Incidence and survival outcomes of myocarditis and pericardial diseases associated with immune checkpoint inhibitor therapy.

IF 3.2 Q2 CARDIAC & CARDIOVASCULAR SYSTEMS
Aya F Ozaki, Michael Sayer, Hirofumi Hamano, Misako Nagasaka, Benjamin J Lee, Jean Doh, Ali Naqvi, Nareh Nowrouzi, Yoshito Zamami, Pranav M Patel
{"title":"Incidence and survival outcomes of myocarditis and pericardial diseases associated with immune checkpoint inhibitor therapy.","authors":"Aya F Ozaki, Michael Sayer, Hirofumi Hamano, Misako Nagasaka, Benjamin J Lee, Jean Doh, Ali Naqvi, Nareh Nowrouzi, Yoshito Zamami, Pranav M Patel","doi":"10.1186/s40959-025-00300-1","DOIUrl":null,"url":null,"abstract":"<p><strong>Introduction: </strong>Immune checkpoint inhibitor(ICI) induced cardiac immune related adverse events are challenging to study; Leveraging large data bases like TriNetX global health network may provide needed insights.</p><p><strong>Methods: </strong>We performed a retrospective cohort study including patients diagnosed neoplasm and 18 and older when receiving ICI therapy from 1/1/2011 to 12/31/2022. Queried ICD 9/10 codes identified patients experiencing myocarditis, pericarditis, pericardial effusion, and cardiac tamponade within 1 year of ICI initiation. Survival analyses compared one-year overall survival (OS) of patients experiencing cardiac irAEs against propensity score matched populations not experiencing them.</p><p><strong>Results: </strong>In 88,928 identified ICI patients, the incidence of myocarditis(0.48%), pericarditis(0.22%), and cardiac tamponade(0.47%) were less than 1% while pericardial effusion occurred in 4.71% of patients. Hazard ratios (HRs) were significantly higher in all cardiac irAE groups: myocarditis (HR:1.26, 95% CI:1.04-1.54, p = 0.02), pericarditis (HR:1.36, 95% CI:1.02-1.82, p = 0.04), pericardial effusion (HR:1.49, 95% CI:1.39-1.59, p < 0.0001), cardiac tamponade (HR:2.15, 95% CI:1.79-2.57, p < 0.0001), and overall pericardial disease (HR:1.46, 95% CI:1.37-1.56, p < 0.0001). There was no significant difference in OS between myocarditis and pericarditis or overall pericardial diseases.</p><p><strong>Discussion/conclusion: </strong>Utilizing a uniquely large cohort of ICI patients, this study further shows the rarity of cardiac inflammatory irAEs and highlights their significant impact on patient survival.</p>","PeriodicalId":9804,"journal":{"name":"Cardio-oncology","volume":"11 1","pages":"26"},"PeriodicalIF":3.2000,"publicationDate":"2025-03-05","publicationTypes":"Journal Article","fieldsOfStudy":null,"isOpenAccess":false,"openAccessPdf":"https://www.ncbi.nlm.nih.gov/pmc/articles/PMC11881249/pdf/","citationCount":"0","resultStr":null,"platform":"Semanticscholar","paperid":null,"PeriodicalName":"Cardio-oncology","FirstCategoryId":"1085","ListUrlMain":"https://doi.org/10.1186/s40959-025-00300-1","RegionNum":0,"RegionCategory":null,"ArticlePicture":[],"TitleCN":null,"AbstractTextCN":null,"PMCID":null,"EPubDate":"","PubModel":"","JCR":"Q2","JCRName":"CARDIAC & CARDIOVASCULAR SYSTEMS","Score":null,"Total":0}
引用次数: 0

Abstract

Introduction: Immune checkpoint inhibitor(ICI) induced cardiac immune related adverse events are challenging to study; Leveraging large data bases like TriNetX global health network may provide needed insights.

Methods: We performed a retrospective cohort study including patients diagnosed neoplasm and 18 and older when receiving ICI therapy from 1/1/2011 to 12/31/2022. Queried ICD 9/10 codes identified patients experiencing myocarditis, pericarditis, pericardial effusion, and cardiac tamponade within 1 year of ICI initiation. Survival analyses compared one-year overall survival (OS) of patients experiencing cardiac irAEs against propensity score matched populations not experiencing them.

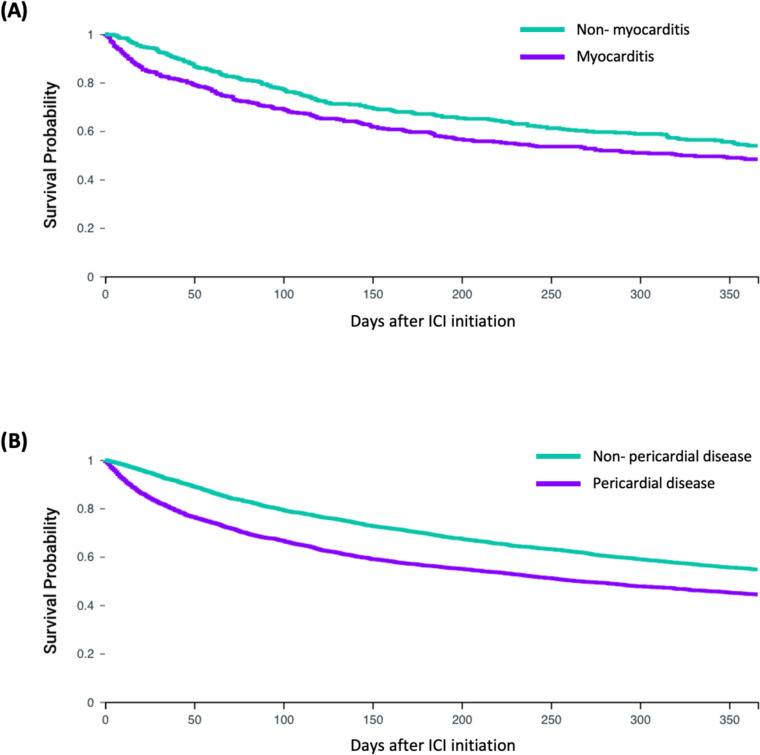
Results: In 88,928 identified ICI patients, the incidence of myocarditis(0.48%), pericarditis(0.22%), and cardiac tamponade(0.47%) were less than 1% while pericardial effusion occurred in 4.71% of patients. Hazard ratios (HRs) were significantly higher in all cardiac irAE groups: myocarditis (HR:1.26, 95% CI:1.04-1.54, p = 0.02), pericarditis (HR:1.36, 95% CI:1.02-1.82, p = 0.04), pericardial effusion (HR:1.49, 95% CI:1.39-1.59, p < 0.0001), cardiac tamponade (HR:2.15, 95% CI:1.79-2.57, p < 0.0001), and overall pericardial disease (HR:1.46, 95% CI:1.37-1.56, p < 0.0001). There was no significant difference in OS between myocarditis and pericarditis or overall pericardial diseases.

Discussion/conclusion: Utilizing a uniquely large cohort of ICI patients, this study further shows the rarity of cardiac inflammatory irAEs and highlights their significant impact on patient survival.

Abstract Image

与免疫检查点抑制剂治疗相关的心肌炎和心包疾病的发病率和生存结局
免疫检查点抑制剂(ICI)诱导的心脏免疫相关不良事件的研究具有挑战性;利用TriNetX全球健康网络等大型数据库可能会提供所需的见解。方法:我们进行了一项回顾性队列研究,包括2011年1月1日至2022年12月31日期间接受ICI治疗的18岁及以上诊断为肿瘤的患者。查询的ICD 9/10代码确定了ICI开始1年内发生心肌炎、心包炎、心包积液和心包填塞的患者。生存分析比较了经历心脏irae的患者与倾向评分匹配的未经历irae的人群的一年总生存率(OS)。结果:88,928例确诊ICI患者中,心肌炎(0.48%)、心包炎(0.22%)、心包填塞(0.47%)发生率均小于1%,心包积液发生率为4.71%。所有心脏irAE组的危险比(HR)均显著升高:心肌炎(HR:1.26, 95% CI:1.04-1.54, p = 0.02)、心包炎(HR:1.36, 95% CI:1.02-1.82, p = 0.04)、心包积液(HR:1.49, 95% CI:1.39-1.59, p)。讨论/结论:利用ICI患者的独特大队列,本研究进一步显示了心脏炎症性irAE的罕见性,并强调了它们对患者生存的重要影响。
本文章由计算机程序翻译,如有差异,请以英文原文为准。
求助全文
约1分钟内获得全文 求助全文
来源期刊
Cardio-oncology
Cardio-oncology Medicine-Cardiology and Cardiovascular Medicine
CiteScore
5.00
自引率
3.00%
发文量
17
审稿时长
7 weeks
×
引用
GB/T 7714-2015
复制
MLA
复制
APA
复制
导出至
BibTeX EndNote RefMan NoteFirst NoteExpress
×
提示
您的信息不完整,为了账户安全,请先补充。
现在去补充
×
提示
您因"违规操作"
具体请查看互助需知
我知道了
×
提示
确定
请完成安全验证×
copy
已复制链接
快去分享给好友吧!
我知道了
右上角分享
点击右上角分享
0
联系我们:info@booksci.cn Book学术提供免费学术资源搜索服务,方便国内外学者检索中英文文献。致力于提供最便捷和优质的服务体验。 Copyright © 2023 布克学术 All rights reserved.
京ICP备2023020795号-1
ghs 京公网安备 11010802042870号
Book学术文献互助
Book学术文献互助群
群 号:604180095
Book学术官方微信