Relationship between age and various muscle quality indices in Japanese individuals via bioelectrical impedance analysis (BIA).

IF 2.1 4区 医学 Q1 PHYSIOLOGY
Kazushige Oshita, Akihisa Hikita, Ryota Myotsuzono, Yujiro Ishihara
{"title":"Relationship between age and various muscle quality indices in Japanese individuals via bioelectrical impedance analysis (BIA).","authors":"Kazushige Oshita, Akihisa Hikita, Ryota Myotsuzono, Yujiro Ishihara","doi":"10.1186/s40101-025-00388-5","DOIUrl":null,"url":null,"abstract":"<p><strong>Background: </strong>Bioelectrical impedance analysis (BIA) is widely used as a convenient method of measuring body composition. The validity of the phase angle (PhA), impedance rate (IR), and resistance rate (RR) as indices of muscle quality using BIA has been suggested. This study aimed to investigate the relationship between these muscle quality indices and age, and to clarify their characteristics.</p><p><strong>Methods: </strong>The appendicular muscle mass (AMM), AMM corrected for body mass index (AMM/BMI), PhA, IR, and RR were determined using BIA in 1376 Japanese individuals (532 males and 844 females) aged 15-95 years. The PhA was determined from a 50-kHz current, and the IR and RR were determined from the impedance and resistance ratios between the 250- and 5-kHz currents.</p><p><strong>Results: </strong>AMM/BMI showed greater age-related changes than the other indices of muscle mass. Significant differences in PhA, IR, and RR were found for the whole body at age ≥ 50 years and for the lower limbs at age ≥ 30 years, compared to those in their 20 s. For the arms, age-related changes were small, and significant differences in PhA of females were only observed at aged ≥ 85 years, whereas significant differences in IR and RR were observed at aged ≥ 75 years, compared to those in their 20s.</p><p><strong>Conclusion: </strong>These results suggest that although PhA, IR, and RR in the whole body and lower limbs showed age-related changes, the change in PhA in the upper body was small, especially in females. However, IR and RR in the upper limbs of females reflected age-related changes more than PhA.</p>","PeriodicalId":48730,"journal":{"name":"Journal of Physiological Anthropology","volume":"44 1","pages":"8"},"PeriodicalIF":2.1000,"publicationDate":"2025-03-05","publicationTypes":"Journal Article","fieldsOfStudy":null,"isOpenAccess":false,"openAccessPdf":"https://www.ncbi.nlm.nih.gov/pmc/articles/PMC11881323/pdf/","citationCount":"0","resultStr":null,"platform":"Semanticscholar","paperid":null,"PeriodicalName":"Journal of Physiological Anthropology","FirstCategoryId":"3","ListUrlMain":"https://doi.org/10.1186/s40101-025-00388-5","RegionNum":4,"RegionCategory":"医学","ArticlePicture":[],"TitleCN":null,"AbstractTextCN":null,"PMCID":null,"EPubDate":"","PubModel":"","JCR":"Q1","JCRName":"PHYSIOLOGY","Score":null,"Total":0}
引用次数: 0

Abstract

Background: Bioelectrical impedance analysis (BIA) is widely used as a convenient method of measuring body composition. The validity of the phase angle (PhA), impedance rate (IR), and resistance rate (RR) as indices of muscle quality using BIA has been suggested. This study aimed to investigate the relationship between these muscle quality indices and age, and to clarify their characteristics.

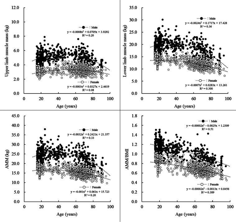
Methods: The appendicular muscle mass (AMM), AMM corrected for body mass index (AMM/BMI), PhA, IR, and RR were determined using BIA in 1376 Japanese individuals (532 males and 844 females) aged 15-95 years. The PhA was determined from a 50-kHz current, and the IR and RR were determined from the impedance and resistance ratios between the 250- and 5-kHz currents.

Results: AMM/BMI showed greater age-related changes than the other indices of muscle mass. Significant differences in PhA, IR, and RR were found for the whole body at age ≥ 50 years and for the lower limbs at age ≥ 30 years, compared to those in their 20 s. For the arms, age-related changes were small, and significant differences in PhA of females were only observed at aged ≥ 85 years, whereas significant differences in IR and RR were observed at aged ≥ 75 years, compared to those in their 20s.

Conclusion: These results suggest that although PhA, IR, and RR in the whole body and lower limbs showed age-related changes, the change in PhA in the upper body was small, especially in females. However, IR and RR in the upper limbs of females reflected age-related changes more than PhA.

Abstract Image

Abstract Image

Abstract Image

通过生物电阻抗分析(BIA)研究年龄与日本个体各种肌肉质量指标的关系。
背景:生物电阻抗分析(BIA)作为一种方便的测量人体成分的方法被广泛使用。建议将相角(PhA)、阻抗率(IR)和电阻率(RR)作为BIA测量肌肉质量的有效指标。本研究旨在探讨这些肌肉质量指标与年龄的关系,并阐明其特征。方法:对1376名年龄在15 ~ 95岁的日本人(男性532人,女性844人)采用BIA法测定其阑尾肌质量(AMM)、经体重指数(AMM/BMI)校正的阑尾肌质量、PhA、IR和RR。PhA由50 khz电流确定,IR和RR由250 khz和5 khz电流之间的阻抗和电阻比确定。结果:与其他肌肉质量指标相比,AMM/BMI表现出更大的年龄相关性变化。≥50岁时,与20多岁时相比,整个身体和≥30岁时下肢的PhA、IR和RR均有显著差异。对于两组,年龄相关的变化很小,女性的PhA仅在≥85岁时观察到显著差异,而在≥75岁时,与20多岁的女性相比,IR和RR存在显著差异。结论:这些结果提示,尽管全身和下肢的PhA、IR和RR都出现了与年龄相关的变化,但上半身的PhA变化较小,尤其是女性。而女性上肢的IR和RR比PhA更能反映年龄相关的变化。
本文章由计算机程序翻译,如有差异,请以英文原文为准。
求助全文
约1分钟内获得全文 求助全文
来源期刊
自引率
6.50%
发文量
39
期刊介绍: Journal of Physiological Anthropology (JPA) is an open access, peer-reviewed journal that publishes research on the physiological functions of modern mankind, with an emphasis on the physical and bio-cultural effects on human adaptability to the current environment. The objective of JPA is to evaluate physiological adaptations to modern living environments, and to publish research from different scientific fields concerned with environmental impact on human life. Topic areas include, but are not limited to: environmental physiology bio-cultural environment living environment epigenetic adaptation development and growth age and sex differences nutrition and morphology physical fitness and health Journal of Physiological Anthropology is the official journal of the Japan Society of Physiological Anthropology.
×
引用
GB/T 7714-2015
复制
MLA
复制
APA
复制
导出至
BibTeX EndNote RefMan NoteFirst NoteExpress
×
提示
您的信息不完整,为了账户安全,请先补充。
现在去补充
×
提示
您因"违规操作"
具体请查看互助需知
我知道了
×
提示
确定
请完成安全验证×
copy
已复制链接
快去分享给好友吧!
我知道了
右上角分享
点击右上角分享
0
联系我们:info@booksci.cn Book学术提供免费学术资源搜索服务,方便国内外学者检索中英文文献。致力于提供最便捷和优质的服务体验。 Copyright © 2023 布克学术 All rights reserved.
京ICP备2023020795号-1
ghs 京公网安备 11010802042870号
Book学术文献互助
Book学术文献互助群
群 号:604180095
Book学术官方微信