Temporal trends from HIV diagnosis to ART initiation among adults living with HIV in the Asia-Pacific (2013-2023).

IF 2.5 4区 医学 Q3 INFECTIOUS DISEASES
Thinh Toan Vu, Dhanushi Rupasinghe, Vohith Khol, Romanee Chaiwarith, Junko Tanuma, Nagalingeswaran Kumarasamy, Suwimon Khusuwan, IKetut Agus Somia, Sanjay Pujari, Man Po Lee, Rohidas T Borse, Sasisopin Kiertiburanakul, Evy Yunihastuti, Iskandar Azwa, Jun Yong Choi, Hsin-Pai Chen, Rossana Ditangco, Anchalee Avihingsanon, Yasmin Gani, Jeremy Ross, Awachana Jiamsakul
{"title":"Temporal trends from HIV diagnosis to ART initiation among adults living with HIV in the Asia-Pacific (2013-2023).","authors":"Thinh Toan Vu, Dhanushi Rupasinghe, Vohith Khol, Romanee Chaiwarith, Junko Tanuma, Nagalingeswaran Kumarasamy, Suwimon Khusuwan, IKetut Agus Somia, Sanjay Pujari, Man Po Lee, Rohidas T Borse, Sasisopin Kiertiburanakul, Evy Yunihastuti, Iskandar Azwa, Jun Yong Choi, Hsin-Pai Chen, Rossana Ditangco, Anchalee Avihingsanon, Yasmin Gani, Jeremy Ross, Awachana Jiamsakul","doi":"10.1186/s12981-025-00718-8","DOIUrl":null,"url":null,"abstract":"<p><strong>Introduction: </strong>Data on the impact of World Health Organization (WHO)'s guideline changes and COVID-19 on ART initiation in the Asia-Pacific remain scarce. This study described temporal trends from HIV diagnosis to ART initiation from 2013 to 2023 and its associated factors.</p><p><strong>Methods: </strong>Adults (≥ 18 years) diagnosed with HIV after 2013 in a regional observational cohort were included. Fine and Gray competing risk regression examined predictors of ART initiation (≥ 3 antiretroviral medications), accounting for those lost to follow-up or deceased before treatment considered as competing risks.</p><p><strong>Results: </strong>Among 14,968 participants, most were male (70.1%), with a median age of 36 years (interquartile range [IQR]: 28-44). At HIV diagnosis, median CD4 count was 208 cells/µL (IQR: 69-395), and median viral load was 86,296 copies/mL (IQR: 13,186-392,000). Over 85% of participants had initiated ART during the study period. Median time from HIV diagnosis to ART initiation differed across years of HIV diagnosis: 51 days (2013-2015), 28 days (2016-2019), and 26 days (≥ 2020). Factors associated with shorter time to ART initiation were higher country income-level (upper-middle: sub-distribution hazard ratio [SHR] = 1.34, 95% CI: 1.28, 1.40; high: SHR = 1.35, 95% CI: 1.28, 1.43; vs. lower-middle); HIV transmission via male-to-male contact (SHR = 1.06, 95% CI: 1.02, 1.11) or injection drug use (SHR = 1.23, 95% CI: 1.09, 1.38; vs. heterosexual contact); and later years of HIV diagnosis (2016-2019: SHR = 1.33, 95% CI: 1.28, 1.38; ≥ 2020: SHR = 1.40, 95% CI: 1.33, 1.48; vs. 2013-2015). Those with higher CD4 counts had longer time to ART start (350-499 cells/µL: SHR = 0.76, 95% CI: 0.67, 0.86; > 500 cells/µL: SHR = 0.55, 95% CI: 0.49, 0.61; vs. CD4 < 200 cells/µL).</p><p><strong>Conclusion: </strong>Time to ART initiation from HIV diagnosis decreased after 2016, aligning with evolving WHO guidelines, and did not appear to be impacted by COVID-19. Optimizing treatment initiation during the treat-all era is crucial, especially among those with higher CD4 counts.</p>","PeriodicalId":7503,"journal":{"name":"AIDS Research and Therapy","volume":"22 1","pages":"29"},"PeriodicalIF":2.5000,"publicationDate":"2025-03-04","publicationTypes":"Journal Article","fieldsOfStudy":null,"isOpenAccess":false,"openAccessPdf":"https://www.ncbi.nlm.nih.gov/pmc/articles/PMC11881487/pdf/","citationCount":"0","resultStr":null,"platform":"Semanticscholar","paperid":null,"PeriodicalName":"AIDS Research and Therapy","FirstCategoryId":"3","ListUrlMain":"https://doi.org/10.1186/s12981-025-00718-8","RegionNum":4,"RegionCategory":"医学","ArticlePicture":[],"TitleCN":null,"AbstractTextCN":null,"PMCID":null,"EPubDate":"","PubModel":"","JCR":"Q3","JCRName":"INFECTIOUS DISEASES","Score":null,"Total":0}
引用次数: 0

Abstract

Introduction: Data on the impact of World Health Organization (WHO)'s guideline changes and COVID-19 on ART initiation in the Asia-Pacific remain scarce. This study described temporal trends from HIV diagnosis to ART initiation from 2013 to 2023 and its associated factors.

Methods: Adults (≥ 18 years) diagnosed with HIV after 2013 in a regional observational cohort were included. Fine and Gray competing risk regression examined predictors of ART initiation (≥ 3 antiretroviral medications), accounting for those lost to follow-up or deceased before treatment considered as competing risks.

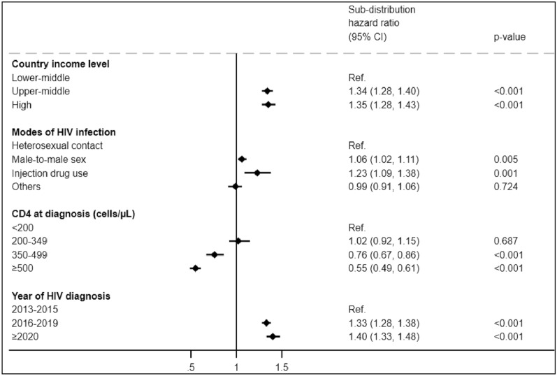
Results: Among 14,968 participants, most were male (70.1%), with a median age of 36 years (interquartile range [IQR]: 28-44). At HIV diagnosis, median CD4 count was 208 cells/µL (IQR: 69-395), and median viral load was 86,296 copies/mL (IQR: 13,186-392,000). Over 85% of participants had initiated ART during the study period. Median time from HIV diagnosis to ART initiation differed across years of HIV diagnosis: 51 days (2013-2015), 28 days (2016-2019), and 26 days (≥ 2020). Factors associated with shorter time to ART initiation were higher country income-level (upper-middle: sub-distribution hazard ratio [SHR] = 1.34, 95% CI: 1.28, 1.40; high: SHR = 1.35, 95% CI: 1.28, 1.43; vs. lower-middle); HIV transmission via male-to-male contact (SHR = 1.06, 95% CI: 1.02, 1.11) or injection drug use (SHR = 1.23, 95% CI: 1.09, 1.38; vs. heterosexual contact); and later years of HIV diagnosis (2016-2019: SHR = 1.33, 95% CI: 1.28, 1.38; ≥ 2020: SHR = 1.40, 95% CI: 1.33, 1.48; vs. 2013-2015). Those with higher CD4 counts had longer time to ART start (350-499 cells/µL: SHR = 0.76, 95% CI: 0.67, 0.86; > 500 cells/µL: SHR = 0.55, 95% CI: 0.49, 0.61; vs. CD4 < 200 cells/µL).

Conclusion: Time to ART initiation from HIV diagnosis decreased after 2016, aligning with evolving WHO guidelines, and did not appear to be impacted by COVID-19. Optimizing treatment initiation during the treat-all era is crucial, especially among those with higher CD4 counts.

Abstract Image

Abstract Image

Abstract Image

亚太地区成年艾滋病毒感染者从艾滋病毒诊断到抗逆转录病毒治疗的时间趋势(2013-2023年)
导言:关于世界卫生组织(WHO)指南变更和COVID-19对亚太地区抗逆转录病毒治疗启动的影响的数据仍然很少。本研究描述了2013年至2023年从HIV诊断到ART启动的时间趋势及其相关因素。方法:纳入2013年以后诊断为HIV的成人(≥18岁)的区域观察队列。Fine和Gray竞争风险回归检查了抗逆转录病毒治疗开始的预测因素(≥3种抗逆转录病毒药物),考虑了那些被认为是竞争风险的随访失败或治疗前死亡。结果:14968名参与者中,男性居多(70.1%),年龄中位数为36岁(四分位数间距[IQR]: 28-44)。在HIV诊断时,中位CD4计数为208个细胞/µL (IQR: 69-395),中位病毒载量为86,296拷贝/mL (IQR: 13,186-392,000)。超过85%的参与者在研究期间开始了抗逆转录病毒治疗。从HIV诊断到开始抗逆转录病毒治疗的中位时间在不同年份的HIV诊断中存在差异:51天(2013-2015年),28天(2016-2019年)和26天(≥2020年)。与较短的抗逆转录病毒治疗起始时间相关的因素是较高的国家收入水平(中上:子分布风险比[SHR] = 1.34, 95% CI: 1.28, 1.40;高:SHR = 1.35, 95% CI: 1.28, 1.43;与中下);HIV通过男-男接触传播(SHR = 1.06, 95% CI: 1.02, 1.11)或注射吸毒传播(SHR = 1.23, 95% CI: 1.09, 1.38;Vs.异性接触);2016-2019年:SHR = 1.33, 95% CI: 1.28, 1.38;≥2020年:SHR = 1.40, 95% CI: 1.33, 1.48;与2013 - 2015年)。CD4细胞计数较高的患者开始抗逆转录病毒治疗的时间较长(350-499个细胞/µL: SHR = 0.76, 95% CI: 0.67, 0.86;结论:根据世卫组织不断发展的指导方针,2016年之后,从艾滋病毒诊断到开始抗逆转录病毒治疗的时间有所减少,并且似乎没有受到COVID-19的影响。在全面治疗时期优化治疗起始是至关重要的,特别是在CD4细胞计数较高的患者中。
本文章由计算机程序翻译,如有差异,请以英文原文为准。
求助全文
约1分钟内获得全文 求助全文
来源期刊
AIDS Research and Therapy
AIDS Research and Therapy INFECTIOUS DISEASES-
CiteScore
3.80
自引率
4.50%
发文量
51
审稿时长
16 weeks
期刊介绍: AIDS Research and Therapy publishes articles on basic science, translational, clinical, social, epidemiological, behavioral and educational sciences articles focused on the treatment and prevention of HIV/AIDS, and the search for the cure. The Journal publishes articles on novel and developing treatment strategies for AIDS as well as on the outcomes of established treatment strategies. Original research articles on animal models that form an essential part of the AIDS treatment research are also considered
×
引用
GB/T 7714-2015
复制
MLA
复制
APA
复制
导出至
BibTeX EndNote RefMan NoteFirst NoteExpress
×
提示
您的信息不完整,为了账户安全,请先补充。
现在去补充
×
提示
您因"违规操作"
具体请查看互助需知
我知道了
×
提示
确定
请完成安全验证×
copy
已复制链接
快去分享给好友吧!
我知道了
右上角分享
点击右上角分享
0
联系我们:info@booksci.cn Book学术提供免费学术资源搜索服务,方便国内外学者检索中英文文献。致力于提供最便捷和优质的服务体验。 Copyright © 2023 布克学术 All rights reserved.
京ICP备2023020795号-1
ghs 京公网安备 11010802042870号
Book学术文献互助
Book学术文献互助群
群 号:604180095
Book学术官方微信