Development of Estimate Formulas for Appendicular Lean Mass Using Forearm Circumference in Older Adults Requiring Care.

Daisuke Takagi, Masatoshi Kageyama
{"title":"Development of Estimate Formulas for Appendicular Lean Mass Using Forearm Circumference in Older Adults Requiring Care.","authors":"Daisuke Takagi, Masatoshi Kageyama","doi":"10.22540/JFSF-10-001","DOIUrl":null,"url":null,"abstract":"<p><strong>Objectives: </strong>The use of forearm circumference (FC) in the estimation equation to predict appendicular lean mass (ALM) in older adults who require care remains unclear.</p><p><strong>Methods: </strong>This cross-sectional study targeted 132 participants aged ≥65 years requiring care. The ALM was measured with bioelectrical impedance analysis (BIA). Handgrip strength (HS) was measured with a digital hand dynamometer. FC was measured at the site of maximum swelling using a tape measure. Multiple regression analysis was conducted to develop an equation for estimating BIA-measured ALM using FC. Moreover, we investigated a systematic error by Bland-Altman analysis between BIA-measured ALM and ALM calculated by the estimation equation.</p><p><strong>Results: </strong>We developed the four estimation equations. The values of r, adjusted R<sup>2</sup>, and SEE in the representative model (FC + HS + age) were 0.86, 0.73, and 2.01 (kg), respectively (<i>p</i> < 0.05). In contrast, a systematic error was identified between the BIA-measured ALM and ALM calculated by the estimation equations by the Bland-Altman analysis.</p><p><strong>Conclusions: </strong>This study developed the formula using FC, which can predict ALM with less influence of edema, but it may over- or underestimate ALM in older adults requiring care.</p>","PeriodicalId":73754,"journal":{"name":"Journal of frailty, sarcopenia and falls","volume":"10 1","pages":"1-7"},"PeriodicalIF":0.0000,"publicationDate":"2025-03-01","publicationTypes":"Journal Article","fieldsOfStudy":null,"isOpenAccess":false,"openAccessPdf":"https://www.ncbi.nlm.nih.gov/pmc/articles/PMC11872251/pdf/","citationCount":"0","resultStr":null,"platform":"Semanticscholar","paperid":null,"PeriodicalName":"Journal of frailty, sarcopenia and falls","FirstCategoryId":"1085","ListUrlMain":"https://doi.org/10.22540/JFSF-10-001","RegionNum":0,"RegionCategory":null,"ArticlePicture":[],"TitleCN":null,"AbstractTextCN":null,"PMCID":null,"EPubDate":"","PubModel":"","JCR":"","JCRName":"","Score":null,"Total":0}
引用次数: 0

Abstract

Objectives: The use of forearm circumference (FC) in the estimation equation to predict appendicular lean mass (ALM) in older adults who require care remains unclear.

Methods: This cross-sectional study targeted 132 participants aged ≥65 years requiring care. The ALM was measured with bioelectrical impedance analysis (BIA). Handgrip strength (HS) was measured with a digital hand dynamometer. FC was measured at the site of maximum swelling using a tape measure. Multiple regression analysis was conducted to develop an equation for estimating BIA-measured ALM using FC. Moreover, we investigated a systematic error by Bland-Altman analysis between BIA-measured ALM and ALM calculated by the estimation equation.

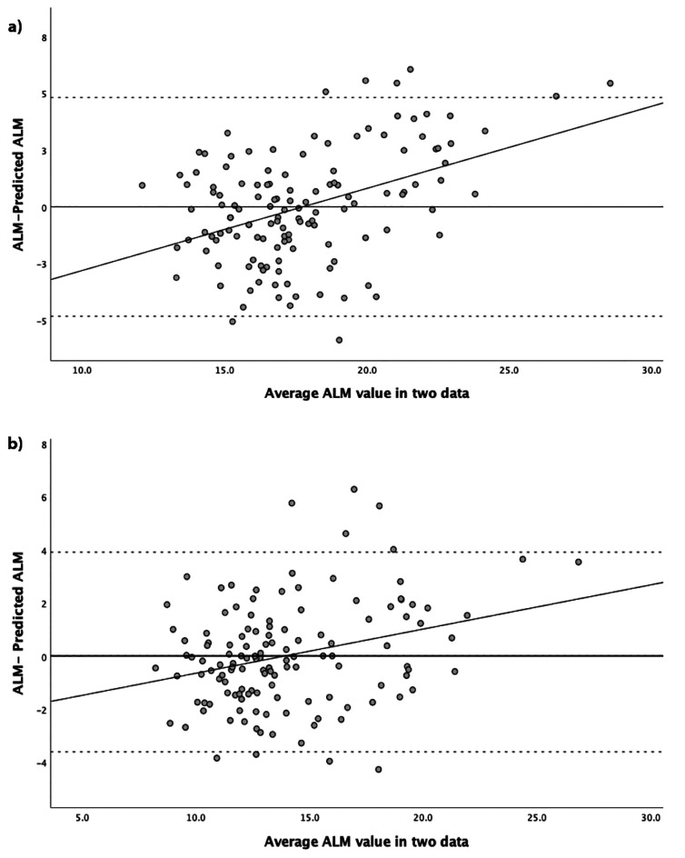
Results: We developed the four estimation equations. The values of r, adjusted R2, and SEE in the representative model (FC + HS + age) were 0.86, 0.73, and 2.01 (kg), respectively (p < 0.05). In contrast, a systematic error was identified between the BIA-measured ALM and ALM calculated by the estimation equations by the Bland-Altman analysis.

Conclusions: This study developed the formula using FC, which can predict ALM with less influence of edema, but it may over- or underestimate ALM in older adults requiring care.

Abstract Image

Abstract Image

需要护理的老年人用前臂围度估算阑尾瘦质量公式的发展。
目的:在估计方程中使用前臂围度(FC)来预测需要护理的老年人的阑尾瘦质量(ALM)尚不清楚。方法:本横断面研究针对132名年龄≥65岁需要护理的参与者。采用生物电阻抗分析法(BIA)测定ALM。用数字式手测力仪测量握力(HS)。在最大肿胀部位用卷尺测量FC。通过多元回归分析,建立了用FC估计bia测量的ALM的方程。此外,我们通过Bland-Altman分析研究了bia测量的ALM与估计方程计算的ALM之间的系统误差。结果:建立了四个估计方程。代表性模型(FC + HS + age)的r、调整后R2和SEE分别为0.86、0.73和2.01 (kg) (p < 0.05)。相比之下,bia测量的ALM与Bland-Altman分析估计方程计算的ALM之间存在系统误差。结论:本研究开发了使用FC的公式,该公式可以预测ALM,对水肿的影响较小,但在需要护理的老年人中可能会高估或低估ALM。
本文章由计算机程序翻译,如有差异,请以英文原文为准。
求助全文
约1分钟内获得全文 求助全文
来源期刊
自引率
0.00%
发文量
0
审稿时长
6 weeks
×
引用
GB/T 7714-2015
复制
MLA
复制
APA
复制
导出至
BibTeX EndNote RefMan NoteFirst NoteExpress
×
提示
您的信息不完整,为了账户安全,请先补充。
现在去补充
×
提示
您因"违规操作"
具体请查看互助需知
我知道了
×
提示
确定
请完成安全验证×
copy
已复制链接
快去分享给好友吧!
我知道了
右上角分享
点击右上角分享
0
联系我们:info@booksci.cn Book学术提供免费学术资源搜索服务,方便国内外学者检索中英文文献。致力于提供最便捷和优质的服务体验。 Copyright © 2023 布克学术 All rights reserved.
京ICP备2023020795号-1
ghs 京公网安备 11010802042870号
Book学术文献互助
Book学术文献互助群
群 号:604180095
Book学术官方微信