Prognostic predictors of newly diagnosed Diffuse large B-cell lymphoma treated with R-THP-COP regimen.

IF 1.4 Q4 HEMATOLOGY
Yoshiaki Okano, Tatsuo Oyake, Sawako Kitamura, Kazuya Asano, Tsuyoshi Sato, Takahiro Maeta, Shinri Miyajima, Akihiro Otsu, Maki Nishiya, Ryousei Sasaki, Shugo Kowata, Yoji Ishida, Shigeki Ito
{"title":"Prognostic predictors of newly diagnosed Diffuse large B-cell lymphoma treated with R-THP-COP regimen.","authors":"Yoshiaki Okano, Tatsuo Oyake, Sawako Kitamura, Kazuya Asano, Tsuyoshi Sato, Takahiro Maeta, Shinri Miyajima, Akihiro Otsu, Maki Nishiya, Ryousei Sasaki, Shugo Kowata, Yoji Ishida, Shigeki Ito","doi":"10.3960/jslrt.24073","DOIUrl":null,"url":null,"abstract":"<p><p>The prognostic value of models such as the international prognostic index (IPI) in patients with malignant lymphomas treated with a combination of rituximab, doxorubicin, cyclophosphamide, vincristine, and prednisolone is well established. However, whether these prognostic models apply to patients treated with a combination of tetrahydropyranyl adriamycin, rituximab, cyclophosphamide, vincristine, and prednisolone (R-THP-COP) is unclear. This retrospective analysis included 101 patients with Diffuse large B-cell lymphoma (DLBCL) treated with R-THP-COP. The primary endpoint was overall survival (OS). The secondary endpoints were progression-free survival (PFS), complete response rate (CRR), and effectiveness of risk prediction in the IPI, revised international prognostic index (R-IPI), and National Comprehensive Cancer Network (NCCN)-IPI groups. OS and PFS at 5 years were 67% and 58.9%. CRR was 63.5%. The IPI, R-IPI, and NCCN-IPI predicted the outcomes of patients treated with R-THP-COP. According to the NCCN-IPI, OS and PFS could distinguish four risk groups. In conclusion, the NCCN-IPI is the most effective prognostic tool for identifying patients with poor prognosis, even those treated with R-THP-COP.</p>","PeriodicalId":45936,"journal":{"name":"Journal of Clinical and Experimental Hematopathology","volume":" ","pages":"49-54"},"PeriodicalIF":1.4000,"publicationDate":"2025-03-28","publicationTypes":"Journal Article","fieldsOfStudy":null,"isOpenAccess":false,"openAccessPdf":"https://www.ncbi.nlm.nih.gov/pmc/articles/PMC12051418/pdf/","citationCount":"0","resultStr":null,"platform":"Semanticscholar","paperid":null,"PeriodicalName":"Journal of Clinical and Experimental Hematopathology","FirstCategoryId":"1085","ListUrlMain":"https://doi.org/10.3960/jslrt.24073","RegionNum":0,"RegionCategory":null,"ArticlePicture":[],"TitleCN":null,"AbstractTextCN":null,"PMCID":null,"EPubDate":"","PubModel":"","JCR":"Q4","JCRName":"HEMATOLOGY","Score":null,"Total":0}
引用次数: 0

Abstract

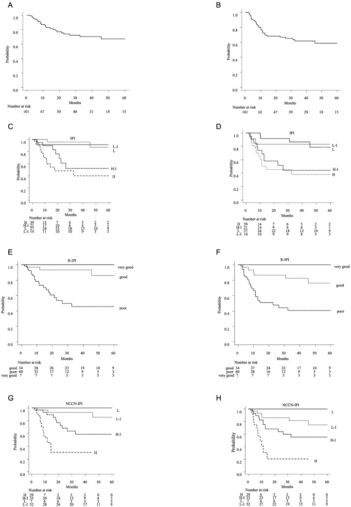
The prognostic value of models such as the international prognostic index (IPI) in patients with malignant lymphomas treated with a combination of rituximab, doxorubicin, cyclophosphamide, vincristine, and prednisolone is well established. However, whether these prognostic models apply to patients treated with a combination of tetrahydropyranyl adriamycin, rituximab, cyclophosphamide, vincristine, and prednisolone (R-THP-COP) is unclear. This retrospective analysis included 101 patients with Diffuse large B-cell lymphoma (DLBCL) treated with R-THP-COP. The primary endpoint was overall survival (OS). The secondary endpoints were progression-free survival (PFS), complete response rate (CRR), and effectiveness of risk prediction in the IPI, revised international prognostic index (R-IPI), and National Comprehensive Cancer Network (NCCN)-IPI groups. OS and PFS at 5 years were 67% and 58.9%. CRR was 63.5%. The IPI, R-IPI, and NCCN-IPI predicted the outcomes of patients treated with R-THP-COP. According to the NCCN-IPI, OS and PFS could distinguish four risk groups. In conclusion, the NCCN-IPI is the most effective prognostic tool for identifying patients with poor prognosis, even those treated with R-THP-COP.

Abstract Image

R-THP-COP方案治疗新诊断弥漫性大b细胞淋巴瘤的预后预测因素
国际预后指数(IPI)等模型在联合使用利妥昔单抗、阿霉素、环磷酰胺、长春新碱和强的松龙治疗的恶性淋巴瘤患者中的预后价值已经得到了很好的证实。然而,这些预后模型是否适用于联合使用阿霉素、利妥昔单抗、环磷酰胺、长春新碱和强的松龙(R-THP-COP)治疗的患者尚不清楚。本研究包括101例经R-THP-COP治疗的弥漫性大b细胞淋巴瘤(DLBCL)患者。主要终点是总生存期(OS)。次要终点是IPI、修订的国际预后指数(R-IPI)和国家综合癌症网络(NCCN)-IPI组的无进展生存期(PFS)、完全缓解率(CRR)和风险预测的有效性。5年OS和PFS分别为67%和58.9%。CRR为63.5%。IPI、R-IPI和NCCN-IPI预测R-THP-COP治疗患者的预后。根据NCCN-IPI, OS和PFS可以区分四个风险组。总之,NCCN-IPI是识别预后不良患者最有效的预后工具,即使是那些接受R-THP-COP治疗的患者。
本文章由计算机程序翻译,如有差异,请以英文原文为准。
求助全文
约1分钟内获得全文 求助全文
来源期刊
CiteScore
2.00
自引率
6.70%
发文量
25
审稿时长
11 weeks
×
引用
GB/T 7714-2015
复制
MLA
复制
APA
复制
导出至
BibTeX EndNote RefMan NoteFirst NoteExpress
×
提示
您的信息不完整,为了账户安全,请先补充。
现在去补充
×
提示
您因"违规操作"
具体请查看互助需知
我知道了
×
提示
确定
请完成安全验证×
copy
已复制链接
快去分享给好友吧!
我知道了
右上角分享
点击右上角分享
0
联系我们:info@booksci.cn Book学术提供免费学术资源搜索服务,方便国内外学者检索中英文文献。致力于提供最便捷和优质的服务体验。 Copyright © 2023 布克学术 All rights reserved.
京ICP备2023020795号-1
ghs 京公网安备 11010802042870号
Book学术文献互助
Book学术文献互助群
群 号:604180095
Book学术官方微信