Treatment persistence and clinical outcomes in patients starting B cell depleting therapies within the Swiss MS Cohort.

IF 2.3 Q2 CLINICAL NEUROLOGY
Giulio Disanto, Sabine Schaedelin, Johanna Oechtering, Johannes Lorscheider, Riccardo Galbusera, Sebastian Finkener, Lutz Achtnichts, Patrice Lalive, Stefanie Müller, Caroline Pot, Robert Hoepner, Anke Salmen, Chiara Zecca, Lars G Hemkens, Marcus D'Souza, Bettina Fischer-Barnicol, Renaud Du Pasquier, Patrick Roth, Özgür Yaldizli, Maximilian Einsiedler, Tobias Derfuss, Ludwig Kappos, Claudio Gobbi, Cristina Granziera, Marjolaine Uginet, Aleksandra Maleska Maceski, Keltie McDonald, David Leppert, Pascal Benkert, Jens Kuhle
{"title":"Treatment persistence and clinical outcomes in patients starting B cell depleting therapies within the Swiss MS Cohort.","authors":"Giulio Disanto, Sabine Schaedelin, Johanna Oechtering, Johannes Lorscheider, Riccardo Galbusera, Sebastian Finkener, Lutz Achtnichts, Patrice Lalive, Stefanie Müller, Caroline Pot, Robert Hoepner, Anke Salmen, Chiara Zecca, Lars G Hemkens, Marcus D'Souza, Bettina Fischer-Barnicol, Renaud Du Pasquier, Patrick Roth, Özgür Yaldizli, Maximilian Einsiedler, Tobias Derfuss, Ludwig Kappos, Claudio Gobbi, Cristina Granziera, Marjolaine Uginet, Aleksandra Maleska Maceski, Keltie McDonald, David Leppert, Pascal Benkert, Jens Kuhle","doi":"10.1177/20552173251315457","DOIUrl":null,"url":null,"abstract":"<p><strong>Background: </strong>Persistence to B cell depleting therapies (BCDT) like ocrelizumab and rituximab may be higher compared with other disease-modifying therapies (DMT) in multiple sclerosis (MS). Clinical trials directly comparing these treatments are lacking.</p><p><strong>Objective: </strong>To compare the risk of treatment discontinuation, relapse, and confirmed disability worsening in patients starting BCDT vs other DMT within real-world settings.</p><p><strong>Methods: </strong>In a longitudinal cohort study, patients with relapsing MS starting BCDT (ocrelizumab/rituximab, <i>n</i> = 269) after enrolment into the Swiss MS Cohort (SMSC) were evaluated for treatment discontinuation, occurrence of relapses, and disability worsening in comparison with platform (<i>n</i> = 57) and oral (<i>n</i> = 454) DMT, or natalizumab (<i>n</i> = 73) using Cox regression with double robust adjustment for baseline covariates.</p><p><strong>Results: </strong>Patients starting BCDT were less likely to discontinue treatment than all other DMT combined (HR = 0.26, 95% CI = 0.18-0.36, <i>p</i> < .01), oral DMT (HR = 0.28, 95% CI = 0.20-0.39, <i>p</i> < .01) and natalizumab (HR = 0.35, 95% CI = 0.21-0.58, <i>p</i> < .01). BCDT were associated with lower risk of relapses as compared to oral DMT HR = 0.59, 95% CI = 0.39-0.88, <i>p</i> < .01), but not to natalizumab (HR = 0.90, 95% CI = 0.45-1.82, <i>p</i> = .778). Disability worsening was not significantly different between treatment groups.</p><p><strong>Conclusion: </strong>We provide real-world evidence for patients being more persistent to BCDT than to other treatments, and better clinical outcomes may partly explain this.</p>","PeriodicalId":18961,"journal":{"name":"Multiple Sclerosis Journal - Experimental, Translational and Clinical","volume":"11 1","pages":"20552173251315457"},"PeriodicalIF":2.3000,"publicationDate":"2025-02-26","publicationTypes":"Journal Article","fieldsOfStudy":null,"isOpenAccess":false,"openAccessPdf":"https://www.ncbi.nlm.nih.gov/pmc/articles/PMC11866361/pdf/","citationCount":"0","resultStr":null,"platform":"Semanticscholar","paperid":null,"PeriodicalName":"Multiple Sclerosis Journal - Experimental, Translational and Clinical","FirstCategoryId":"1085","ListUrlMain":"https://doi.org/10.1177/20552173251315457","RegionNum":0,"RegionCategory":null,"ArticlePicture":[],"TitleCN":null,"AbstractTextCN":null,"PMCID":null,"EPubDate":"2025/1/1 0:00:00","PubModel":"eCollection","JCR":"Q2","JCRName":"CLINICAL NEUROLOGY","Score":null,"Total":0}
引用次数: 0

Abstract

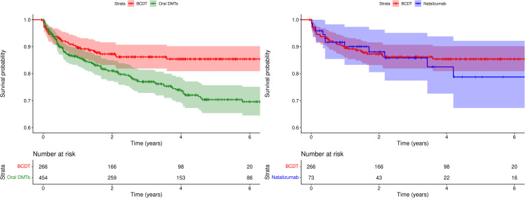
Background: Persistence to B cell depleting therapies (BCDT) like ocrelizumab and rituximab may be higher compared with other disease-modifying therapies (DMT) in multiple sclerosis (MS). Clinical trials directly comparing these treatments are lacking.

Objective: To compare the risk of treatment discontinuation, relapse, and confirmed disability worsening in patients starting BCDT vs other DMT within real-world settings.

Methods: In a longitudinal cohort study, patients with relapsing MS starting BCDT (ocrelizumab/rituximab, n = 269) after enrolment into the Swiss MS Cohort (SMSC) were evaluated for treatment discontinuation, occurrence of relapses, and disability worsening in comparison with platform (n = 57) and oral (n = 454) DMT, or natalizumab (n = 73) using Cox regression with double robust adjustment for baseline covariates.

Results: Patients starting BCDT were less likely to discontinue treatment than all other DMT combined (HR = 0.26, 95% CI = 0.18-0.36, p < .01), oral DMT (HR = 0.28, 95% CI = 0.20-0.39, p < .01) and natalizumab (HR = 0.35, 95% CI = 0.21-0.58, p < .01). BCDT were associated with lower risk of relapses as compared to oral DMT HR = 0.59, 95% CI = 0.39-0.88, p < .01), but not to natalizumab (HR = 0.90, 95% CI = 0.45-1.82, p = .778). Disability worsening was not significantly different between treatment groups.

Conclusion: We provide real-world evidence for patients being more persistent to BCDT than to other treatments, and better clinical outcomes may partly explain this.

Abstract Image

Abstract Image

Abstract Image

瑞士多发性硬化症队列中开始B细胞消耗疗法的患者的治疗持久性和临床结果
背景:与其他疾病改善疗法(DMT)相比,在多发性硬化症(MS)中,B细胞消耗疗法(BCDT)如ocrelizumab和rituximab的持久性可能更高。目前还缺乏直接比较这些治疗方法的临床试验。目的:比较现实环境中开始BCDT和其他DMT的患者停药、复发和确认残疾恶化的风险。方法:在一项纵向队列研究中,加入瑞士MS队列(SMSC)的复发性MS患者开始使用BCDT (ocrelizumab/rituximab, n = 269),与平台(n = 57)和口服(n = 454) DMT或natalizumab (n = 73)相比,使用Cox回归评估治疗中断、复发发生和残疾恶化情况。结果:开始BCDT治疗的患者停止治疗的可能性低于所有其他DMT联合治疗(HR = 0.26, 95% CI = 0.18-0.36, p p p p = .778)。治疗组间残疾恶化无显著差异。结论:我们提供了BCDT患者比其他治疗更持久的现实证据,更好的临床结果可能部分解释了这一点。
本文章由计算机程序翻译,如有差异,请以英文原文为准。
求助全文
约1分钟内获得全文 求助全文
来源期刊
CiteScore
4.70
自引率
0.00%
发文量
54
审稿时长
15 weeks
×
引用
GB/T 7714-2015
复制
MLA
复制
APA
复制
导出至
BibTeX EndNote RefMan NoteFirst NoteExpress
×
提示
您的信息不完整,为了账户安全,请先补充。
现在去补充
×
提示
您因"违规操作"
具体请查看互助需知
我知道了
×
提示
确定
请完成安全验证×
copy
已复制链接
快去分享给好友吧!
我知道了
右上角分享
点击右上角分享
0
联系我们:info@booksci.cn Book学术提供免费学术资源搜索服务,方便国内外学者检索中英文文献。致力于提供最便捷和优质的服务体验。 Copyright © 2023 布克学术 All rights reserved.
京ICP备2023020795号-1
ghs 京公网安备 11010802042870号
Book学术文献互助
Book学术文献互助群
群 号:604180095
Book学术官方微信