Layover start timing predicts layover sleep quantity and timing on long-range and ultra-long-range trips.

Michael J Rempe, Ian Rasmussen, Kevin Gregory, Cheyenne Johnson, Matthew Hsin, Erin Flynn-Evans, Amanda Lamp, Cassie J Hilditch
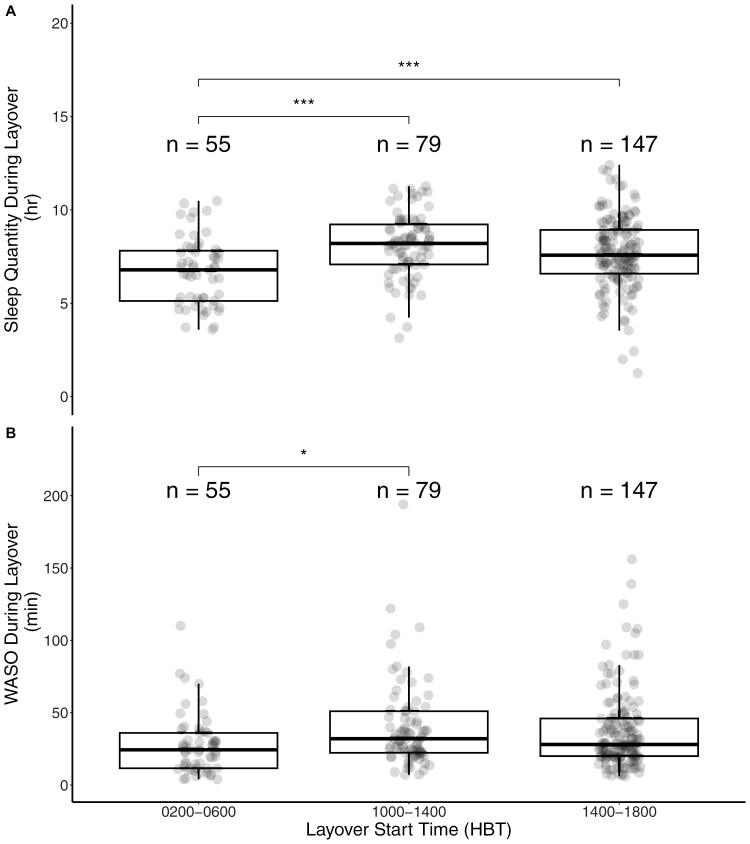
{"title":"Layover start timing predicts layover sleep quantity and timing on long-range and ultra-long-range trips.","authors":"Michael J Rempe, Ian Rasmussen, Kevin Gregory, Cheyenne Johnson, Matthew Hsin, Erin Flynn-Evans, Amanda Lamp, Cassie J Hilditch","doi":"10.1093/sleepadvances/zpaf002","DOIUrl":null,"url":null,"abstract":"<p><strong>Study objectives: </strong>Airline transport pilot sleep during layover is an important factor for alertness on subsequent flights. Assessing pilots' sleep on layover is an important first step in helping them obtain the most recuperative sleep possible on layover. Here, we investigate the quantity and timing of sleep during layovers and determine predictors for layover sleep.</p><p><strong>Methods: </strong>Sleep was assessed in 256 pilots flying a total of 473 long-range (LR; flight time 12-16 hours) or ultra-long-range (ULR; flight time <i>></i> 16 hours) trips. Sleep was assessed using actigraphy. We employed linear mixed-effects models with layover sleep characteristics as the outcomes. The predictor variables included operational factors and sleep history.</p><p><strong>Results: </strong>Overall, pilots averaged 7.2 hours of sleep per 24 hours of layover, which was significantly less than their daily sleep before or after the trip. Layover start time (relative to home base time) was the most salient predictor of sleep timing and quantity during both shorter (∼24-hour) and the first 24 hours of longer (∼48-hour) layovers. During the last 24 hours of longer layovers, crew type predicted sleep quantity.</p><p><strong>Conclusions: </strong>Although average sleep quantity during layovers was within the margins of recommended sleep duration, it was still less than pre- and post-trip sleep duration, suggesting modest sleep loss on layovers. Layover start timing was the strongest predictor of layover sleep quantity and timing and, thus, may be a modifiable factor to protect circadian-aligned sleep opportunities during layover.</p>","PeriodicalId":74808,"journal":{"name":"Sleep advances : a journal of the Sleep Research Society","volume":"6 1","pages":"zpaf002"},"PeriodicalIF":0.0000,"publicationDate":"2025-02-02","publicationTypes":"Journal Article","fieldsOfStudy":null,"isOpenAccess":false,"openAccessPdf":"https://www.ncbi.nlm.nih.gov/pmc/articles/PMC11879054/pdf/","citationCount":"0","resultStr":null,"platform":"Semanticscholar","paperid":null,"PeriodicalName":"Sleep advances : a journal of the Sleep Research Society","FirstCategoryId":"1085","ListUrlMain":"https://doi.org/10.1093/sleepadvances/zpaf002","RegionNum":0,"RegionCategory":null,"ArticlePicture":[],"TitleCN":null,"AbstractTextCN":null,"PMCID":null,"EPubDate":"2025/1/1 0:00:00","PubModel":"eCollection","JCR":"","JCRName":"","Score":null,"Total":0}
引用次数: 0

Abstract

Study objectives: Airline transport pilot sleep during layover is an important factor for alertness on subsequent flights. Assessing pilots' sleep on layover is an important first step in helping them obtain the most recuperative sleep possible on layover. Here, we investigate the quantity and timing of sleep during layovers and determine predictors for layover sleep.

Methods: Sleep was assessed in 256 pilots flying a total of 473 long-range (LR; flight time 12-16 hours) or ultra-long-range (ULR; flight time > 16 hours) trips. Sleep was assessed using actigraphy. We employed linear mixed-effects models with layover sleep characteristics as the outcomes. The predictor variables included operational factors and sleep history.

Results: Overall, pilots averaged 7.2 hours of sleep per 24 hours of layover, which was significantly less than their daily sleep before or after the trip. Layover start time (relative to home base time) was the most salient predictor of sleep timing and quantity during both shorter (∼24-hour) and the first 24 hours of longer (∼48-hour) layovers. During the last 24 hours of longer layovers, crew type predicted sleep quantity.

Conclusions: Although average sleep quantity during layovers was within the margins of recommended sleep duration, it was still less than pre- and post-trip sleep duration, suggesting modest sleep loss on layovers. Layover start timing was the strongest predictor of layover sleep quantity and timing and, thus, may be a modifiable factor to protect circadian-aligned sleep opportunities during layover.

Abstract Image

Abstract Image

Abstract Image

停留开始时间可预测长途和超长途旅行中停留睡眠的数量和时间。
研究目的:航空运输飞行员在中途停留期间的睡眠是影响后续航班警觉性的重要因素。评估飞行员在中途的睡眠是帮助他们在中途获得尽可能多的恢复睡眠的重要的第一步。在这里,我们调查了停留期间睡眠的数量和时间,并确定了停留睡眠的预测因子。方法:对256名飞行473架远程(LR;飞行时间12-16小时)或超远程(ULR;飞行时间(16小时)。使用活动描记仪评估睡眠。我们采用带有中途停留睡眠特征的线性混合效应模型作为结果。预测变量包括操作因素和睡眠史。结果:总的来说,飞行员平均每24小时的睡眠时间为7.2小时,这明显少于他们在飞行前后的日常睡眠时间。在较短(~ 24小时)和较长(~ 48小时)停留的前24小时内,停留开始时间(相对于基地时间)是睡眠时间和数量的最显著预测因子。在较长停留时间的最后24小时内,机组人员类型预测睡眠量。结论:虽然中途停留期间的平均睡眠量在推荐的睡眠时间范围内,但仍低于旅行前和旅行后的睡眠时间,表明中途停留期间睡眠不足。中途停留开始时间是中途停留睡眠数量和时间的最强预测因子,因此,可能是一个可修改的因素,以保护中途停留期间与昼夜节律一致的睡眠机会。
本文章由计算机程序翻译,如有差异,请以英文原文为准。
求助全文
约1分钟内获得全文 求助全文
来源期刊
CiteScore
2.10
自引率
0.00%
发文量
0
×
引用
GB/T 7714-2015
复制
MLA
复制
APA
复制
导出至
BibTeX EndNote RefMan NoteFirst NoteExpress
×
提示
您的信息不完整,为了账户安全,请先补充。
现在去补充
×
提示
您因"违规操作"
具体请查看互助需知
我知道了
×
提示
确定
请完成安全验证×
copy
已复制链接
快去分享给好友吧!
我知道了
右上角分享
点击右上角分享
0
联系我们:info@booksci.cn Book学术提供免费学术资源搜索服务,方便国内外学者检索中英文文献。致力于提供最便捷和优质的服务体验。 Copyright © 2023 布克学术 All rights reserved.
京ICP备2023020795号-1
ghs 京公网安备 11010802042870号
Book学术文献互助
Book学术文献互助群
群 号:604180095
Book学术官方微信