":"eCollection","JCR":"","JCRName":"","Score":null,"Total":0}
引用次数: 0

Abstract

Background: Older females have higher Alzheimer's Disease (AD) risk and tau burden, especially in early disease stages, compared to males. Overlapping cardiovascular disease (CVD) and dementia risk factors, like the apolipoprotein (APOE)-ε4 allele, show mixed sex-specific results. We previously found that late-life CVD risk related more strongly to tau at a single timepoint in cognitively normal, older female APOE-ε4 carriers than in males.

Objectives: Do composite and component CVD risk factors explain sex differences in tau accumulation in older adults with mild cognitive impairment (MCI) and underlying amyloid-beta (Aβ) pathology?

Design: Longitudinal analysis in the Alzheimer's Disease Neuroimaging Initiative (ADNI) cohort.

Setting: ADNI is a multi-site longitudinal study across the United States and Canada.

Participants: n = 52 older adults (aged 60-90), designated as both Aβ-positive and MCI.

Measurements: CVD risk was measured by body mass index (BMI) and FRS, which includes age, systolic blood pressure (BP), high-density lipoprotein (HDL), total cholesterol, hypertension treatment, smoking, and diabetes. Regional standardized uptake value ratios (SUVRs) were extracted at each tau-PET timepoint. Composite SUVRs for Braak34 and Braak56 were calculated. Statistical models examined the separate and interactive effects of sex and APOE-ε4 on tau accumulation, and moderating effects of FRS, its components, or BMI, on tau accumulation.

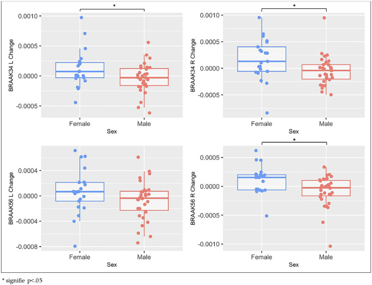
Results: Females accumulated more tau than males in bilateral Braak34 and right Braak56, while APOE-ε4 carriers trended toward more tau accumulation in left Braak56. FRS and its components did not relate to tau accumulation, nor influence sex effects, although they attenuated APOE-ε4 effects. In left Braak56, higher baseline BMI in males showed a trend toward greater tau accumulation.

Conclusions: In MCI and Aβ-positive older adults, females accumulated more tau than males, and late-life vascular risk did not explain this relationship. Higher BMI related to more tau accumulation in males only, suggesting sex-specific vulnerability to BMI on brain health. Although replication in larger and more representative cohorts is needed, these findings corroborate accelerated tau progression in older females, independent of CVD risk, and suggest that vascular health has limited influence on tau progression once AD pathology is established in the brain.

Abstract Image

Abstract Image

在轻度认知障碍的老年人中,晚年对心血管疾病风险的易感性与纵向tau积聚有关吗?
背景:与男性相比,老年女性患阿尔茨海默病(AD)的风险和tau负担更高,尤其是在疾病早期阶段。重叠的心血管疾病(CVD)和痴呆风险因素,如载脂蛋白(APOE)-ε4等位基因,显示出混合的性别特异性结果。我们之前发现,在认知正常的老年APOE-ε4携带者中,老年CVD风险与tau在单个时间点的相关性比男性更强。目的:复合和组分CVD危险因素能否解释轻度认知障碍(MCI)和潜在淀粉样蛋白- β (Aβ)病理的老年人tau积累的性别差异?设计:对阿尔茨海默病神经影像学倡议(ADNI)队列进行纵向分析。背景:ADNI是一项横跨美国和加拿大的多地点纵向研究。参与者:52名老年人(60-90岁),a β阳性和MCI。测量方法:CVD风险通过身体质量指数(BMI)和FRS测量,包括年龄、收缩压(BP)、高密度脂蛋白(HDL)、总胆固醇、高血压治疗、吸烟和糖尿病。在每个tau-PET时间点提取区域标准化摄取值比(SUVRs)。计算了Braak34和Braak56的复合suv。统计模型检验了性别和APOE-ε4对tau蛋白积累的单独和相互作用,以及FRS、其成分或BMI对tau蛋白积累的调节作用。结果:女性在双侧Braak34和右侧Braak56中积累的tau多于男性,APOE-ε4携带者在左侧Braak56中积累的tau更多。FRS及其组分与tau积累无关,也不影响性别效应,尽管它们减弱了APOE-ε4效应。在左侧的Braak56中,男性较高的基线BMI显示出更多tau积聚的趋势。结论:在MCI和a β阳性的老年人中,女性积累的tau蛋白比男性多,而晚年血管风险并不能解释这种关系。较高的BMI仅与男性中更多的tau积累有关,这表明BMI对大脑健康的性别特异性脆弱性。虽然需要在更大更有代表性的队列中进行复制,但这些发现证实了老年女性中tau蛋白的加速进展,独立于CVD风险,并且表明一旦AD病理在大脑中建立,血管健康对tau蛋白进展的影响有限。
本文章由计算机程序翻译,如有差异,请以英文原文为准。
求助全文
约1分钟内获得全文 求助全文
来源期刊
自引率
0.00%
发文量
0
×
引用
GB/T 7714-2015
复制
MLA
复制
APA
复制
导出至
BibTeX EndNote RefMan NoteFirst NoteExpress
×
提示
您的信息不完整,为了账户安全,请先补充。
现在去补充
×
提示
您因"违规操作"
具体请查看互助需知
我知道了
×
提示
确定
请完成安全验证×
copy
已复制链接
快去分享给好友吧!
我知道了
右上角分享
点击右上角分享
0
联系我们:info@booksci.cn Book学术提供免费学术资源搜索服务,方便国内外学者检索中英文文献。致力于提供最便捷和优质的服务体验。 Copyright © 2023 布克学术 All rights reserved.
京ICP备2023020795号-1
ghs 京公网安备 11010802042870号
Book学术文献互助
Book学术文献互助群
群 号:604180095
Book学术官方微信