Utility of the random C-peptide and random C-peptide index at diagnosis as a predictor of disease type and long-term insulin secretory capacity in children with diabetes mellitus.

IF 2.1 4区 医学 Q4 ENDOCRINOLOGY & METABOLISM
Endocrine journal Pub Date : 2025-06-02 Epub Date: 2025-03-05 DOI:10.1507/endocrj.EJ24-0517
Keita Numasawa, Kentaro Shiga, Makiko Kitao, Hiroaki Konno, Kuniyuki Nishiyama, Koji Ohsugi, Kanako Ebina, Nobuyuki Kikuchi, Shuichi Ito
{"title":"Utility of the random C-peptide and random C-peptide index at diagnosis as a predictor of disease type and long-term insulin secretory capacity in children with diabetes mellitus.","authors":"Keita Numasawa, Kentaro Shiga, Makiko Kitao, Hiroaki Konno, Kuniyuki Nishiyama, Koji Ohsugi, Kanako Ebina, Nobuyuki Kikuchi, Shuichi Ito","doi":"10.1507/endocrj.EJ24-0517","DOIUrl":null,"url":null,"abstract":"<p><p>The random C-peptide and random C-peptide index (CPI) have been shown to be useful in assessing endogenous insulin secretory capacity in adults with type 2 diabetes. This study aimed to clarify the utility of C-peptide and the CPI in early classification of long-term insulin-dependent status in pediatric diabetes patients. A total of 204 patients aged ≤15 years who received an initial diagnosis of acute-onset type 1 diabetes mellitus (T1DM), slowly progressive insulin-dependent diabetes mellitus (SPIDDM), or type 2 diabetes mellitus (T2DM) at Yokohama City University Medical Center between April 1, 2003 and March 31, 2018 were included. The acute-onset T1DM, SPIDDM, and T2DM groups included 140, 8, and 56 patients, respectively. The median random C-peptide values were 0.67, 3.18, and 4.16 ng/mL and median random CPI values were 0.19, 2.02, and 2.53 for acute-onset T1DM, SPIDDM, and T2DM cases, respectively (acute-onset T1DM vs. T2DM, p < 0.001 (C-peptide), p < 0.001 (CPI), acute-onset T1DM vs. SPIDDM, p < 0.001 (C-peptide), p < 0.001 (CPI), SPIDDM vs. T2DM, p = 0.04 (C-peptide), p = 0.19 (CPI)). Receiver operating characteristic analysis cutoff values of C-peptide levels in differentiating acute-onset T1DM from SPIDDM and acute-onset T1DM from T2DM were 1.60 ng/mL (sensitivity 87.5%, specificity 90.6%) and 1.81 ng/mL (sensitivity 91.1%, specificity 93.5%), while the respective CPI values were 0.46 (100% sensitivity, 77% specificity) and 1.05 (92.1% sensitivity, 87.5% specificity). This study indicates that the random C-peptide and random CPI at diagnosis are helpful in the early classification of childhood diabetes and determining an appropriate time to introduce insulin and predicting the subsequent clinical course.</p>","PeriodicalId":11631,"journal":{"name":"Endocrine journal","volume":" ","pages":"697-705"},"PeriodicalIF":2.1000,"publicationDate":"2025-06-02","publicationTypes":"Journal Article","fieldsOfStudy":null,"isOpenAccess":false,"openAccessPdf":"https://www.ncbi.nlm.nih.gov/pmc/articles/PMC12171165/pdf/","citationCount":"0","resultStr":null,"platform":"Semanticscholar","paperid":null,"PeriodicalName":"Endocrine journal","FirstCategoryId":"3","ListUrlMain":"https://doi.org/10.1507/endocrj.EJ24-0517","RegionNum":4,"RegionCategory":"医学","ArticlePicture":[],"TitleCN":null,"AbstractTextCN":null,"PMCID":null,"EPubDate":"2025/3/5 0:00:00","PubModel":"Epub","JCR":"Q4","JCRName":"ENDOCRINOLOGY & METABOLISM","Score":null,"Total":0}
引用次数: 0

Abstract

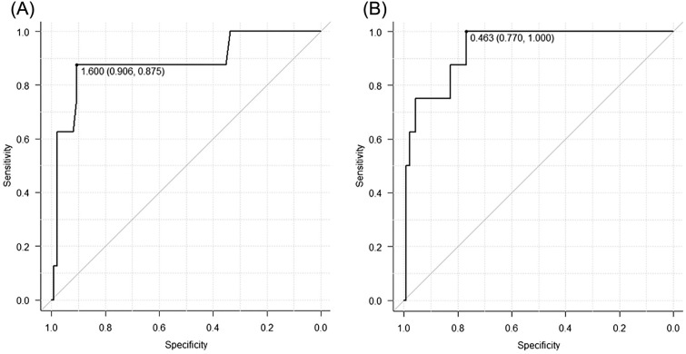
The random C-peptide and random C-peptide index (CPI) have been shown to be useful in assessing endogenous insulin secretory capacity in adults with type 2 diabetes. This study aimed to clarify the utility of C-peptide and the CPI in early classification of long-term insulin-dependent status in pediatric diabetes patients. A total of 204 patients aged ≤15 years who received an initial diagnosis of acute-onset type 1 diabetes mellitus (T1DM), slowly progressive insulin-dependent diabetes mellitus (SPIDDM), or type 2 diabetes mellitus (T2DM) at Yokohama City University Medical Center between April 1, 2003 and March 31, 2018 were included. The acute-onset T1DM, SPIDDM, and T2DM groups included 140, 8, and 56 patients, respectively. The median random C-peptide values were 0.67, 3.18, and 4.16 ng/mL and median random CPI values were 0.19, 2.02, and 2.53 for acute-onset T1DM, SPIDDM, and T2DM cases, respectively (acute-onset T1DM vs. T2DM, p < 0.001 (C-peptide), p < 0.001 (CPI), acute-onset T1DM vs. SPIDDM, p < 0.001 (C-peptide), p < 0.001 (CPI), SPIDDM vs. T2DM, p = 0.04 (C-peptide), p = 0.19 (CPI)). Receiver operating characteristic analysis cutoff values of C-peptide levels in differentiating acute-onset T1DM from SPIDDM and acute-onset T1DM from T2DM were 1.60 ng/mL (sensitivity 87.5%, specificity 90.6%) and 1.81 ng/mL (sensitivity 91.1%, specificity 93.5%), while the respective CPI values were 0.46 (100% sensitivity, 77% specificity) and 1.05 (92.1% sensitivity, 87.5% specificity). This study indicates that the random C-peptide and random CPI at diagnosis are helpful in the early classification of childhood diabetes and determining an appropriate time to introduce insulin and predicting the subsequent clinical course.

Abstract Image

Abstract Image

Abstract Image

诊断时随机c肽和随机c肽指数作为糖尿病儿童疾病类型和长期胰岛素分泌能力预测因子的应用
随机c肽和随机c肽指数(CPI)已被证明可用于评估成人2型糖尿病患者内源性胰岛素分泌能力。本研究旨在阐明c肽和CPI在儿童糖尿病患者长期胰岛素依赖状态早期分类中的作用。研究纳入了2003年4月1日至2018年3月31日期间在横滨市立大学医学中心接受初步诊断为急性发作型1型糖尿病(T1DM)、缓慢进展型胰岛素依赖性糖尿病(SPIDDM)或2型糖尿病(T2DM)的204例年龄≤15岁的患者。急性发作T1DM、SPIDDM和T2DM组分别包括140例、8例和56例患者。急性发作T1DM、SPIDDM和T2DM患者的随机c肽中位数分别为0.67、3.18和4.16 ng/mL,随机CPI中位数分别为0.19、2.02和2.53(急性发作T1DM vs T2DM, p < 0.001 (c肽),p < 0.001 (CPI),急性发作T1DM vs SPIDDM, p < 0.001 (c肽),p < 0.001 (CPI), SPIDDM vs T2DM, p = 0.04 (c肽),p = 0.19 (CPI))。c肽水平鉴别急性发作T1DM与SPIDDM、急性发作T1DM与T2DM的截断值分别为1.60 ng/mL(敏感性87.5%,特异性90.6%)和1.81 ng/mL(敏感性91.1%,特异性93.5%),CPI值分别为0.46(敏感性100%,特异性77%)和1.05(敏感性92.1%,特异性87.5%)。本研究提示诊断时随机c肽和随机CPI有助于儿童糖尿病的早期分类,确定适当的胰岛素引入时间和预测随后的临床病程。
本文章由计算机程序翻译,如有差异,请以英文原文为准。
求助全文
约1分钟内获得全文 求助全文
来源期刊
Endocrine journal
Endocrine journal 医学-内分泌学与代谢
CiteScore
4.30
自引率
5.00%
发文量
224
审稿时长
1.5 months
期刊介绍: Endocrine Journal is an open access, peer-reviewed online journal with a long history. This journal publishes peer-reviewed research articles in multifaceted fields of basic, translational and clinical endocrinology. Endocrine Journal provides a chance to exchange your ideas, concepts and scientific observations in any area of recent endocrinology. Manuscripts may be submitted as Original Articles, Notes, Rapid Communications or Review Articles. We have a rapid reviewing and editorial decision system and pay a special attention to our quick, truly scientific and frequently-citable publication. Please go through the link for author guideline.
×
引用
GB/T 7714-2015
复制
MLA
复制
APA
复制
导出至
BibTeX EndNote RefMan NoteFirst NoteExpress
×
提示
您的信息不完整,为了账户安全,请先补充。
现在去补充
×
提示
您因"违规操作"
具体请查看互助需知
我知道了
×
提示
确定
请完成安全验证×
copy
已复制链接
快去分享给好友吧!
我知道了
右上角分享
点击右上角分享
0
联系我们:info@booksci.cn Book学术提供免费学术资源搜索服务,方便国内外学者检索中英文文献。致力于提供最便捷和优质的服务体验。 Copyright © 2023 布克学术 All rights reserved.
京ICP备2023020795号-1
ghs 京公网安备 11010802042870号
Book学术文献互助
Book学术文献互助群
群 号:604180095
Book学术官方微信