Advancing ICU mortality prediction in community-acquired pneumonia: Combining fibrinogen-to-albumin ratio, CT severity score, PSI, and CURB-65.

0 MEDICINE, RESEARCH & EXPERIMENTAL
Ece Unal Cetin, Ozge Kurtkulagi, Fatih Kamis, Murat Das, Esen Simsek, Adil Ugur Cetin, Yavuz Beyazit
{"title":"Advancing ICU mortality prediction in community-acquired pneumonia: Combining fibrinogen-to-albumin ratio, CT severity score, PSI, and CURB-65.","authors":"Ece Unal Cetin, Ozge Kurtkulagi, Fatih Kamis, Murat Das, Esen Simsek, Adil Ugur Cetin, Yavuz Beyazit","doi":"10.17305/bb.2025.12127","DOIUrl":null,"url":null,"abstract":"<p><p>Community-acquired pneumonia (CAP) is a leading cause of ICU admissions, with significant morbidity and mortality. Traditional risk stratification tools, such as CURB-65, the pneumonia severity index (PSI), and computed tomography severity scores (CT-SS) are widely used for prognosis but could be improved by incorporating novel biomarkers. This retrospective study evaluated the fibrinogen-to-albumin ratio (FAR) as an additional predictor of 30-day mortality in ICU patients with CAP. A total of 158 CAP patients admitted to a tertiary care ICU were included. Baseline data encompassed demographic, clinical, laboratory, and radiological parameters, including FAR, CURB-65, PSI, and CT-SS. Logistic regression and receiver operating characteristic curve (ROC) analyses were conducted to assess mortality predictors. The 30-day mortality rate was 70.88% (112/158). Higher FAR, PSI, CURB-65, CT-SS, and lactate levels were independently associated with increased mortality (P < 0.05). FAR demonstrated strong discriminatory power (area under the receiver operating characteristic [AUROC]: 0.704) and significantly improved the predictive accuracy of established models. Adding FAR to PSI increased the AUROC from 0.705 to 0.791 (P = 0.009), while combining FAR, CT-SS, and PSI yielded the highest predictive accuracy (AUROC: 0.844, P = 0.032). These findings suggest that FAR, which reflects both inflammation and nutritional status, complements traditional risk assessment tools by providing a dynamic perspective. Integrating FAR into existing models enhances the identification of high-risk patients, enabling timely interventions and more efficient resource allocation in the ICU.</p>","PeriodicalId":72398,"journal":{"name":"Biomolecules & biomedicine","volume":" ","pages":"2083-2091"},"PeriodicalIF":0.0000,"publicationDate":"2025-08-05","publicationTypes":"Journal Article","fieldsOfStudy":null,"isOpenAccess":false,"openAccessPdf":"https://www.ncbi.nlm.nih.gov/pmc/articles/PMC12450093/pdf/","citationCount":"0","resultStr":null,"platform":"Semanticscholar","paperid":null,"PeriodicalName":"Biomolecules & biomedicine","FirstCategoryId":"1085","ListUrlMain":"https://doi.org/10.17305/bb.2025.12127","RegionNum":0,"RegionCategory":null,"ArticlePicture":[],"TitleCN":null,"AbstractTextCN":null,"PMCID":null,"EPubDate":"","PubModel":"","JCR":"0","JCRName":"MEDICINE, RESEARCH & EXPERIMENTAL","Score":null,"Total":0}
引用次数: 0

Abstract

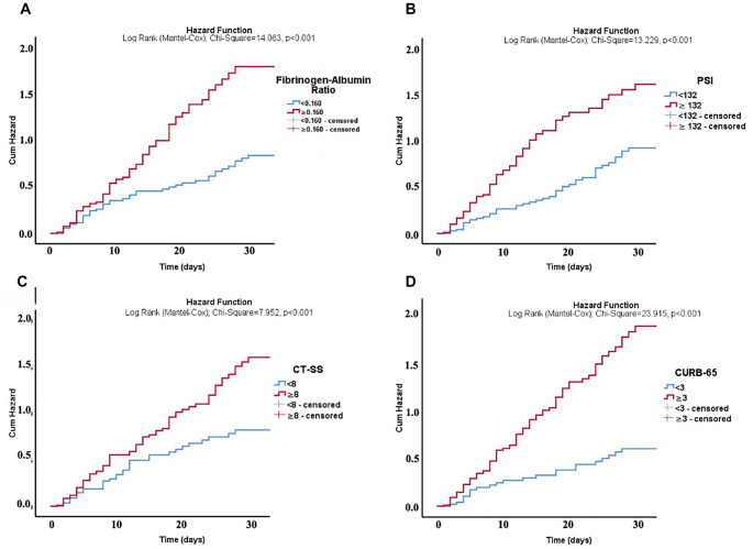
Community-acquired pneumonia (CAP) is a leading cause of ICU admissions, with significant morbidity and mortality. Traditional risk stratification tools, such as CURB-65, the pneumonia severity index (PSI), and computed tomography severity scores (CT-SS) are widely used for prognosis but could be improved by incorporating novel biomarkers. This retrospective study evaluated the fibrinogen-to-albumin ratio (FAR) as an additional predictor of 30-day mortality in ICU patients with CAP. A total of 158 CAP patients admitted to a tertiary care ICU were included. Baseline data encompassed demographic, clinical, laboratory, and radiological parameters, including FAR, CURB-65, PSI, and CT-SS. Logistic regression and receiver operating characteristic curve (ROC) analyses were conducted to assess mortality predictors. The 30-day mortality rate was 70.88% (112/158). Higher FAR, PSI, CURB-65, CT-SS, and lactate levels were independently associated with increased mortality (P < 0.05). FAR demonstrated strong discriminatory power (area under the receiver operating characteristic [AUROC]: 0.704) and significantly improved the predictive accuracy of established models. Adding FAR to PSI increased the AUROC from 0.705 to 0.791 (P = 0.009), while combining FAR, CT-SS, and PSI yielded the highest predictive accuracy (AUROC: 0.844, P = 0.032). These findings suggest that FAR, which reflects both inflammation and nutritional status, complements traditional risk assessment tools by providing a dynamic perspective. Integrating FAR into existing models enhances the identification of high-risk patients, enabling timely interventions and more efficient resource allocation in the ICU.

Abstract Image

Abstract Image

Abstract Image

推进社区获得性肺炎的 ICU 死亡率预测:结合纤维蛋白原白蛋白比值、CT 严重程度评分、PSI 和 CURB-65。
社区获得性肺炎(CAP)是ICU入院的主要原因,具有显著的发病率和死亡率。传统的风险分层工具,如CURB-65、肺炎严重程度指数(PSI)和计算机断层扫描严重程度评分(CT-SS)被广泛用于预后,但可以通过结合新的生物标志物来改善。这项回顾性研究评估了纤维蛋白原与白蛋白比率(FAR)作为ICU CAP患者30天死亡率的额外预测因子。共有158名CAP患者被纳入三级护理ICU。基线数据包括人口统计学、临床、实验室和放射学参数,包括FAR、CURB-65、PSI和CT-SS。采用Logistic回归和受试者工作特征曲线(ROC)分析评估死亡率预测因子。30 d死亡率为70.88%(112/158)。较高的FAR、PSI、CURB-65、CT-SS和乳酸水平与死亡率增加独立相关(P < 0.05)。FAR表现出较强的分辨能力(接收机工作特征下面积[AUROC]: 0.704),显著提高了已建立模型的预测精度。将FAR加入PSI使AUROC从0.705增加到0.791 (P = 0.009),而FAR、CT-SS和PSI联合使用的预测准确率最高(AUROC: 0.844, P = 0.032)。这些发现表明,反映炎症和营养状况的FAR通过提供动态视角来补充传统的风险评估工具。将FAR整合到现有模型中可以增强对高危患者的识别,使ICU能够及时干预并更有效地分配资源。
本文章由计算机程序翻译,如有差异,请以英文原文为准。
求助全文
约1分钟内获得全文 求助全文
来源期刊
CiteScore
1.10
自引率
0.00%
发文量
0
×
引用
GB/T 7714-2015
复制
MLA
复制
APA
复制
导出至
BibTeX EndNote RefMan NoteFirst NoteExpress
×
提示
您的信息不完整,为了账户安全,请先补充。
现在去补充
×
提示
您因"违规操作"
具体请查看互助需知
我知道了
×
提示
确定
请完成安全验证×
copy
已复制链接
快去分享给好友吧!
我知道了
右上角分享
点击右上角分享
0
联系我们:info@booksci.cn Book学术提供免费学术资源搜索服务,方便国内外学者检索中英文文献。致力于提供最便捷和优质的服务体验。 Copyright © 2023 布克学术 All rights reserved.
京ICP备2023020795号-1
ghs 京公网安备 11010802042870号
Book学术文献互助
Book学术文献互助群
群 号:604180095
Book学术官方微信