Impact of pilot public hospital reform on efficiencies: a DEA analysis of county hospitals in East China, 2009-2015.

IF 3.3 3区 经济学 Q1 ECONOMICS
Wei Jiang, Xuyan Lou, Qiulin Chen, Lina Song, Zhuo Chen
{"title":"Impact of pilot public hospital reform on efficiencies: a DEA analysis of county hospitals in East China, 2009-2015.","authors":"Wei Jiang, Xuyan Lou, Qiulin Chen, Lina Song, Zhuo Chen","doi":"10.1186/s13561-025-00600-3","DOIUrl":null,"url":null,"abstract":"<p><strong>Background: </strong>China started a pilot public hospital reform in 2012 to improve governance and efficiency in healthcare services delivery among county-level hospitals. This study aims to investigate the impact of the pilot reform on hospital efficiency and productivity by using a unique dataset of county hospitals in East China during 2009-2015.</p><p><strong>Methods: </strong>A three-stage approach is used. First, this study uses the output-oriented data envelopment analysis (DEA) to estimate hospital efficiency with variable returns to scale. Second, propensity score matching is used to address potential biases associated with the selection of counties for the pilot program. In the third stage, we assess the impact of the pilot reform on efficiency by using a Tobit Difference-in-Differences approach.</p><p><strong>Results: </strong>The average level of hospital efficiency for the whole sample experienced a rapid drop in 2013, then returned to a peak in 2014. Except in the reform year (2012), the overall hospital efficiency for the post-reform period is higher than that for the pre-reform period. The baseline model results show that the pilot reform is associated with a 3% decline in pure technical efficiency and a 2.3% increase in hospital scale efficiency, respectively. Our findings are robust when we apply bootstrapped DEA efficiency scores and use different specifications.</p><p><strong>Conclusion: </strong>The findings of this study suggest no improvements in overall hospital efficiency associated with the pilot reform, possibly due to the combined effects of inefficient governance and hospital scale expansion. This study suggests that further efforts are needed to increase county hospital performance by strengthening management and optimizing resource utiliziation.</p>","PeriodicalId":46936,"journal":{"name":"Health Economics Review","volume":"15 1","pages":"16"},"PeriodicalIF":3.3000,"publicationDate":"2025-03-03","publicationTypes":"Journal Article","fieldsOfStudy":null,"isOpenAccess":false,"openAccessPdf":"https://www.ncbi.nlm.nih.gov/pmc/articles/PMC11877939/pdf/","citationCount":"0","resultStr":null,"platform":"Semanticscholar","paperid":null,"PeriodicalName":"Health Economics Review","FirstCategoryId":"96","ListUrlMain":"https://doi.org/10.1186/s13561-025-00600-3","RegionNum":3,"RegionCategory":"经济学","ArticlePicture":[],"TitleCN":null,"AbstractTextCN":null,"PMCID":null,"EPubDate":"","PubModel":"","JCR":"Q1","JCRName":"ECONOMICS","Score":null,"Total":0}
引用次数: 0

Abstract

Background: China started a pilot public hospital reform in 2012 to improve governance and efficiency in healthcare services delivery among county-level hospitals. This study aims to investigate the impact of the pilot reform on hospital efficiency and productivity by using a unique dataset of county hospitals in East China during 2009-2015.

Methods: A three-stage approach is used. First, this study uses the output-oriented data envelopment analysis (DEA) to estimate hospital efficiency with variable returns to scale. Second, propensity score matching is used to address potential biases associated with the selection of counties for the pilot program. In the third stage, we assess the impact of the pilot reform on efficiency by using a Tobit Difference-in-Differences approach.

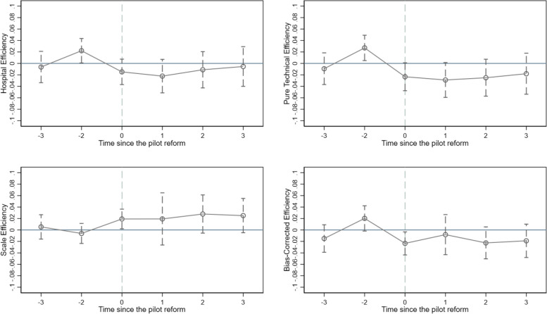
Results: The average level of hospital efficiency for the whole sample experienced a rapid drop in 2013, then returned to a peak in 2014. Except in the reform year (2012), the overall hospital efficiency for the post-reform period is higher than that for the pre-reform period. The baseline model results show that the pilot reform is associated with a 3% decline in pure technical efficiency and a 2.3% increase in hospital scale efficiency, respectively. Our findings are robust when we apply bootstrapped DEA efficiency scores and use different specifications.

Conclusion: The findings of this study suggest no improvements in overall hospital efficiency associated with the pilot reform, possibly due to the combined effects of inefficient governance and hospital scale expansion. This study suggests that further efforts are needed to increase county hospital performance by strengthening management and optimizing resource utiliziation.

Abstract Image

公立医院改革试点对效率的影响:2009-2015年华东地区县级医院的DEA分析
背景:中国于 2012 年开始试点公立医院改革,以改善县级医院的治理和医疗服务效率。本研究旨在利用 2009-2015 年期间华东地区县级医院的独特数据集,研究试点改革对医院效率和生产率的影响:方法:本研究采用三阶段方法。首先,本研究使用以产出为导向的数据包络分析法(DEA)来估计医院效率与规模收益的可变性。其次,采用倾向得分匹配法来解决试点项目选择县时可能出现的偏差。第三阶段,我们采用托比特差分法评估试点改革对效率的影响:整个样本的医院效率平均水平在 2013 年迅速下降,然后在 2014 年恢复到峰值。除改革年(2012 年)外,改革后医院的总体效率均高于改革前。基线模型结果显示,试点改革分别导致纯技术效率下降 3%,医院规模效率提高 2.3%。当我们应用自引导 DEA 效率得分并使用不同的规格时,我们的研究结果是稳健的:本研究的结果表明,试点改革并没有提高医院的整体效率,这可能是由于治理效率低下和医院规模扩大的综合影响。本研究表明,需要进一步努力通过加强管理和优化资源利用来提高县级医院的绩效。
本文章由计算机程序翻译,如有差异,请以英文原文为准。
求助全文
约1分钟内获得全文 求助全文
来源期刊
CiteScore
3.90
自引率
4.20%
发文量
59
审稿时长
13 weeks
期刊介绍: Health Economics Review is an international high-quality journal covering all fields of Health Economics. A broad range of theoretical contributions, empirical studies and analyses of health policy with a health economic focus will be considered for publication. Its scope includes macro- and microeconomics of health care financing, health insurance and reimbursement as well as health economic evaluation, health services research and health policy analysis. Further research topics are the individual and institutional aspects of health care management and the growing importance of health care in developing countries.
×
引用
GB/T 7714-2015
复制
MLA
复制
APA
复制
导出至
BibTeX EndNote RefMan NoteFirst NoteExpress
×
提示
您的信息不完整,为了账户安全,请先补充。
现在去补充
×
提示
您因"违规操作"
具体请查看互助需知
我知道了
×
提示
确定
请完成安全验证×
copy
已复制链接
快去分享给好友吧!
我知道了
右上角分享
点击右上角分享
0
联系我们:info@booksci.cn Book学术提供免费学术资源搜索服务,方便国内外学者检索中英文文献。致力于提供最便捷和优质的服务体验。 Copyright © 2023 布克学术 All rights reserved.
京ICP备2023020795号-1
ghs 京公网安备 11010802042870号
Book学术文献互助
Book学术文献互助群
群 号:604180095
Book学术官方微信