Evaluating oxygen reserve index-guided oxygenation for the prevention of postoperative delirium in elderly patients: a randomized controlled trial.

IF 2.3 4区 医学 Q2 MEDICINE, GENERAL & INTERNAL
Croatian Medical Journal Pub Date : 2025-02-28
Pelin Uzun Sarıtaş, Aykut Sarıtaş, Merve Çetin Poyraz
{"title":"Evaluating oxygen reserve index-guided oxygenation for the prevention of postoperative delirium in elderly patients: a randomized controlled trial.","authors":"Pelin Uzun Sarıtaş, Aykut Sarıtaş, Merve Çetin Poyraz","doi":"","DOIUrl":null,"url":null,"abstract":"<p><strong>Aim: </strong>To assess the effect of oxygen reserve index (ORi)-guided titration of fraction of inspired oxygen (FiO2) on the incidence of postoperative delirium (POD) and the frequency of hyperoxemia episodes, assuming a potential link between hyperoxemia and POD.</p><p><strong>Methods: </strong>This randomized controlled trial included 114 patients aged 65 years and older, scheduled for elective surgeries lasting over two hours at Health Sciences University Tepecik Training and Research Hospital between October 1, 2023, and July 7, 2024. Patients were randomized into the control group (n=57) or the ORi+pulse oximetry (SpO2) group (n=57). In the ORi+SpO2 group, we dynamically adjusted FiO2 based on the real-time ORi and SpO2 values, targeting 95%<SpO2≤98% and ORi 0.00. In the control group, FiO2 adjustments were guided solely by SpO2 readings, with ORi values recorded but not used for decision-making. POD was assessed with the Confusion Assessment Method (CAM) and CAM-ICU at multiple time points over 48 hours.</p><p><strong>Results: </strong>The incidence of POD was significantly higher in the control group than in the ORi+SpO2 group (42.1% vs 12.3%, P<0.001). The average FiO2 levels in the ORi+SpO2 group were significantly lower throughout surgery (P<0.001). The ORi+SpO2 group also exhibited a lower frequency of hyperoxemia episodes.</p><p><strong>Conclusion: </strong>The ORi-guided oxygenation strategy significantly reduced the incidence of POD in elderly patients by effectively minimizing intraoperative hyperoxemia. Optimizing intraoperative oxygenation through non-invasive monitoring may enhance perioperative outcomes.</p>","PeriodicalId":10796,"journal":{"name":"Croatian Medical Journal","volume":"66 1","pages":"47-55"},"PeriodicalIF":2.3000,"publicationDate":"2025-02-28","publicationTypes":"Journal Article","fieldsOfStudy":null,"isOpenAccess":false,"openAccessPdf":"https://www.ncbi.nlm.nih.gov/pmc/articles/PMC11947977/pdf/","citationCount":"0","resultStr":null,"platform":"Semanticscholar","paperid":null,"PeriodicalName":"Croatian Medical Journal","FirstCategoryId":"3","ListUrlMain":"","RegionNum":4,"RegionCategory":"医学","ArticlePicture":[],"TitleCN":null,"AbstractTextCN":null,"PMCID":null,"EPubDate":"","PubModel":"","JCR":"Q2","JCRName":"MEDICINE, GENERAL & INTERNAL","Score":null,"Total":0}
引用次数: 0

Abstract

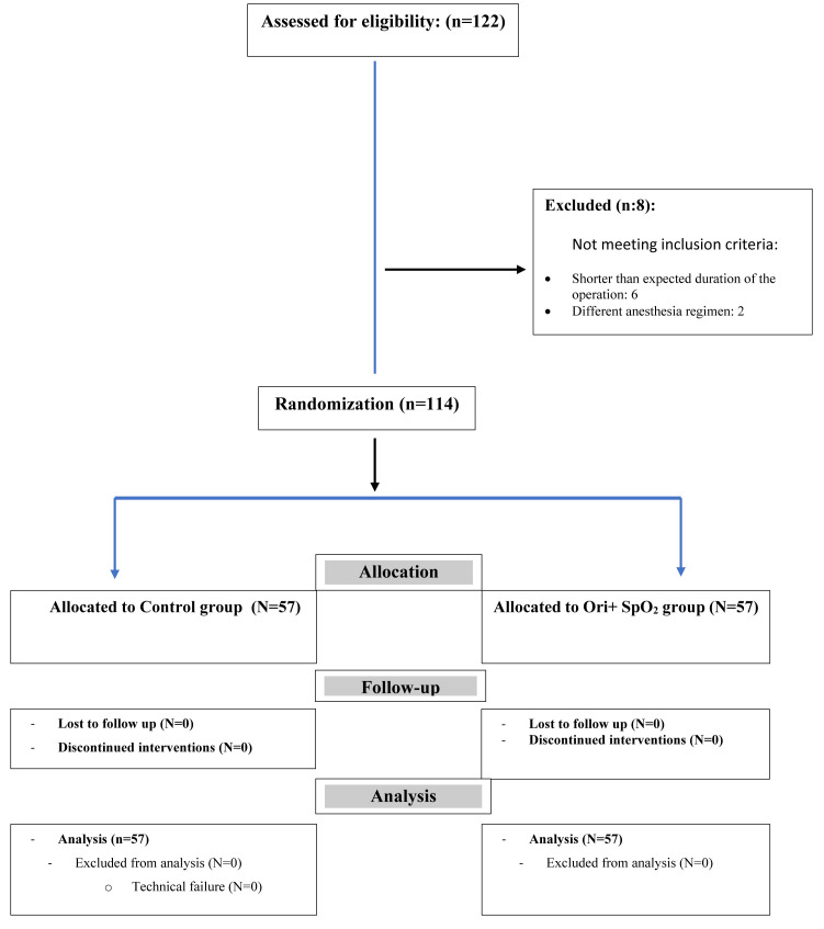
Aim: To assess the effect of oxygen reserve index (ORi)-guided titration of fraction of inspired oxygen (FiO2) on the incidence of postoperative delirium (POD) and the frequency of hyperoxemia episodes, assuming a potential link between hyperoxemia and POD.

Methods: This randomized controlled trial included 114 patients aged 65 years and older, scheduled for elective surgeries lasting over two hours at Health Sciences University Tepecik Training and Research Hospital between October 1, 2023, and July 7, 2024. Patients were randomized into the control group (n=57) or the ORi+pulse oximetry (SpO2) group (n=57). In the ORi+SpO2 group, we dynamically adjusted FiO2 based on the real-time ORi and SpO2 values, targeting 95%

Results: The incidence of POD was significantly higher in the control group than in the ORi+SpO2 group (42.1% vs 12.3%, P<0.001). The average FiO2 levels in the ORi+SpO2 group were significantly lower throughout surgery (P<0.001). The ORi+SpO2 group also exhibited a lower frequency of hyperoxemia episodes.

Conclusion: The ORi-guided oxygenation strategy significantly reduced the incidence of POD in elderly patients by effectively minimizing intraoperative hyperoxemia. Optimizing intraoperative oxygenation through non-invasive monitoring may enhance perioperative outcomes.

Abstract Image

Abstract Image

Abstract Image

评价氧储备指数引导充氧预防老年患者术后谵妄:一项随机对照试验。
目的:探讨氧储备指数(ORi)引导下吸入氧分数(FiO2)滴定对术后谵妄(POD)发生率和高氧血症发作频率的影响,假设高氧血症与POD之间存在潜在联系。方法:该随机对照试验纳入114例65岁及以上的患者,这些患者计划于2023年10月1日至2024年7月7日在健康科学大学Tepecik培训和研究医院进行选择性手术,手术时间超过2小时。患者随机分为对照组(n=57)和ORi+脉搏血氧仪(SpO2)组(n=57)。在ORi+SpO2组中,我们根据实时ORi和SpO2值动态调整FiO2,目标为95%。结果:对照组POD的发生率明显高于ORi+SpO2组(42.1% vs 12.3%)。结论:ORi引导的氧合策略通过有效减少术中高氧血症,显著降低老年患者POD的发生率。通过无创监测优化术中氧合可提高围手术期疗效。
本文章由计算机程序翻译,如有差异,请以英文原文为准。
求助全文
约1分钟内获得全文 求助全文
来源期刊
Croatian Medical Journal
Croatian Medical Journal 医学-医学:内科
CiteScore
3.00
自引率
5.30%
发文量
105
审稿时长
6-12 weeks
期刊介绍: Croatian Medical Journal (CMJ) is an international peer reviewed journal open to scientists from all fields of biomedicine and health related research. Although CMJ welcomes all contributions that increase and expand on medical knowledge, the two areas are of the special interest: topics globally relevant for biomedicine and health and medicine in developing and emerging countries.
×
引用
GB/T 7714-2015
复制
MLA
复制
APA
复制
导出至
BibTeX EndNote RefMan NoteFirst NoteExpress
×
提示
您的信息不完整,为了账户安全,请先补充。
现在去补充
×
提示
您因"违规操作"
具体请查看互助需知
我知道了
×
提示
确定
请完成安全验证×
copy
已复制链接
快去分享给好友吧!
我知道了
右上角分享
点击右上角分享
0
联系我们:info@booksci.cn Book学术提供免费学术资源搜索服务,方便国内外学者检索中英文文献。致力于提供最便捷和优质的服务体验。 Copyright © 2023 布克学术 All rights reserved.
京ICP备2023020795号-1
ghs 京公网安备 11010802042870号
Book学术文献互助
Book学术文献互助群
群 号:604180095
Book学术官方微信