Association between the Triglyceride-Glucose Index and Cardiovascular Risk and Mortality across Different Diabetes Durations: A Nationwide Cohort Study.

IF 4.2 3区 医学 Q2 ENDOCRINOLOGY & METABOLISM
Endocrinology and Metabolism Pub Date : 2025-08-01 Epub Date: 2025-03-05 DOI:10.3803/EnM.2024.2205
Jeongeun Kwak, Kyung-Do Han, Eun Young Lee, Seung-Hwan Lee, Dong-Jun Lim, Hyuk-Sang Kwon, Jeongmin Lee
{"title":"Association between the Triglyceride-Glucose Index and Cardiovascular Risk and Mortality across Different Diabetes Durations: A Nationwide Cohort Study.","authors":"Jeongeun Kwak, Kyung-Do Han, Eun Young Lee, Seung-Hwan Lee, Dong-Jun Lim, Hyuk-Sang Kwon, Jeongmin Lee","doi":"10.3803/EnM.2024.2205","DOIUrl":null,"url":null,"abstract":"<p><strong>Backgruound: </strong>We aimed to assess the association between triglyceride-glucose (TyG) index and cardiovascular disease (CVD) risk and mortality in a large cohort of diabetes patients.</p><p><strong>Methods: </strong>A retrospective cohort study of 1,090,485 participants from the Korean National Health Insurance Service database was conducted. Participants were stratified into TyG quartiles.</p><p><strong>Results: </strong>Higher TyG index quartiles were significantly associated with an increased CVD risk and mortality risk. In fully adjusted models, participants in the highest TyG quartile (Q4) had an 18% higher risk of CVD (hazard ratio [HR], 1.18; 95% confidence interval [CI], 1.13 to 1.23) and a 16% higher risk of mortality (HR, 1.16; 95% CI, 1.11 to 1.23) compared to those in the lowest quartile (Q1). The association was particularly pronounced in patients with fasting glucose ≥126 mg/dL (CVD [HR, 1.33; 95% CI, 1.29 to 1.37], mortality [HR, 1.23; 95% CI, 1.20 to 1.26]; P for interaction <0.001). Patients with a diabetes duration of ≥10 years showed the strongest association between the TyG index and CVD risk (HR, 1.44; 95% CI, 1.38 to 1.50), while the mortality risk was particularly elevated in those with a diabetes duration of less than 5 years (HR, 1.23; 95% CI, 1.18 to 1.30). Subgroup analyses revealed stronger associations between TyG index and CVD risk in younger participants, non-obese individuals, and non-smokers.</p><p><strong>Conclusion: </strong>The TyG index is a significant predictor of CVD and mortality in diabetic patients, particularly in those with poor glycemic control or longer disease duration.</p>","PeriodicalId":11636,"journal":{"name":"Endocrinology and Metabolism","volume":" ","pages":"548-560"},"PeriodicalIF":4.2000,"publicationDate":"2025-08-01","publicationTypes":"Journal Article","fieldsOfStudy":null,"isOpenAccess":false,"openAccessPdf":"https://www.ncbi.nlm.nih.gov/pmc/articles/PMC12409153/pdf/","citationCount":"0","resultStr":null,"platform":"Semanticscholar","paperid":null,"PeriodicalName":"Endocrinology and Metabolism","FirstCategoryId":"3","ListUrlMain":"https://doi.org/10.3803/EnM.2024.2205","RegionNum":3,"RegionCategory":"医学","ArticlePicture":[],"TitleCN":null,"AbstractTextCN":null,"PMCID":null,"EPubDate":"2025/3/5 0:00:00","PubModel":"Epub","JCR":"Q2","JCRName":"ENDOCRINOLOGY & METABOLISM","Score":null,"Total":0}
引用次数: 0

Abstract

Backgruound: We aimed to assess the association between triglyceride-glucose (TyG) index and cardiovascular disease (CVD) risk and mortality in a large cohort of diabetes patients.

Methods: A retrospective cohort study of 1,090,485 participants from the Korean National Health Insurance Service database was conducted. Participants were stratified into TyG quartiles.

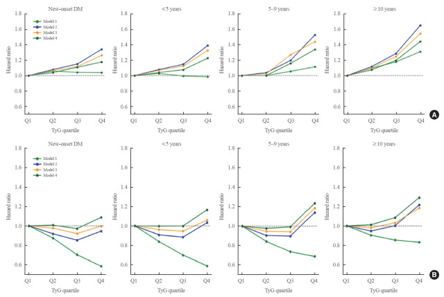
Results: Higher TyG index quartiles were significantly associated with an increased CVD risk and mortality risk. In fully adjusted models, participants in the highest TyG quartile (Q4) had an 18% higher risk of CVD (hazard ratio [HR], 1.18; 95% confidence interval [CI], 1.13 to 1.23) and a 16% higher risk of mortality (HR, 1.16; 95% CI, 1.11 to 1.23) compared to those in the lowest quartile (Q1). The association was particularly pronounced in patients with fasting glucose ≥126 mg/dL (CVD [HR, 1.33; 95% CI, 1.29 to 1.37], mortality [HR, 1.23; 95% CI, 1.20 to 1.26]; P for interaction <0.001). Patients with a diabetes duration of ≥10 years showed the strongest association between the TyG index and CVD risk (HR, 1.44; 95% CI, 1.38 to 1.50), while the mortality risk was particularly elevated in those with a diabetes duration of less than 5 years (HR, 1.23; 95% CI, 1.18 to 1.30). Subgroup analyses revealed stronger associations between TyG index and CVD risk in younger participants, non-obese individuals, and non-smokers.

Conclusion: The TyG index is a significant predictor of CVD and mortality in diabetic patients, particularly in those with poor glycemic control or longer disease duration.

Abstract Image

Abstract Image

甘油三酯-葡萄糖指数与不同糖尿病病程的心血管风险和死亡率之间的关系:一项全国性队列研究
背景:我们旨在评估一个大型糖尿病患者队列中甘油三酯-葡萄糖(TyG)指数与心血管疾病(CVD)风险和死亡率之间的关系。方法:对来自韩国国民健康保险服务数据库的1,090,485名参与者进行回顾性队列研究。参与者被分成TyG四分位数。结果:较高的TyG指数四分位数与心血管疾病风险和死亡风险增加显著相关。在完全调整后的模型中,TyG最高四分位数(Q4)的参与者患心血管疾病的风险高出18%(风险比[HR], 1.18;95%可信区间[CI], 1.13 ~ 1.23),死亡风险增加16% (HR, 1.16;95% CI, 1.11至1.23)与最低四分位数(Q1)相比。这种关联在空腹血糖≥126 mg/dL的患者中尤为明显(CVD [HR, 1.33;95% CI, 1.29 ~ 1.37],死亡率[HR, 1.23;95% CI, 1.20 ~ 1.26];结论:TyG指数是糖尿病患者CVD和死亡率的重要预测因子,特别是在血糖控制较差或病程较长的患者中。
本文章由计算机程序翻译,如有差异,请以英文原文为准。
求助全文
约1分钟内获得全文 求助全文
来源期刊
Endocrinology and Metabolism
Endocrinology and Metabolism Medicine-Endocrinology, Diabetes and Metabolism
CiteScore
6.60
自引率
5.90%
发文量
145
审稿时长
24 weeks
期刊介绍: The aim of this journal is to set high standards of medical care by providing a forum for discussion for basic, clinical, and translational researchers and clinicians on new findings in the fields of endocrinology and metabolism. Endocrinology and Metabolism reports new findings and developments in all aspects of endocrinology and metabolism. The topics covered by this journal include bone and mineral metabolism, cytokines, developmental endocrinology, diagnostic endocrinology, endocrine research, dyslipidemia, endocrine regulation, genetic endocrinology, growth factors, hormone receptors, hormone action and regulation, management of endocrine diseases, clinical trials, epidemiology, molecular endocrinology, neuroendocrinology, neuropeptides, neurotransmitters, obesity, pediatric endocrinology, reproductive endocrinology, signal transduction, the anatomy and physiology of endocrine organs (i.e., the pituitary, thyroid, parathyroid, and adrenal glands, and the gonads), and endocrine diseases (diabetes, nutrition, osteoporosis, etc.).
×
引用
GB/T 7714-2015
复制
MLA
复制
APA
复制
导出至
BibTeX EndNote RefMan NoteFirst NoteExpress
×
提示
您的信息不完整,为了账户安全,请先补充。
现在去补充
×
提示
您因"违规操作"
具体请查看互助需知
我知道了
×
提示
确定
请完成安全验证×
copy
已复制链接
快去分享给好友吧!
我知道了
右上角分享
点击右上角分享
0
联系我们:info@booksci.cn Book学术提供免费学术资源搜索服务,方便国内外学者检索中英文文献。致力于提供最便捷和优质的服务体验。 Copyright © 2023 布克学术 All rights reserved.
京ICP备2023020795号-1
ghs 京公网安备 11010802042870号
Book学术文献互助
Book学术文献互助群
群 号:604180095
Book学术官方微信