Relationship between collider bias and interactions on the log-additive scale.

IF 1.9 3区 医学 Q3 HEALTH CARE SCIENCES & SERVICES
Statistical Methods in Medical Research Pub Date : 2025-06-01 Epub Date: 2025-03-02 DOI:10.1177/09622802241306860
Apostolos Gkatzionis, Shaun R Seaman, Rachael A Hughes, Kate Tilling
{"title":"Relationship between collider bias and interactions on the log-additive scale.","authors":"Apostolos Gkatzionis, Shaun R Seaman, Rachael A Hughes, Kate Tilling","doi":"10.1177/09622802241306860","DOIUrl":null,"url":null,"abstract":"<p><p>Collider bias occurs when conditioning on a common effect (collider) of two variables <math><mi>X</mi><mo>,</mo><mi>Y</mi></math>. In this article, we quantify the collider bias in the estimated association between exposure <math><mi>X</mi></math> and outcome <math><mi>Y</mi></math> induced by selecting on one value of a binary collider <math><mi>S</mi></math> of the exposure and the outcome. In the case of logistic regression, it is known that the magnitude of the collider bias in the exposure-outcome regression coefficient is proportional to the strength of interaction <math><msub><mi>δ</mi><mn>3</mn></msub></math> between <math><mi>X</mi></math> and <math><mi>Y</mi></math> in a log-additive model for the collider: <math><mrow><mi>P</mi></mrow><mo>(</mo><mi>S</mi><mo>=</mo><mn>1</mn><mrow><mo>|</mo></mrow><mi>X</mi><mo>,</mo><mi>Y</mi><mo>)</mo><mo>=</mo><mi>exp</mi><mspace></mspace><mrow><mo>{</mo><msub><mi>δ</mi><mn>0</mn></msub><mo>+</mo><msub><mi>δ</mi><mn>1</mn></msub><mi>X</mi><mo>+</mo><msub><mi>δ</mi><mn>2</mn></msub><mi>Y</mi><mo>+</mo><msub><mi>δ</mi><mn>3</mn></msub><mi>X</mi><mi>Y</mi><mo>}</mo></mrow></math>. We show that this result also holds under a linear or Poisson regression model for the exposure-outcome association. We then illustrate numerically that even if a log-additive model with interactions is not the true model for the collider, the interaction term in such a model is still informative about the magnitude of collider bias. Finally, we discuss the implications of these findings for methods that attempt to adjust for collider bias, such as inverse probability weighting which is often implemented without including interactions between variables in the weighting model.</p>","PeriodicalId":22038,"journal":{"name":"Statistical Methods in Medical Research","volume":" ","pages":"1063-1078"},"PeriodicalIF":1.9000,"publicationDate":"2025-06-01","publicationTypes":"Journal Article","fieldsOfStudy":null,"isOpenAccess":false,"openAccessPdf":"https://www.ncbi.nlm.nih.gov/pmc/articles/PMC12209546/pdf/","citationCount":"0","resultStr":null,"platform":"Semanticscholar","paperid":null,"PeriodicalName":"Statistical Methods in Medical Research","FirstCategoryId":"3","ListUrlMain":"https://doi.org/10.1177/09622802241306860","RegionNum":3,"RegionCategory":"医学","ArticlePicture":[],"TitleCN":null,"AbstractTextCN":null,"PMCID":null,"EPubDate":"2025/3/2 0:00:00","PubModel":"Epub","JCR":"Q3","JCRName":"HEALTH CARE SCIENCES & SERVICES","Score":null,"Total":0}
引用次数: 0

Abstract

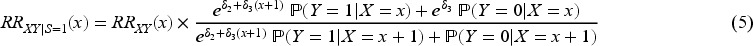
Collider bias occurs when conditioning on a common effect (collider) of two variables X,Y. In this article, we quantify the collider bias in the estimated association between exposure X and outcome Y induced by selecting on one value of a binary collider S of the exposure and the outcome. In the case of logistic regression, it is known that the magnitude of the collider bias in the exposure-outcome regression coefficient is proportional to the strength of interaction δ3 between X and Y in a log-additive model for the collider: P(S=1|X,Y)=exp{δ0+δ1X+δ2Y+δ3XY}. We show that this result also holds under a linear or Poisson regression model for the exposure-outcome association. We then illustrate numerically that even if a log-additive model with interactions is not the true model for the collider, the interaction term in such a model is still informative about the magnitude of collider bias. Finally, we discuss the implications of these findings for methods that attempt to adjust for collider bias, such as inverse probability weighting which is often implemented without including interactions between variables in the weighting model.

Abstract Image

Abstract Image

Abstract Image

对数加性尺度上对撞机偏差与相互作用的关系。
对撞机偏差发生在对两个变量X,Y的共同效应(对撞机)进行条件反射时。在本文中,我们通过选择暴露和结果的二进制对撞机S的一个值来量化估计暴露X和结果Y之间的关联中的对撞机偏差。在逻辑回归的情况下,众所周知,在对撞机的对数加性模型中,暴露-结果回归系数中对撞机偏差的大小与X和Y之间的相互作用δ3的强度成正比:P(S=1|X,Y)=exp{δ0+δ1X+δ2Y+δ3XY}。我们表明,这一结果在线性或泊松回归模型下也适用于暴露-结果关联。然后,我们用数值说明,即使具有相互作用的对数加性模型不是对撞机的真实模型,这种模型中的相互作用项仍然可以提供有关对撞机偏差大小的信息。最后,我们讨论了这些发现对试图调整对撞机偏差的方法的影响,例如逆概率加权,这通常在加权模型中不包括变量之间的相互作用。
本文章由计算机程序翻译,如有差异,请以英文原文为准。
求助全文
约1分钟内获得全文 求助全文
来源期刊
Statistical Methods in Medical Research
Statistical Methods in Medical Research 医学-数学与计算生物学
CiteScore
4.10
自引率
4.30%
发文量
127
审稿时长
>12 weeks
期刊介绍: Statistical Methods in Medical Research is a peer reviewed scholarly journal and is the leading vehicle for articles in all the main areas of medical statistics and an essential reference for all medical statisticians. This unique journal is devoted solely to statistics and medicine and aims to keep professionals abreast of the many powerful statistical techniques now available to the medical profession. This journal is a member of the Committee on Publication Ethics (COPE)
×
引用
GB/T 7714-2015
复制
MLA
复制
APA
复制
导出至
BibTeX EndNote RefMan NoteFirst NoteExpress
×
提示
您的信息不完整,为了账户安全,请先补充。
现在去补充
×
提示
您因"违规操作"
具体请查看互助需知
我知道了
×
提示
确定
请完成安全验证×
copy
已复制链接
快去分享给好友吧!
我知道了
右上角分享
点击右上角分享
0
联系我们:info@booksci.cn Book学术提供免费学术资源搜索服务,方便国内外学者检索中英文文献。致力于提供最便捷和优质的服务体验。 Copyright © 2023 布克学术 All rights reserved.
京ICP备2023020795号-1
ghs 京公网安备 11010802042870号
Book学术文献互助
Book学术文献互助群
群 号:604180095
Book学术官方微信