A Comparison Between the Traditional and Novel Isometric Mid-Thigh Methods and The Relationship to Countermovement Jump Performance.

Q1 Health Professions
International journal of exercise science Pub Date : 2025-02-02 eCollection Date: 2025-01-01 DOI:10.70252/CWDZ6616
Meir Magal, Matan Amitay, Jay R Hoffman
{"title":"A Comparison Between the Traditional and Novel Isometric Mid-Thigh Methods and The Relationship to Countermovement Jump Performance.","authors":"Meir Magal, Matan Amitay, Jay R Hoffman","doi":"10.70252/CWDZ6616","DOIUrl":null,"url":null,"abstract":"<p><p>The isometric mid-thigh pull (IMTP) test using the traditional bar grip (BAR) is a reliable and effective measure of strength performance in different populations. In addition, IMTP performance has been linked to jump performance. Recent research has shown that the pelvic belt (PEL) IMTP method produces higher absolute and relative peak force values than the Bar IMTP method. However, limited scientific data has examined the PEL IMTP method performance data and its relationship to dynamic strength and sports performance. The study aimed to provide a more robust comparison between the BAR and PEL IMTP methods and examine the relationship between these methods and several countermovement jump (CMJ) performance variables. Thirty healthy National Collegiate Athletic Association (NCAA) Division III athletes volunteered for this study. Each participant was asked to attend and complete four separate lab sessions utilizing a bilateral force platform. The results of this study demonstrated that peak force and relative peak force were significantly (<i>p</i> ≤ .05) greater during the PEL IMTP method than during the BAR IMTP method. Further, force development increased similarly in both the BAR and PEL IMTP methods, although there were no differences between the methods (<i>p</i>>.05). Lastly, Pearson's product-moment correlations demonstrated a medium and significant (<i>p</i> ≤ .05) relationship between CMJ and PEL IMTP variables. In conclusion, the PEL IMTP can measure lower body force performance capabilities. Further, PEL IMTP variables can be used to predict jump performance and, therefore, may be used for assessment and training purposes.</p>","PeriodicalId":14171,"journal":{"name":"International journal of exercise science","volume":"18 3","pages":"226-238"},"PeriodicalIF":0.0000,"publicationDate":"2025-02-02","publicationTypes":"Journal Article","fieldsOfStudy":null,"isOpenAccess":false,"openAccessPdf":"https://www.ncbi.nlm.nih.gov/pmc/articles/PMC11881987/pdf/","citationCount":"0","resultStr":null,"platform":"Semanticscholar","paperid":null,"PeriodicalName":"International journal of exercise science","FirstCategoryId":"1085","ListUrlMain":"https://doi.org/10.70252/CWDZ6616","RegionNum":0,"RegionCategory":null,"ArticlePicture":[],"TitleCN":null,"AbstractTextCN":null,"PMCID":null,"EPubDate":"2025/1/1 0:00:00","PubModel":"eCollection","JCR":"Q1","JCRName":"Health Professions","Score":null,"Total":0}
引用次数: 0

Abstract

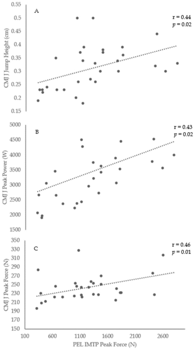
The isometric mid-thigh pull (IMTP) test using the traditional bar grip (BAR) is a reliable and effective measure of strength performance in different populations. In addition, IMTP performance has been linked to jump performance. Recent research has shown that the pelvic belt (PEL) IMTP method produces higher absolute and relative peak force values than the Bar IMTP method. However, limited scientific data has examined the PEL IMTP method performance data and its relationship to dynamic strength and sports performance. The study aimed to provide a more robust comparison between the BAR and PEL IMTP methods and examine the relationship between these methods and several countermovement jump (CMJ) performance variables. Thirty healthy National Collegiate Athletic Association (NCAA) Division III athletes volunteered for this study. Each participant was asked to attend and complete four separate lab sessions utilizing a bilateral force platform. The results of this study demonstrated that peak force and relative peak force were significantly (p ≤ .05) greater during the PEL IMTP method than during the BAR IMTP method. Further, force development increased similarly in both the BAR and PEL IMTP methods, although there were no differences between the methods (p>.05). Lastly, Pearson's product-moment correlations demonstrated a medium and significant (p ≤ .05) relationship between CMJ and PEL IMTP variables. In conclusion, the PEL IMTP can measure lower body force performance capabilities. Further, PEL IMTP variables can be used to predict jump performance and, therefore, may be used for assessment and training purposes.

Abstract Image

Abstract Image

Abstract Image

传统和新型大腿中部等长方法的比较以及与反向运动跳跃成绩的关系。
采用传统杆握(bar)的等距大腿中部拉力(IMTP)测试是一种可靠而有效的测量不同人群力量表现的方法。此外,IMTP性能也与跳转性能有关。最近的研究表明,骨盆带(PEL) IMTP方法比棒IMTP方法产生更高的绝对和相对峰值力值。然而,有限的科学数据已经检验了PEL IMTP方法的性能数据及其与动态力量和运动性能的关系。本研究旨在为BAR和PEL IMTP方法之间提供更可靠的比较,并检查这些方法与几个反向运动跳跃(CMJ)性能变量之间的关系。30名健康的全国大学体育协会(NCAA)三级运动员自愿参加本研究。每个参与者都被要求参加并完成四个独立的实验环节,利用双边力平台。本研究结果表明,与BAR IMTP法相比,PEL IMTP法的峰值力和相对峰值力显著(p≤0.05)大于BAR IMTP法。此外,在BAR和PEL IMTP方法中,力发展相似地增加,尽管两种方法之间没有差异(p < 0.05)。最后,Pearson积差相关性显示CMJ和PEL IMTP变量之间存在中等且显著(p≤0.05)的关系。综上所述,PEL IMTP可以测量下肢力量表现能力。此外,PEL IMTP变量可用于预测跳跃性能,因此可用于评估和训练目的。
本文章由计算机程序翻译,如有差异,请以英文原文为准。
求助全文
约1分钟内获得全文 求助全文
来源期刊
International journal of exercise science
International journal of exercise science Health Professions-Occupational Therapy
CiteScore
2.20
自引率
0.00%
发文量
47
审稿时长
26 weeks
×
引用
GB/T 7714-2015
复制
MLA
复制
APA
复制
导出至
BibTeX EndNote RefMan NoteFirst NoteExpress
×
提示
您的信息不完整,为了账户安全,请先补充。
现在去补充
×
提示
您因"违规操作"
具体请查看互助需知
我知道了
×
提示
确定
请完成安全验证×
copy
已复制链接
快去分享给好友吧!
我知道了
右上角分享
点击右上角分享
0
联系我们:info@booksci.cn Book学术提供免费学术资源搜索服务,方便国内外学者检索中英文文献。致力于提供最便捷和优质的服务体验。 Copyright © 2023 布克学术 All rights reserved.
京ICP备2023020795号-1
ghs 京公网安备 11010802042870号
Book学术文献互助
Book学术文献互助群
群 号:604180095
Book学术官方微信