T1-relaxation times along the corticospinal tract as a diagnostic marker in patients with amyotrophic lateral sclerosis.

Frontiers in neuroimaging Pub Date : 2025-02-13 eCollection Date: 2025-01-01 DOI:10.3389/fnimg.2025.1549727
Fiona Dierksen, Johanna S Geibel, Janika Albrecht, Sabine Hofer, Peter Dechent, Amelie C Hesse, Jens Frahm, Mathias Bähr, Jan C Koch, Jan Liman, Ilko L Maier
{"title":"T1-relaxation times along the corticospinal tract as a diagnostic marker in patients with amyotrophic lateral sclerosis.","authors":"Fiona Dierksen, Johanna S Geibel, Janika Albrecht, Sabine Hofer, Peter Dechent, Amelie C Hesse, Jens Frahm, Mathias Bähr, Jan C Koch, Jan Liman, Ilko L Maier","doi":"10.3389/fnimg.2025.1549727","DOIUrl":null,"url":null,"abstract":"<p><strong>Background and purpose: </strong>In the differential diagnostic workup of amyotrophic lateral sclerosis (ALS), magnetic resonance imaging (MRI) is primarily used to rule out significant differential diagnoses. So far, whole-brain T1-mapping has not been assessed as a diagnostic tool in this patient population.</p><p><strong>Methods: </strong>We investigated the diagnostic potential of a novel T1-mapping method based on real-time MRI with 0.5 mm in-plane resolution and 4s acquisition time per slice. The study included patients aged 18 to 90 years who met the revised El Escorial criteria for at least possible ALS. T1-relaxation times were measured along the corticospinal tract in predefined regions of interest.</p><p><strong>Results: </strong>Twenty-nine ALS-patients and 43 control group patients (CG) were included in the study. Median ALS Functional Rating Scale revised (ALSFRS-R) was 37 (IQR, 35-44) points and the mean duration from symptom onset to MRI was 21 ± 17 (SD) months. ALS patients showed significantly higher T1-relaxation times in all ROIs compared to CG with mean differences in the hand knob of 50 ms (<i>p</i> < 0.001), corona radiata 24 ms (<i>p</i> = 0.034), internal capsule 27 ms (<i>p</i> = 0.002) and midbrain peduncles 48 ms (<i>p</i> < 0.001). There was a consistent negative correlation between the ALSFRS-R and T1-relaxation times in all ROIs.</p><p><strong>Conclusions: </strong>T1-relaxation times along the corticospinal tract are significantly elevated in ALS patients compared to CG and associated with lower ALSFRS-R. These results imply the analysis of T1-relaxation times as a promising diagnostic tool that can distinguish ALS patients from the control group. Ongoing longitudinal studies may provide deeper insights into disease progression and the effects of therapeutic interventions.</p>","PeriodicalId":73094,"journal":{"name":"Frontiers in neuroimaging","volume":"4 ","pages":"1549727"},"PeriodicalIF":0.0000,"publicationDate":"2025-02-13","publicationTypes":"Journal Article","fieldsOfStudy":null,"isOpenAccess":false,"openAccessPdf":"https://www.ncbi.nlm.nih.gov/pmc/articles/PMC11865248/pdf/","citationCount":"0","resultStr":null,"platform":"Semanticscholar","paperid":null,"PeriodicalName":"Frontiers in neuroimaging","FirstCategoryId":"1085","ListUrlMain":"https://doi.org/10.3389/fnimg.2025.1549727","RegionNum":0,"RegionCategory":null,"ArticlePicture":[],"TitleCN":null,"AbstractTextCN":null,"PMCID":null,"EPubDate":"2025/1/1 0:00:00","PubModel":"eCollection","JCR":"","JCRName":"","Score":null,"Total":0}
引用次数: 0

Abstract

Background and purpose: In the differential diagnostic workup of amyotrophic lateral sclerosis (ALS), magnetic resonance imaging (MRI) is primarily used to rule out significant differential diagnoses. So far, whole-brain T1-mapping has not been assessed as a diagnostic tool in this patient population.

Methods: We investigated the diagnostic potential of a novel T1-mapping method based on real-time MRI with 0.5 mm in-plane resolution and 4s acquisition time per slice. The study included patients aged 18 to 90 years who met the revised El Escorial criteria for at least possible ALS. T1-relaxation times were measured along the corticospinal tract in predefined regions of interest.

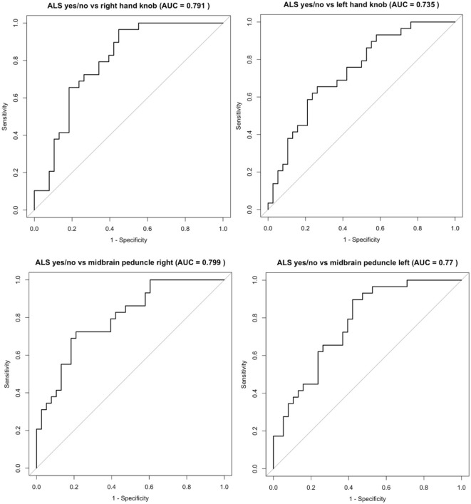
Results: Twenty-nine ALS-patients and 43 control group patients (CG) were included in the study. Median ALS Functional Rating Scale revised (ALSFRS-R) was 37 (IQR, 35-44) points and the mean duration from symptom onset to MRI was 21 ± 17 (SD) months. ALS patients showed significantly higher T1-relaxation times in all ROIs compared to CG with mean differences in the hand knob of 50 ms (p < 0.001), corona radiata 24 ms (p = 0.034), internal capsule 27 ms (p = 0.002) and midbrain peduncles 48 ms (p < 0.001). There was a consistent negative correlation between the ALSFRS-R and T1-relaxation times in all ROIs.

Conclusions: T1-relaxation times along the corticospinal tract are significantly elevated in ALS patients compared to CG and associated with lower ALSFRS-R. These results imply the analysis of T1-relaxation times as a promising diagnostic tool that can distinguish ALS patients from the control group. Ongoing longitudinal studies may provide deeper insights into disease progression and the effects of therapeutic interventions.

Abstract Image

Abstract Image

沿皮质脊髓束t1松弛时间作为肌萎缩性侧索硬化症患者的诊断标志。
背景与目的:在肌萎缩性侧索硬化症(ALS)的鉴别诊断中,磁共振成像(MRI)主要用于排除重要的鉴别诊断。到目前为止,全脑t1图谱尚未被评估为该患者群体的诊断工具。方法:我们研究了一种基于实时MRI的新型t1定位方法的诊断潜力,该方法面内分辨率为0.5 mm,每片采集时间为4s。该研究包括年龄在18岁至90岁之间的患者,他们至少符合修订的El Escorial标准,可能患有ALS。t1 -松弛时间沿皮质脊髓束在预定感兴趣的区域测量。结果:29例als患者和43例对照组(CG)纳入研究。ALS功能评定量表(ALSFRS-R)修订后的中位值为37 (IQR, 35-44)分,从症状出现到MRI平均持续时间为21±17 (SD)个月。与CG患者相比,ALS患者在所有ROIs上的t1 -松弛时间均显著增加,其中把手50 ms (p < 0.001),辐射冠24 ms (p = 0.034),内囊27 ms (p = 0.002),中脑蒂48 ms (p < 0.001)。所有roi的ALSFRS-R与t1 -松弛时间呈一致的负相关。结论:与CG相比,ALS患者沿皮质脊髓束的t1 -松弛时间显著增加,并与较低的ALSFRS-R相关。这些结果表明,分析t1松弛时间作为一种有前途的诊断工具,可以区分ALS患者和对照组。正在进行的纵向研究可能为疾病进展和治疗干预的效果提供更深入的见解。
本文章由计算机程序翻译,如有差异,请以英文原文为准。
求助全文
约1分钟内获得全文 求助全文
来源期刊
自引率
0.00%
发文量
0
×
引用
GB/T 7714-2015
复制
MLA
复制
APA
复制
导出至
BibTeX EndNote RefMan NoteFirst NoteExpress
×
提示
您的信息不完整,为了账户安全,请先补充。
现在去补充
×
提示
您因"违规操作"
具体请查看互助需知
我知道了
×
提示
确定
请完成安全验证×
copy
已复制链接
快去分享给好友吧!
我知道了
右上角分享
点击右上角分享
0
联系我们:info@booksci.cn Book学术提供免费学术资源搜索服务,方便国内外学者检索中英文文献。致力于提供最便捷和优质的服务体验。 Copyright © 2023 布克学术 All rights reserved.
京ICP备2023020795号-1
ghs 京公网安备 11010802042870号
Book学术文献互助
Book学术文献互助群
群 号:604180095
Book学术官方微信