Comparison of body composition changes and nutritional status after surgery between older Japanese patients with upper and lower gastrointestinal cancer.

JAR life Pub Date : 2025-02-12 eCollection Date: 2025-01-01 DOI:10.1016/j.jarlif.2025.100006
Eiko Takano, Tsukasa Aritake, Kakeru Hashimoto, Yumi Suzuki, Yuichi Kitagawa, Ken Fujishiro, Yasuji Kawabata, Shinichirou Kobayashi, Izumi Kondo
{"title":"Comparison of body composition changes and nutritional status after surgery between older Japanese patients with upper and lower gastrointestinal cancer.","authors":"Eiko Takano, Tsukasa Aritake, Kakeru Hashimoto, Yumi Suzuki, Yuichi Kitagawa, Ken Fujishiro, Yasuji Kawabata, Shinichirou Kobayashi, Izumi Kondo","doi":"10.1016/j.jarlif.2025.100006","DOIUrl":null,"url":null,"abstract":"<p><strong>Introduction: </strong>Postoperative changes in body composition and nutritional challenges are significant concerns for older patients undergoing gastrointestinal (GI) cancer surgery. This study compared body composition changes and nutritional outcomes between patients with upper gastrointestinal (UGI) and lower gastrointestinal (LGI) cancers over 12 months to identify tailored postoperative care needs.</p><p><strong>Methods: </strong>This retrospective study included 55 Japanese patients (≥65 years) who underwent curative GI cancer surgery at the National Center for Geriatrics and Gerontology between 2018 and 2022. Patients were categorized as UGI (<i>n</i> = 17) or LGI (<i>n</i> = 38). Body composition parameters, including body mass index (BMI), fat-free mass (FFM), and body fat mass (BFM), were measured preoperatively and at 1, 3, 6, and 12 months postoperatively using bioelectrical impedance analysis. Two-way repeated-measures ANOVA was conducted, adjusting for age, sex, surgical method, operation time, blood loss, infection rates, and MMSE scores to minimize bias.</p><p><strong>Results: </strong>UGI patients showed significant reductions in weight, BMI, FFM, and BFM postoperatively, indicating a higher risk of malnutrition and muscle loss. In contrast, LGI patients exhibited stable or increasing trends in these parameters. Significant time and interaction effects were observed for FFM and BFM (p<0.05), underscoring differential recovery patterns between groups.</p><p><strong>Conclusions: </strong>UGI patients face a higher risk of postoperative malnutrition and muscle loss compared to LGI patients, who showed more favorable recovery trajectories. Early, intensive nutritional interventions and personalized rehabilitation strategies are essential for mitigating muscle wasting and improving outcomes in UGI patients.</p>","PeriodicalId":73537,"journal":{"name":"JAR life","volume":"14 ","pages":"100006"},"PeriodicalIF":0.0000,"publicationDate":"2025-02-12","publicationTypes":"Journal Article","fieldsOfStudy":null,"isOpenAccess":false,"openAccessPdf":"https://www.ncbi.nlm.nih.gov/pmc/articles/PMC11869908/pdf/","citationCount":"0","resultStr":null,"platform":"Semanticscholar","paperid":null,"PeriodicalName":"JAR life","FirstCategoryId":"1085","ListUrlMain":"https://doi.org/10.1016/j.jarlif.2025.100006","RegionNum":0,"RegionCategory":null,"ArticlePicture":[],"TitleCN":null,"AbstractTextCN":null,"PMCID":null,"EPubDate":"2025/1/1 0:00:00","PubModel":"eCollection","JCR":"","JCRName":"","Score":null,"Total":0}
引用次数: 0

Abstract

Introduction: Postoperative changes in body composition and nutritional challenges are significant concerns for older patients undergoing gastrointestinal (GI) cancer surgery. This study compared body composition changes and nutritional outcomes between patients with upper gastrointestinal (UGI) and lower gastrointestinal (LGI) cancers over 12 months to identify tailored postoperative care needs.

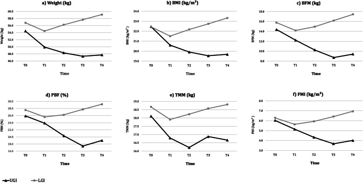
Methods: This retrospective study included 55 Japanese patients (≥65 years) who underwent curative GI cancer surgery at the National Center for Geriatrics and Gerontology between 2018 and 2022. Patients were categorized as UGI (n = 17) or LGI (n = 38). Body composition parameters, including body mass index (BMI), fat-free mass (FFM), and body fat mass (BFM), were measured preoperatively and at 1, 3, 6, and 12 months postoperatively using bioelectrical impedance analysis. Two-way repeated-measures ANOVA was conducted, adjusting for age, sex, surgical method, operation time, blood loss, infection rates, and MMSE scores to minimize bias.

Results: UGI patients showed significant reductions in weight, BMI, FFM, and BFM postoperatively, indicating a higher risk of malnutrition and muscle loss. In contrast, LGI patients exhibited stable or increasing trends in these parameters. Significant time and interaction effects were observed for FFM and BFM (p<0.05), underscoring differential recovery patterns between groups.

Conclusions: UGI patients face a higher risk of postoperative malnutrition and muscle loss compared to LGI patients, who showed more favorable recovery trajectories. Early, intensive nutritional interventions and personalized rehabilitation strategies are essential for mitigating muscle wasting and improving outcomes in UGI patients.

Abstract Image

日本老年上消化道癌和下消化道癌患者术后身体成分变化和营养状况的比较。
术后身体成分的变化和营养挑战是接受胃肠道(GI)癌症手术的老年患者的重要关注点。本研究比较了上胃肠道(UGI)和下胃肠道(LGI)癌症患者在12个月内的身体成分变化和营养结果,以确定量身定制的术后护理需求。方法:这项回顾性研究包括55名日本患者(≥65岁),他们于2018年至2022年在国家老年医学和老年学中心接受了根治性胃肠道肿瘤手术。患者分为UGI (n = 17)和LGI (n = 38)。术前及术后1、3、6、12个月采用生物电阻抗分析法测量身体组成参数,包括身体质量指数(BMI)、无脂质量(FFM)和身体脂肪质量(BFM)。进行双向重复测量方差分析,调整年龄、性别、手术方式、手术时间、出血量、感染率和MMSE评分,以尽量减少偏倚。结果:UGI患者术后体重、BMI、FFM、BFM均显著降低,提示营养不良和肌肉损失的风险较高。相比之下,LGI患者在这些参数中表现出稳定或增加的趋势。结论:与LGI患者相比,UGI患者面临更高的术后营养不良和肌肉损失风险,LGI患者表现出更有利的恢复轨迹。早期强化营养干预和个性化康复策略对于减轻UGI患者的肌肉萎缩和改善预后至关重要。
本文章由计算机程序翻译,如有差异,请以英文原文为准。
求助全文
约1分钟内获得全文 求助全文
来源期刊
自引率
0.00%
发文量
0
×
引用
GB/T 7714-2015
复制
MLA
复制
APA
复制
导出至
BibTeX EndNote RefMan NoteFirst NoteExpress
×
提示
您的信息不完整,为了账户安全,请先补充。
现在去补充
×
提示
您因"违规操作"
具体请查看互助需知
我知道了
×
提示
确定
请完成安全验证×
copy
已复制链接
快去分享给好友吧!
我知道了
右上角分享
点击右上角分享
0
联系我们:info@booksci.cn Book学术提供免费学术资源搜索服务,方便国内外学者检索中英文文献。致力于提供最便捷和优质的服务体验。 Copyright © 2023 布克学术 All rights reserved.
京ICP备2023020795号-1
ghs 京公网安备 11010802042870号
Book学术文献互助
Book学术文献互助群
群 号:604180095
Book学术官方微信