Intra-individual variability of the human seminal plasma metabolome.

IF 2.7
Asian journal of andrology Pub Date : 2025-09-01 Epub Date: 2025-02-28 DOI:10.4103/aja2024110
Janet Blaurock, Sonja Grunewald, Kathrin M Engel
{"title":"Intra-individual variability of the human seminal plasma metabolome.","authors":"Janet Blaurock, Sonja Grunewald, Kathrin M Engel","doi":"10.4103/aja2024110","DOIUrl":null,"url":null,"abstract":"<p><strong>Abstract: </strong>In contrast to the conventional spermiogram, metabolomics approaches give insights into the molecular composition of semen and may provide more detailed information on the fertility status of the respective donor. Given the intra-individual variability of spermiogram parameters between two donations, this study sought to elucidate the biological variability of the seminal plasma metabolome over an average period of 8 weeks. Two time-shifted semen samples from 15 healthy donors were compared by a targeted metabolomics approach utilizing the Biocrates AbsoluteIDQ p180 kit. Next to intraclass correlation coefficients (ICC), which represent a measure of reliability, coefficients of variation within individuals (CVW) and coefficients of variation between individuals (CVB) were calculated for each metabolite to demonstrate its stability. Furthermore, men were divided into two cohorts, a similar sperm concentration (SSC) and a differing sperm concentration (DSC) cohort, based on the observed variance in sperm concentration between the two semen donations. The ICC was higher in the SSC compared to the DSC cohort. The levels of 18 metabolites, primarily acylcarnitines, varied between the initial and subsequent donations. After subdivision into subgroups, only ornithine and phosphatidylcholine 40:5 exhibited differential levels between the two donations in the SSC group, compared to 14 metabolites in the DSC group. CVB was higher than CVW but both differed between the metabolite subclasses. Biogenic amines were identified as the least reliable analytes over time, exhibiting the highest CVW, compared to sphingomyelins, which demonstrated the highest reliability with the lowest variation. CVB was the highest for ether-bound glycerophosphatidylcholines and the lowest for amino acids.</p>","PeriodicalId":93889,"journal":{"name":"Asian journal of andrology","volume":" ","pages":"586-591"},"PeriodicalIF":2.7000,"publicationDate":"2025-09-01","publicationTypes":"Journal Article","fieldsOfStudy":null,"isOpenAccess":false,"openAccessPdf":"https://www.ncbi.nlm.nih.gov/pmc/articles/PMC12422576/pdf/","citationCount":"0","resultStr":null,"platform":"Semanticscholar","paperid":null,"PeriodicalName":"Asian journal of andrology","FirstCategoryId":"1085","ListUrlMain":"https://doi.org/10.4103/aja2024110","RegionNum":0,"RegionCategory":null,"ArticlePicture":[],"TitleCN":null,"AbstractTextCN":null,"PMCID":null,"EPubDate":"2025/2/28 0:00:00","PubModel":"Epub","JCR":"","JCRName":"","Score":null,"Total":0}
引用次数: 0

Abstract

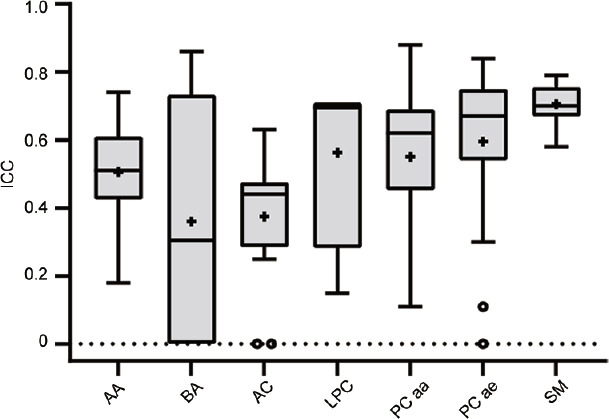
Abstract: In contrast to the conventional spermiogram, metabolomics approaches give insights into the molecular composition of semen and may provide more detailed information on the fertility status of the respective donor. Given the intra-individual variability of spermiogram parameters between two donations, this study sought to elucidate the biological variability of the seminal plasma metabolome over an average period of 8 weeks. Two time-shifted semen samples from 15 healthy donors were compared by a targeted metabolomics approach utilizing the Biocrates AbsoluteIDQ p180 kit. Next to intraclass correlation coefficients (ICC), which represent a measure of reliability, coefficients of variation within individuals (CVW) and coefficients of variation between individuals (CVB) were calculated for each metabolite to demonstrate its stability. Furthermore, men were divided into two cohorts, a similar sperm concentration (SSC) and a differing sperm concentration (DSC) cohort, based on the observed variance in sperm concentration between the two semen donations. The ICC was higher in the SSC compared to the DSC cohort. The levels of 18 metabolites, primarily acylcarnitines, varied between the initial and subsequent donations. After subdivision into subgroups, only ornithine and phosphatidylcholine 40:5 exhibited differential levels between the two donations in the SSC group, compared to 14 metabolites in the DSC group. CVB was higher than CVW but both differed between the metabolite subclasses. Biogenic amines were identified as the least reliable analytes over time, exhibiting the highest CVW, compared to sphingomyelins, which demonstrated the highest reliability with the lowest variation. CVB was the highest for ether-bound glycerophosphatidylcholines and the lowest for amino acids.

Abstract Image

Abstract Image

Abstract Image

人类精浆代谢组的个体差异性。
摘要:与传统的精子图谱相比,代谢组学方法可以深入了解精液的分子组成,并可能提供有关各自供体生育状况的更详细信息。考虑到两名捐献者精子图参数的个体内可变性,本研究试图阐明平均8周内精浆代谢组的生物学变异性。利用Biocrates AbsoluteIDQ p180试剂盒,采用靶向代谢组学方法对来自15名健康供者的两个时移精液样本进行比较。除了类内相关系数(ICC)之外,还计算了每个代谢物的个体内变异系数(CVW)和个体间变异系数(CVB),以证明其稳定性。此外,男性被分为两个队列,一个相似的精子浓度(SSC)和一个不同的精子浓度(DSC)队列,基于观察到的精子浓度在两个精液捐赠之间的差异。与DSC组相比,SSC组的ICC更高。18种代谢物的水平,主要是酰基肉碱,在最初和随后的捐赠中有所不同。在细分亚组后,只有鸟氨酸和磷脂酰胆碱40:5在SSC组两种供体之间表现出差异水平,而DSC组有14种代谢物。CVB高于CVW,但两者在代谢物亚类之间存在差异。随着时间的推移,生物胺被认为是最不可靠的分析物,表现出最高的CVW,而鞘磷脂则表现出最高的可靠性和最低的变化。CVB对醚结合甘油磷脂酰胆碱的影响最大,对氨基酸的影响最小。
本文章由计算机程序翻译,如有差异,请以英文原文为准。
求助全文
约1分钟内获得全文 求助全文
来源期刊
自引率
0.00%
发文量
0
×
引用
GB/T 7714-2015
复制
MLA
复制
APA
复制
导出至
BibTeX EndNote RefMan NoteFirst NoteExpress
×
提示
您的信息不完整,为了账户安全,请先补充。
现在去补充
×
提示
您因"违规操作"
具体请查看互助需知
我知道了
×
提示
确定
请完成安全验证×
copy
已复制链接
快去分享给好友吧!
我知道了
右上角分享
点击右上角分享
0
联系我们:info@booksci.cn Book学术提供免费学术资源搜索服务,方便国内外学者检索中英文文献。致力于提供最便捷和优质的服务体验。 Copyright © 2023 布克学术 All rights reserved.
京ICP备2023020795号-1
ghs 京公网安备 11010802042870号
Book学术文献互助
Book学术文献互助群
群 号:604180095
Book学术官方微信