The efficacy and safety of continuous transmuscular quadratus lumborum block for postoperative analgesia after laparoscopic nephrectomy: A prospective randomized clinical trial.

IF 1.1 Q3 PHARMACOLOGY & PHARMACY
Kamlesh Kumari, Nidhi Jain, Darshana K Rathod, Rashmi Syal, Tanvi Meshram, Ankur Sharma, Manbir Kaur, Mahendra Singh, Pradeep Bhatia
{"title":"The efficacy and safety of continuous transmuscular quadratus lumborum block for postoperative analgesia after laparoscopic nephrectomy: A prospective randomized clinical trial.","authors":"Kamlesh Kumari, Nidhi Jain, Darshana K Rathod, Rashmi Syal, Tanvi Meshram, Ankur Sharma, Manbir Kaur, Mahendra Singh, Pradeep Bhatia","doi":"10.4103/joacp.joacp_469_23","DOIUrl":null,"url":null,"abstract":"<p><strong>Background and aims: </strong>Analgesic efficacy and safety of continuous catheter technique in transmuscular quadratus lumborum block (QLB3) for laparoscopic nephrectomy has not been studied. This study was planned to evaluate the efficacy and safety of ultrasound (US)-guided continuous QLB3 for postoperative analgesia after laparoscopic nephrectomy.</p><p><strong>Material and methods: </strong>In this randomized, open-label, single-centered trial, 64 patients belonging to the American Society of Anesthesiologists, physical status grade I and II, 18-65 years of age, scheduled for laparoscopic nephrectomy were included. Patients were randomized into the QLB group and the control group. After surgery, the QLB group received transmuscular QLB with a 0.4 mL/kg bolus of 0.25% ropivacaine and catheter insertion for continuous infusion of 0.25% ropivacaine at 0.1 mL/kg/h. Patients in both groups received fentanyl (0.5 μg/kg) as rescue analgesia by IV PCA pump.</p><p><strong>Results: </strong>The data of 30 patients in each group were analyzed. Total fentanyl consumption during the first 48 h postoperatively was significantly lower in the QLB group compared to the control group (mean ± SD; QLB group = 74.33 ± 32.75 μg; control group = 209.10 ± 52.04 μg) (<i>P</i> < 0.001). Postoperative NRS pain scores at rest and on movement were significantly lower in the QLB group compared to the control group at various time intervals up to 48 h postoperative (<i>P</i> < 0.05). No severe complications were seen in any of the patients.</p><p><strong>Conclusions: </strong>US-guided continuous catheter transmuscular QLB reduced postoperative opioid consumption by 64.45% and decreased NRS pain scores after laparoscopic nephrectomy without complications.</p>","PeriodicalId":14946,"journal":{"name":"Journal of Anaesthesiology, Clinical Pharmacology","volume":"41 1","pages":"158-163"},"PeriodicalIF":1.1000,"publicationDate":"2025-01-01","publicationTypes":"Journal Article","fieldsOfStudy":null,"isOpenAccess":false,"openAccessPdf":"https://www.ncbi.nlm.nih.gov/pmc/articles/PMC11867359/pdf/","citationCount":"0","resultStr":null,"platform":"Semanticscholar","paperid":null,"PeriodicalName":"Journal of Anaesthesiology, Clinical Pharmacology","FirstCategoryId":"1085","ListUrlMain":"https://doi.org/10.4103/joacp.joacp_469_23","RegionNum":0,"RegionCategory":null,"ArticlePicture":[],"TitleCN":null,"AbstractTextCN":null,"PMCID":null,"EPubDate":"2025/1/23 0:00:00","PubModel":"Epub","JCR":"Q3","JCRName":"PHARMACOLOGY & PHARMACY","Score":null,"Total":0}
引用次数: 0

Abstract

Background and aims: Analgesic efficacy and safety of continuous catheter technique in transmuscular quadratus lumborum block (QLB3) for laparoscopic nephrectomy has not been studied. This study was planned to evaluate the efficacy and safety of ultrasound (US)-guided continuous QLB3 for postoperative analgesia after laparoscopic nephrectomy.

Material and methods: In this randomized, open-label, single-centered trial, 64 patients belonging to the American Society of Anesthesiologists, physical status grade I and II, 18-65 years of age, scheduled for laparoscopic nephrectomy were included. Patients were randomized into the QLB group and the control group. After surgery, the QLB group received transmuscular QLB with a 0.4 mL/kg bolus of 0.25% ropivacaine and catheter insertion for continuous infusion of 0.25% ropivacaine at 0.1 mL/kg/h. Patients in both groups received fentanyl (0.5 μg/kg) as rescue analgesia by IV PCA pump.

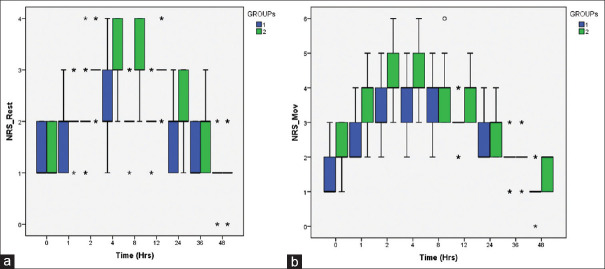
Results: The data of 30 patients in each group were analyzed. Total fentanyl consumption during the first 48 h postoperatively was significantly lower in the QLB group compared to the control group (mean ± SD; QLB group = 74.33 ± 32.75 μg; control group = 209.10 ± 52.04 μg) (P < 0.001). Postoperative NRS pain scores at rest and on movement were significantly lower in the QLB group compared to the control group at various time intervals up to 48 h postoperative (P < 0.05). No severe complications were seen in any of the patients.

Conclusions: US-guided continuous catheter transmuscular QLB reduced postoperative opioid consumption by 64.45% and decreased NRS pain scores after laparoscopic nephrectomy without complications.

Abstract Image

Abstract Image

Abstract Image

腹腔镜肾切除术后持续经肌腰四头肌阻滞术后镇痛的有效性和安全性:前瞻性随机临床试验。
背景和目的:尚未对腹腔镜肾切除术中经肌四腰肌阻滞(QLB3)的连续导管技术的镇痛效果和安全性进行研究。本研究计划评估超声(US)引导下连续QLB3用于腹腔镜肾切除术后镇痛的有效性和安全性:在这项随机、开放标签、单中心试验中,纳入了 64 名美国麻醉医师协会会员、身体状况 I 级和 II 级、18-65 岁、计划进行腹腔镜肾切除术的患者。患者被随机分为 QLB 组和对照组。手术后,QLB 组接受经肌 QLB,栓注 0.25% 罗哌卡因 0.4 mL/kg,并插入导管以 0.1 mL/kg/h 的速度持续输注 0.25% 罗哌卡因。两组患者均接受芬太尼(0.5 μg/kg)作为静脉 PCA 泵的解救性镇痛:对每组 30 名患者的数据进行了分析。与对照组相比,QLB 组术后 48 小时内的芬太尼总用量明显较低(平均值 ± SD;QLB 组 = 74.33 ± 32.75 μg;对照组 = 209.10 ± 52.04 μg)(P < 0.001)。与对照组相比,QLB 组在术后 48 小时内不同时间间隔的静息和运动时的 NRS 疼痛评分均显著降低(P < 0.05)。所有患者均未出现严重并发症:结论:腹腔镜肾切除术后,US引导连续导管经肌QLB可减少术后阿片类药物用量64.45%,降低NRS疼痛评分,且无并发症。
本文章由计算机程序翻译,如有差异,请以英文原文为准。
求助全文
约1分钟内获得全文 求助全文
来源期刊
CiteScore
1.90
自引率
6.70%
发文量
129
期刊介绍: The JOACP publishes original peer-reviewed research and clinical work in all branches of anaesthesiology, pain, critical care and perioperative medicine including the application to basic sciences. In addition, the journal publishes review articles, special articles, brief communications/reports, case reports, and reports of new equipment, letters to editor, book reviews and obituaries. It is international in scope and comprehensive in coverage.
×
引用
GB/T 7714-2015
复制
MLA
复制
APA
复制
导出至
BibTeX EndNote RefMan NoteFirst NoteExpress
×
提示
您的信息不完整,为了账户安全,请先补充。
现在去补充
×
提示
您因"违规操作"
具体请查看互助需知
我知道了
×
提示
确定
请完成安全验证×
copy
已复制链接
快去分享给好友吧!
我知道了
右上角分享
点击右上角分享
0
联系我们:info@booksci.cn Book学术提供免费学术资源搜索服务,方便国内外学者检索中英文文献。致力于提供最便捷和优质的服务体验。 Copyright © 2023 布克学术 All rights reserved.
京ICP备2023020795号-1
ghs 京公网安备 11010802042870号
Book学术文献互助
Book学术文献互助群
群 号:604180095
Book学术官方微信