Exploring awareness and perceptions of palliative care: a descriptive cross-sectional survey study in Central Europe.

IF 2.3 4区 医学 Q2 MEDICINE, GENERAL & INTERNAL
Croatian Medical Journal Pub Date : 2025-02-28
Ulrike Spary-Kainz, Nicole Posch, Andrea Siebenhofer, Zlata Ožvačić Adžić, Erika Zelko
{"title":"Exploring awareness and perceptions of palliative care: a descriptive cross-sectional survey study in Central Europe.","authors":"Ulrike Spary-Kainz, Nicole Posch, Andrea Siebenhofer, Zlata Ožvačić Adžić, Erika Zelko","doi":"","DOIUrl":null,"url":null,"abstract":"<p><strong>Aim: </strong>To assess awareness, knowledge, and preferences regarding palliative care in two Central European countries (Slovenia and Croatia) and the Austrian federal state of Styria. The study explored differences in the sources of information, public perceptions, and preferred settings for end-of-life care.</p><p><strong>Methods: </strong>In this descriptive cross-sectional survey, we enrolled a community-based sample of adults (≥18 years) residing in the three regions. Propensity score matching was applied to balance demographic variables in the analysis. Overall and matched samples were reported for the three regions.</p><p><strong>Results: </strong>The study enrolled 1586 respondents; 78.2% had at least heard of palliative care. In the matched sample (n=462), respondents from Austria had the highest awareness of palliative care goals (74.4%), and those from Slovenia had the highest preference for obtaining information from traditional media (54.4%). Opinions on death discussions varied significantly; in Austria, there was the highest percentage (69.5%) of respondents who felt death was insufficiently discussed in society. The preferred end-of-life care setting was home, with Austrians having the highest preference for this setting (70.8%).</p><p><strong>Conclusion: </strong>The study revealed notable disparities in awareness, knowledge, and preferences regarding palliative care, although the sample size varied between countries. These differences should be addressed by tailored communication strategies and public health campaigns, which should align health care services with the preferences and needs of the population. The findings provide insights into how to improve end-of-life care and enhance public understanding of palliative services in three Central European regions.</p>","PeriodicalId":10796,"journal":{"name":"Croatian Medical Journal","volume":"66 1","pages":"27-34"},"PeriodicalIF":2.3000,"publicationDate":"2025-02-28","publicationTypes":"Journal Article","fieldsOfStudy":null,"isOpenAccess":false,"openAccessPdf":"https://www.ncbi.nlm.nih.gov/pmc/articles/PMC11947979/pdf/","citationCount":"0","resultStr":null,"platform":"Semanticscholar","paperid":null,"PeriodicalName":"Croatian Medical Journal","FirstCategoryId":"3","ListUrlMain":"","RegionNum":4,"RegionCategory":"医学","ArticlePicture":[],"TitleCN":null,"AbstractTextCN":null,"PMCID":null,"EPubDate":"","PubModel":"","JCR":"Q2","JCRName":"MEDICINE, GENERAL & INTERNAL","Score":null,"Total":0}
引用次数: 0

Abstract

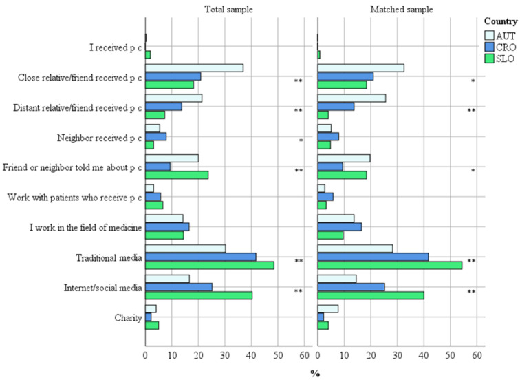
Aim: To assess awareness, knowledge, and preferences regarding palliative care in two Central European countries (Slovenia and Croatia) and the Austrian federal state of Styria. The study explored differences in the sources of information, public perceptions, and preferred settings for end-of-life care.

Methods: In this descriptive cross-sectional survey, we enrolled a community-based sample of adults (≥18 years) residing in the three regions. Propensity score matching was applied to balance demographic variables in the analysis. Overall and matched samples were reported for the three regions.

Results: The study enrolled 1586 respondents; 78.2% had at least heard of palliative care. In the matched sample (n=462), respondents from Austria had the highest awareness of palliative care goals (74.4%), and those from Slovenia had the highest preference for obtaining information from traditional media (54.4%). Opinions on death discussions varied significantly; in Austria, there was the highest percentage (69.5%) of respondents who felt death was insufficiently discussed in society. The preferred end-of-life care setting was home, with Austrians having the highest preference for this setting (70.8%).

Conclusion: The study revealed notable disparities in awareness, knowledge, and preferences regarding palliative care, although the sample size varied between countries. These differences should be addressed by tailored communication strategies and public health campaigns, which should align health care services with the preferences and needs of the population. The findings provide insights into how to improve end-of-life care and enhance public understanding of palliative services in three Central European regions.

Abstract Image

Abstract Image

探索意识和看法的姑息治疗:描述性横断面调查研究在中欧。
目的:评估两个中欧国家(斯洛文尼亚和克罗地亚)以及奥地利联邦施蒂里亚州对姑息关怀的认识、知识和偏好。该研究探讨了信息来源、公众看法和临终关怀首选环境方面的差异:在这项描述性横断面调查中,我们对居住在这三个地区的成年人(≥18 岁)进行了社区抽样调查。分析中采用倾向得分匹配法来平衡人口统计学变量。报告了三个地区的总体样本和匹配样本:研究共招募了 1586 名受访者;78.2% 的受访者至少听说过姑息关怀。在匹配样本(n=462)中,来自奥地利的受访者对姑息关怀目标的认知度最高(74.4%),来自斯洛文尼亚的受访者最喜欢从传统媒体获取信息(54.4%)。受访者对死亡讨论的看法差异很大;在奥地利,认为社会对死亡讨论不足的受访者比例最高(69.5%)。临终关怀的首选环境是家庭,奥地利人对这一环境的偏好度最高(70.8%):研究显示,尽管各国的样本数量不同,但在对姑息关怀的认识、知识和偏好方面存在明显差异。这些差异应通过量身定制的沟通策略和公共卫生运动来解决,使医疗服务符合人们的偏好和需求。研究结果为中欧三个地区如何改善临终关怀和提高公众对姑息治疗服务的认识提供了启示。
本文章由计算机程序翻译,如有差异,请以英文原文为准。
求助全文
约1分钟内获得全文 求助全文
来源期刊
Croatian Medical Journal
Croatian Medical Journal 医学-医学:内科
CiteScore
3.00
自引率
5.30%
发文量
105
审稿时长
6-12 weeks
期刊介绍: Croatian Medical Journal (CMJ) is an international peer reviewed journal open to scientists from all fields of biomedicine and health related research. Although CMJ welcomes all contributions that increase and expand on medical knowledge, the two areas are of the special interest: topics globally relevant for biomedicine and health and medicine in developing and emerging countries.
×
引用
GB/T 7714-2015
复制
MLA
复制
APA
复制
导出至
BibTeX EndNote RefMan NoteFirst NoteExpress
×
提示
您的信息不完整,为了账户安全,请先补充。
现在去补充
×
提示
您因"违规操作"
具体请查看互助需知
我知道了
×
提示
确定
请完成安全验证×
copy
已复制链接
快去分享给好友吧!
我知道了
右上角分享
点击右上角分享
0
联系我们:info@booksci.cn Book学术提供免费学术资源搜索服务,方便国内外学者检索中英文文献。致力于提供最便捷和优质的服务体验。 Copyright © 2023 布克学术 All rights reserved.
京ICP备2023020795号-1
ghs 京公网安备 11010802042870号
Book学术文献互助
Book学术文献互助群
群 号:604180095
Book学术官方微信