The impact of age at diagnosis on central lymph node metastasis in clinically low-risk papillary thyroid microcarcinoma patients.

IF 1.8 Q3 ENDOCRINOLOGY & METABOLISM
Yunhe Liu, Lida Liao, Dangui Yan, Jie Liu, Wensheng Liu, Shaoyan Liu, Hui Huang
{"title":"The impact of age at diagnosis on central lymph node metastasis in clinically low-risk papillary thyroid microcarcinoma patients.","authors":"Yunhe Liu, Lida Liao, Dangui Yan, Jie Liu, Wensheng Liu, Shaoyan Liu, Hui Huang","doi":"10.1186/s13044-025-00224-z","DOIUrl":null,"url":null,"abstract":"<p><strong>Background: </strong>Age is an independent risk factor for central lymph node metastasis (CLNM) in clinically negative lymph node (cN0) papillary thyroid microcarcinoma (PTMC) patients. The objective of this study was to investigate the impact of age on CLNM in clinically low-risk PTMC patients.</p><p><strong>Methods: </strong>A retrospective analysis was performed on patients with clinically low-risk PTMC who underwent surgery between January 2016 and December 2018. Logistic regression analysis was used to examine the impact of age on the risk of CLNM. The associations between age and pN1a and the lymph node ratio (LNR) were examined by a restricted cubic spline (RCS) curve with logistic regression models.</p><p><strong>Results: </strong>A total of 1352 patients (mean [range] age, 43[18-76] years; 325 males [24.0%]) were enrolled in this study. Logistic regression analysis revealed that age was a significant factor influencing the risk of CLNM (OR 0.95, 95% CI 0.94-0.96; p < 0.001). The RCS curve revealed a significant nonlinear association between age and pN1a status and the LNR. For patients under the age of 55, the risk of CLNM (OR 0.59, 95% CI 0.55-0.65, p < 0.001) and the LNR (beta - 0.23, 95% CI -0.27, -0.19, p < 0.001) significantly decreased as age increased. For patients aged ≥ 55 years, the risk of LNM (OR 1.03, 95% CI 0.81-1.32; p = 0.79) and the LNR (Beta - 0.03, 95% CI -0.07,0.13, p = 0.54) did not change with age.</p><p><strong>Conclusions: </strong>This study confirmed that age was a significant factor influencing the risk and severity of CLNM in patients with low-risk PTMC. The risk and severity of LNM were lowest in patients aged ≥ 55 years.</p>","PeriodicalId":39048,"journal":{"name":"Thyroid Research","volume":"18 1","pages":"6"},"PeriodicalIF":1.8000,"publicationDate":"2025-03-04","publicationTypes":"Journal Article","fieldsOfStudy":null,"isOpenAccess":false,"openAccessPdf":"https://www.ncbi.nlm.nih.gov/pmc/articles/PMC11877933/pdf/","citationCount":"0","resultStr":null,"platform":"Semanticscholar","paperid":null,"PeriodicalName":"Thyroid Research","FirstCategoryId":"1085","ListUrlMain":"https://doi.org/10.1186/s13044-025-00224-z","RegionNum":0,"RegionCategory":null,"ArticlePicture":[],"TitleCN":null,"AbstractTextCN":null,"PMCID":null,"EPubDate":"","PubModel":"","JCR":"Q3","JCRName":"ENDOCRINOLOGY & METABOLISM","Score":null,"Total":0}
引用次数: 0

Abstract

Background: Age is an independent risk factor for central lymph node metastasis (CLNM) in clinically negative lymph node (cN0) papillary thyroid microcarcinoma (PTMC) patients. The objective of this study was to investigate the impact of age on CLNM in clinically low-risk PTMC patients.

Methods: A retrospective analysis was performed on patients with clinically low-risk PTMC who underwent surgery between January 2016 and December 2018. Logistic regression analysis was used to examine the impact of age on the risk of CLNM. The associations between age and pN1a and the lymph node ratio (LNR) were examined by a restricted cubic spline (RCS) curve with logistic regression models.

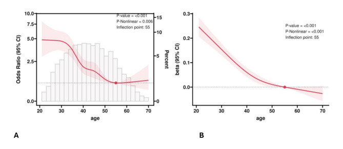
Results: A total of 1352 patients (mean [range] age, 43[18-76] years; 325 males [24.0%]) were enrolled in this study. Logistic regression analysis revealed that age was a significant factor influencing the risk of CLNM (OR 0.95, 95% CI 0.94-0.96; p < 0.001). The RCS curve revealed a significant nonlinear association between age and pN1a status and the LNR. For patients under the age of 55, the risk of CLNM (OR 0.59, 95% CI 0.55-0.65, p < 0.001) and the LNR (beta - 0.23, 95% CI -0.27, -0.19, p < 0.001) significantly decreased as age increased. For patients aged ≥ 55 years, the risk of LNM (OR 1.03, 95% CI 0.81-1.32; p = 0.79) and the LNR (Beta - 0.03, 95% CI -0.07,0.13, p = 0.54) did not change with age.

Conclusions: This study confirmed that age was a significant factor influencing the risk and severity of CLNM in patients with low-risk PTMC. The risk and severity of LNM were lowest in patients aged ≥ 55 years.

Abstract Image

诊断年龄对临床低危甲状腺乳头状小癌患者中央淋巴结转移的影响。
背景:年龄是临床淋巴结阴性(cN0)的甲状腺乳头状微癌(PTMC)患者发生中央淋巴结转移(CLNM)的独立危险因素。本研究旨在探讨年龄对临床低风险PTMC患者中央淋巴结转移的影响:对2016年1月至2018年12月期间接受手术的临床低风险PTMC患者进行回顾性分析。采用逻辑回归分析来研究年龄对CLNM风险的影响。通过受限立方样条曲线(RCS)与逻辑回归模型检验了年龄与pN1a和淋巴结比值(LNR)之间的关联:共有 1352 名患者(平均年龄[范围]43[18-76]岁;325 名男性[24.0%])参与了这项研究。逻辑回归分析显示,年龄是影响 CLNM 风险的重要因素(OR 0.95,95% CI 0.94-0.96;P 结论:该研究证实,年龄是影响 CLNM 风险的重要因素:本研究证实,年龄是影响低风险 PTMC 患者 CLNM 风险和严重程度的重要因素。年龄≥55岁的患者发生LNM的风险和严重程度最低。
本文章由计算机程序翻译,如有差异,请以英文原文为准。
求助全文
约1分钟内获得全文 求助全文
来源期刊
Thyroid Research
Thyroid Research Medicine-Endocrinology, Diabetes and Metabolism
CiteScore
3.10
自引率
4.50%
发文量
21
审稿时长
8 weeks
×
引用
GB/T 7714-2015
复制
MLA
复制
APA
复制
导出至
BibTeX EndNote RefMan NoteFirst NoteExpress
×
提示
您的信息不完整,为了账户安全,请先补充。
现在去补充
×
提示
您因"违规操作"
具体请查看互助需知
我知道了
×
提示
确定
请完成安全验证×
copy
已复制链接
快去分享给好友吧!
我知道了
右上角分享
点击右上角分享
0
联系我们:info@booksci.cn Book学术提供免费学术资源搜索服务,方便国内外学者检索中英文文献。致力于提供最便捷和优质的服务体验。 Copyright © 2023 布克学术 All rights reserved.
京ICP备2023020795号-1
ghs 京公网安备 11010802042870号
Book学术文献互助
Book学术文献互助群
群 号:604180095
Book学术官方微信