Preliminary Evidence on Safety and Clinical Efficacy of Luteolin for Patients With Prostate Cancer Under Active Surveillance.

IF 2 Q3 ONCOLOGY
Prostate Cancer Pub Date : 2025-02-25 eCollection Date: 2025-01-01 DOI:10.1155/proc/8165686
Taku Naiki, Aya Naiki-Ito, Akihiro Murakami, Hiroyuki Kato, Yosuke Sugiyama, Tatsuya Kawai, Shinji Kato, Toshiki Etani, Takashi Nagai, Nobuhiko Shimizu, Toshiharu Morikawa, Maria Aoki, Masakazu Gonda, Xiaochen Kuang, Yuko Nagayasu, Shuzo Hamamoto, Takahiro Yasui, Satoru Takahashi
{"title":"Preliminary Evidence on Safety and Clinical Efficacy of Luteolin for Patients With Prostate Cancer Under Active Surveillance.","authors":"Taku Naiki, Aya Naiki-Ito, Akihiro Murakami, Hiroyuki Kato, Yosuke Sugiyama, Tatsuya Kawai, Shinji Kato, Toshiki Etani, Takashi Nagai, Nobuhiko Shimizu, Toshiharu Morikawa, Maria Aoki, Masakazu Gonda, Xiaochen Kuang, Yuko Nagayasu, Shuzo Hamamoto, Takahiro Yasui, Satoru Takahashi","doi":"10.1155/proc/8165686","DOIUrl":null,"url":null,"abstract":"<p><p><b>Background:</b> A need exists for effective treatments for prostate cancer (PCA) due its re-emergence following androgen deprivation therapy, a major clinical problem. In a previous study, we presented evidence on the chemopreventive and chemotherapeutic potential of luteolin, a flavonoid, in PCA including castration-resistant PCA. In this single-arm phase I study, we clinically examined the safety of the oral intake of luteolin in patients under active surveillance (AS). <b>Methods:</b> Between March and September in 2022, five patients with low-intermediate risk PCA and under AS were treated daily with 50 mg of oral luteolin for six months. We investigated the efficacy of oral luteolin in oncological outcomes and any adverse events (AEs) and examined prostate and blood specimens. <b>Results:</b> The median age of patients was 68 years (range: 60-78), and the median initial prostate-specific antigen level was 9.5 ng/mL. All patients were under AS without rapid progression. After treatment with luteolin, AEs were not noted in any patients for six months. All patients underwent a protocol biopsy. Of these, two patients showed a favorable response, one patient had stable disease, and two patients showed disease progression; robot-assisted radical surgery was subsequently performed for the latter. Immunohistochemical analysis revealed decreased expression of androgen receptor and NKX3.1 in noncancerous lesions after luteolin treatment. In addition, quantitative reverse transcription-PCR revealed that serum micro(mi)RNA expression in serum and prostate gland, including miR-29 and miR-30, tended to be upregulated after luteolin treatment compared with during the pretreatment phase. <b>Conclusions:</b> Our small phase I study of men with PCA suggests that daily treatment with 50 mg of an oral supplement of luteolin is safe and effective with regard to oncological outcomes, particularly in patients under AS.</p>","PeriodicalId":20907,"journal":{"name":"Prostate Cancer","volume":"2025 ","pages":"8165686"},"PeriodicalIF":2.0000,"publicationDate":"2025-02-25","publicationTypes":"Journal Article","fieldsOfStudy":null,"isOpenAccess":false,"openAccessPdf":"https://www.ncbi.nlm.nih.gov/pmc/articles/PMC11879532/pdf/","citationCount":"0","resultStr":null,"platform":"Semanticscholar","paperid":null,"PeriodicalName":"Prostate Cancer","FirstCategoryId":"1085","ListUrlMain":"https://doi.org/10.1155/proc/8165686","RegionNum":0,"RegionCategory":null,"ArticlePicture":[],"TitleCN":null,"AbstractTextCN":null,"PMCID":null,"EPubDate":"2025/1/1 0:00:00","PubModel":"eCollection","JCR":"Q3","JCRName":"ONCOLOGY","Score":null,"Total":0}
引用次数: 0

Abstract

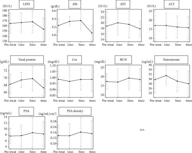
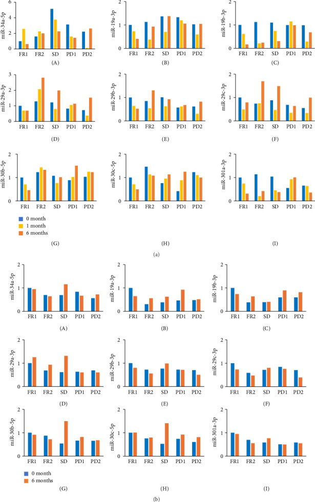
Background: A need exists for effective treatments for prostate cancer (PCA) due its re-emergence following androgen deprivation therapy, a major clinical problem. In a previous study, we presented evidence on the chemopreventive and chemotherapeutic potential of luteolin, a flavonoid, in PCA including castration-resistant PCA. In this single-arm phase I study, we clinically examined the safety of the oral intake of luteolin in patients under active surveillance (AS). Methods: Between March and September in 2022, five patients with low-intermediate risk PCA and under AS were treated daily with 50 mg of oral luteolin for six months. We investigated the efficacy of oral luteolin in oncological outcomes and any adverse events (AEs) and examined prostate and blood specimens. Results: The median age of patients was 68 years (range: 60-78), and the median initial prostate-specific antigen level was 9.5 ng/mL. All patients were under AS without rapid progression. After treatment with luteolin, AEs were not noted in any patients for six months. All patients underwent a protocol biopsy. Of these, two patients showed a favorable response, one patient had stable disease, and two patients showed disease progression; robot-assisted radical surgery was subsequently performed for the latter. Immunohistochemical analysis revealed decreased expression of androgen receptor and NKX3.1 in noncancerous lesions after luteolin treatment. In addition, quantitative reverse transcription-PCR revealed that serum micro(mi)RNA expression in serum and prostate gland, including miR-29 and miR-30, tended to be upregulated after luteolin treatment compared with during the pretreatment phase. Conclusions: Our small phase I study of men with PCA suggests that daily treatment with 50 mg of an oral supplement of luteolin is safe and effective with regard to oncological outcomes, particularly in patients under AS.

Abstract Image

Abstract Image

Abstract Image

主动监测下木犀草素治疗前列腺癌患者安全性和临床疗效的初步证据。
背景:前列腺癌(PCA)在雄激素剥夺治疗后复发,是一个重要的临床问题,因此需要有效的治疗方法。在之前的一项研究中,我们提出了木犀草素(一种黄酮类化合物)在PCA(包括去势抵抗PCA)中的化学预防和化学治疗潜力的证据。在这项单臂I期研究中,我们临床检查了主动监测(AS)患者口服木犀草素的安全性。方法:在2022年3月至9月期间,5例低中危PCA和AS以下患者每天口服木犀草素50 mg,持续6个月。我们调查了口服木犀草素对肿瘤预后和任何不良事件(ae)的影响,并检查了前列腺和血液标本。结果:患者的中位年龄为68岁(范围:60-78岁),中位初始前列腺特异性抗原水平为9.5 ng/mL。所有患者均处于AS状态,无快速进展。在木犀草素治疗6个月后,没有任何患者出现不良反应。所有患者都进行了例行活检。其中,2例患者表现出良好的反应,1例患者病情稳定,2例患者出现疾病进展;随后对后者进行了机器人辅助根治性手术。免疫组化分析显示木犀草素治疗后非癌性病变雄激素受体和NKX3.1的表达降低。此外,定量逆转录pcr结果显示,木犀草素处理后血清和前列腺中miR-29、miR-30等血清微RNA (mi)表达水平较预处理阶段有上调的趋势。结论:我们对男性PCA患者的小型I期研究表明,就肿瘤预后而言,每天口服50mg木犀草素补充剂是安全有效的,特别是在AS患者中。
本文章由计算机程序翻译,如有差异,请以英文原文为准。
求助全文
约1分钟内获得全文 求助全文
来源期刊
Prostate Cancer
Prostate Cancer ONCOLOGY-
CiteScore
2.70
自引率
0.00%
发文量
9
审稿时长
13 weeks
期刊介绍: Prostate Cancer is a peer-reviewed, Open Access journal that provides a multidisciplinary platform for scientists, surgeons, oncologists and clinicians working on prostate cancer. The journal publishes original research articles, review articles, and clinical studies related to the diagnosis, surgery, radiotherapy, drug discovery and medical management of the disease.
×
引用
GB/T 7714-2015
复制
MLA
复制
APA
复制
导出至
BibTeX EndNote RefMan NoteFirst NoteExpress
×
提示
您的信息不完整,为了账户安全,请先补充。
现在去补充
×
提示
您因"违规操作"
具体请查看互助需知
我知道了
×
提示
确定
请完成安全验证×
copy
已复制链接
快去分享给好友吧!
我知道了
右上角分享
点击右上角分享
0
联系我们:info@booksci.cn Book学术提供免费学术资源搜索服务,方便国内外学者检索中英文文献。致力于提供最便捷和优质的服务体验。 Copyright © 2023 布克学术 All rights reserved.
京ICP备2023020795号-1
ghs 京公网安备 11010802042870号
Book学术文献互助
Book学术文献互助群
群 号:604180095
Book学术官方微信