Neutrophils Display Novel Partners of Cytosolic Proliferating Cell Nuclear Antigen Involved in Interferon Response in COVID-19 Patients.

IF 3 3区 医学 Q2 IMMUNOLOGY
Journal of Innate Immunity Pub Date : 2025-01-01 Epub Date: 2025-02-27 DOI:10.1159/000543633
Lucie Pesenti, Rodrigo de Oliveira Formiga, Nicola Tamassia, Elisa Gardiman, François Chable de La Héronnière, Sara Gasperini, Johana Chicher, Lauriane Kuhn, Philippe Hammann, Morgane Le Gall, Giovanni Saraceni-Tasso, Clémence Martin, Anne Hosmalin, Magali Breckler, Roxane Hervé, Patrice Decker, Maha Zohra Ladjemi, Frédéric Pène, Pierre-Régis Burgel, Marco A Cassatella, Véronique Witko-Sarsat
{"title":"Neutrophils Display Novel Partners of Cytosolic Proliferating Cell Nuclear Antigen Involved in Interferon Response in COVID-19 Patients.","authors":"Lucie Pesenti, Rodrigo de Oliveira Formiga, Nicola Tamassia, Elisa Gardiman, François Chable de La Héronnière, Sara Gasperini, Johana Chicher, Lauriane Kuhn, Philippe Hammann, Morgane Le Gall, Giovanni Saraceni-Tasso, Clémence Martin, Anne Hosmalin, Magali Breckler, Roxane Hervé, Patrice Decker, Maha Zohra Ladjemi, Frédéric Pène, Pierre-Régis Burgel, Marco A Cassatella, Véronique Witko-Sarsat","doi":"10.1159/000543633","DOIUrl":null,"url":null,"abstract":"<p><strong>Introduction: </strong>Neutrophils are key players in the hyperinflammatory response during SARS-CoV-2 infection. The cytosolic proliferating cell nuclear antigen (PCNA) is a scaffolding protein highly dependent on the microenvironment status and known to interact with numerous proteins that regulate neutrophil functions. This study aimed to examine the cytosolic protein content and PCNA interactome in neutrophils from COVID-19 patients.</p><p><strong>Methods: </strong>Proteomic analyses were performed on neutrophil cytosols from healthy donors and patients with severe or critical COVID-19. In vitro approaches were used to explore the biological significance of the COVID-19-specific PCNA interactome.</p><p><strong>Results: </strong>Neutrophil cytosol analysis revealed a strong interferon (IFN) protein signature, with variations according to disease severity. Interactome analysis identified associations of PCNA with proteins involved in interferon signaling, cytoskeletal organization, and neutrophil extracellular trap (NET) formation, such as protein arginine deiminase type-4 (PADI4) and histone H3, particularly in critical patients. Functional studies of interferon signaling showed that T2AA, a PCNA scaffold inhibitor, downregulated IFN-related genes, including STAT1, MX1, IFIT1, and IFIT2 in neutrophils. Additionally, T2AA specifically inhibited the secretion of CXCL10, an IFN-dependent cytokine. PCNA was also found to interact with key effector proteins implicated in NET formation, such as histone H3, especially in critical COVID-19 cases.</p><p><strong>Conclusion: </strong>The analysis of the PCNA interactome has unveiled new protein partners that enhance the interferon pathway, thereby modulating immune responses and contributing to hyperinflammation in COVID-19. These findings provide valuable insights into interferon dysregulation in other immune-related conditions.</p><p><strong>Introduction: </strong>Neutrophils are key players in the hyperinflammatory response during SARS-CoV-2 infection. The cytosolic proliferating cell nuclear antigen (PCNA) is a scaffolding protein highly dependent on the microenvironment status and known to interact with numerous proteins that regulate neutrophil functions. This study aimed to examine the cytosolic protein content and PCNA interactome in neutrophils from COVID-19 patients.</p><p><strong>Methods: </strong>Proteomic analyses were performed on neutrophil cytosols from healthy donors and patients with severe or critical COVID-19. In vitro approaches were used to explore the biological significance of the COVID-19-specific PCNA interactome.</p><p><strong>Results: </strong>Neutrophil cytosol analysis revealed a strong interferon (IFN) protein signature, with variations according to disease severity. Interactome analysis identified associations of PCNA with proteins involved in interferon signaling, cytoskeletal organization, and neutrophil extracellular trap (NET) formation, such as protein arginine deiminase type-4 (PADI4) and histone H3, particularly in critical patients. Functional studies of interferon signaling showed that T2AA, a PCNA scaffold inhibitor, downregulated IFN-related genes, including STAT1, MX1, IFIT1, and IFIT2 in neutrophils. Additionally, T2AA specifically inhibited the secretion of CXCL10, an IFN-dependent cytokine. PCNA was also found to interact with key effector proteins implicated in NET formation, such as histone H3, especially in critical COVID-19 cases.</p><p><strong>Conclusion: </strong>The analysis of the PCNA interactome has unveiled new protein partners that enhance the interferon pathway, thereby modulating immune responses and contributing to hyperinflammation in COVID-19. These findings provide valuable insights into interferon dysregulation in other immune-related conditions.</p>","PeriodicalId":16113,"journal":{"name":"Journal of Innate Immunity","volume":"17 1","pages":"154-175"},"PeriodicalIF":3.0000,"publicationDate":"2025-01-01","publicationTypes":"Journal Article","fieldsOfStudy":null,"isOpenAccess":false,"openAccessPdf":"https://www.ncbi.nlm.nih.gov/pmc/articles/PMC11867639/pdf/","citationCount":"0","resultStr":null,"platform":"Semanticscholar","paperid":null,"PeriodicalName":"Journal of Innate Immunity","FirstCategoryId":"3","ListUrlMain":"https://doi.org/10.1159/000543633","RegionNum":3,"RegionCategory":"医学","ArticlePicture":[],"TitleCN":null,"AbstractTextCN":null,"PMCID":null,"EPubDate":"2025/2/27 0:00:00","PubModel":"Epub","JCR":"Q2","JCRName":"IMMUNOLOGY","Score":null,"Total":0}
引用次数: 0

Abstract

Introduction: Neutrophils are key players in the hyperinflammatory response during SARS-CoV-2 infection. The cytosolic proliferating cell nuclear antigen (PCNA) is a scaffolding protein highly dependent on the microenvironment status and known to interact with numerous proteins that regulate neutrophil functions. This study aimed to examine the cytosolic protein content and PCNA interactome in neutrophils from COVID-19 patients.

Methods: Proteomic analyses were performed on neutrophil cytosols from healthy donors and patients with severe or critical COVID-19. In vitro approaches were used to explore the biological significance of the COVID-19-specific PCNA interactome.

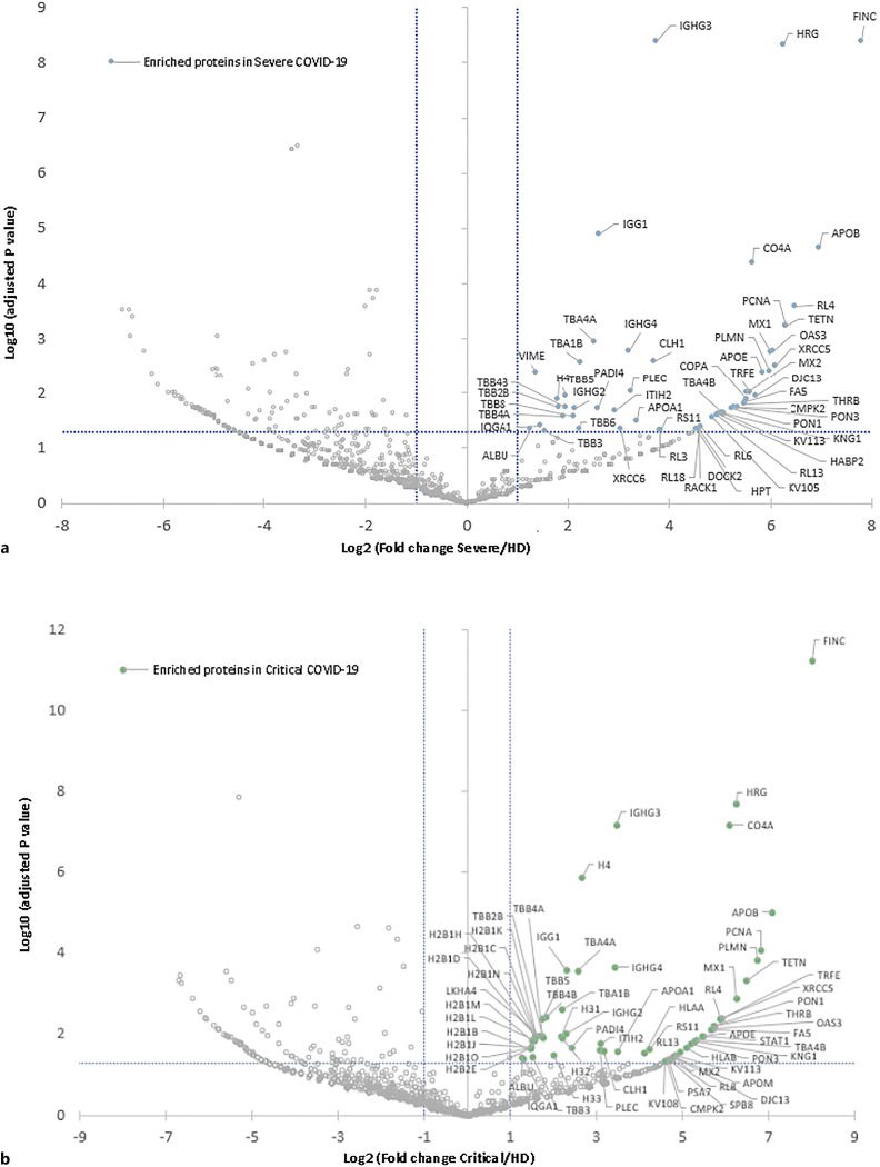
Results: Neutrophil cytosol analysis revealed a strong interferon (IFN) protein signature, with variations according to disease severity. Interactome analysis identified associations of PCNA with proteins involved in interferon signaling, cytoskeletal organization, and neutrophil extracellular trap (NET) formation, such as protein arginine deiminase type-4 (PADI4) and histone H3, particularly in critical patients. Functional studies of interferon signaling showed that T2AA, a PCNA scaffold inhibitor, downregulated IFN-related genes, including STAT1, MX1, IFIT1, and IFIT2 in neutrophils. Additionally, T2AA specifically inhibited the secretion of CXCL10, an IFN-dependent cytokine. PCNA was also found to interact with key effector proteins implicated in NET formation, such as histone H3, especially in critical COVID-19 cases.

Conclusion: The analysis of the PCNA interactome has unveiled new protein partners that enhance the interferon pathway, thereby modulating immune responses and contributing to hyperinflammation in COVID-19. These findings provide valuable insights into interferon dysregulation in other immune-related conditions.

Introduction: Neutrophils are key players in the hyperinflammatory response during SARS-CoV-2 infection. The cytosolic proliferating cell nuclear antigen (PCNA) is a scaffolding protein highly dependent on the microenvironment status and known to interact with numerous proteins that regulate neutrophil functions. This study aimed to examine the cytosolic protein content and PCNA interactome in neutrophils from COVID-19 patients.

Methods: Proteomic analyses were performed on neutrophil cytosols from healthy donors and patients with severe or critical COVID-19. In vitro approaches were used to explore the biological significance of the COVID-19-specific PCNA interactome.

Results: Neutrophil cytosol analysis revealed a strong interferon (IFN) protein signature, with variations according to disease severity. Interactome analysis identified associations of PCNA with proteins involved in interferon signaling, cytoskeletal organization, and neutrophil extracellular trap (NET) formation, such as protein arginine deiminase type-4 (PADI4) and histone H3, particularly in critical patients. Functional studies of interferon signaling showed that T2AA, a PCNA scaffold inhibitor, downregulated IFN-related genes, including STAT1, MX1, IFIT1, and IFIT2 in neutrophils. Additionally, T2AA specifically inhibited the secretion of CXCL10, an IFN-dependent cytokine. PCNA was also found to interact with key effector proteins implicated in NET formation, such as histone H3, especially in critical COVID-19 cases.

Conclusion: The analysis of the PCNA interactome has unveiled new protein partners that enhance the interferon pathway, thereby modulating immune responses and contributing to hyperinflammation in COVID-19. These findings provide valuable insights into interferon dysregulation in other immune-related conditions.

Abstract Image

Abstract Image

Abstract Image

中性粒细胞显示参与COVID-19患者干扰素反应的细胞质增殖细胞核抗原的新伙伴
导言中性粒细胞是 SARS-CoV-2 感染期间高炎症反应的关键参与者。细胞膜增殖细胞核抗原(PCNA)是一种高度依赖于微环境状态的支架蛋白,已知它与许多调节中性粒细胞功能的蛋白质相互作用。本研究旨在检测 COVID-19 患者中性粒细胞的细胞膜蛋白含量和 PCNA 相互作用组:方法:对健康供体和严重或危重 COVID-19 患者的中性粒细胞胞浆进行蛋白质组学分析。采用体外方法探索 COVID-19 特异性 PCNA 相互作用组的生物学意义:结果:中性粒细胞胞体分析显示了一个强大的干扰素(IFN)蛋白特征,该特征随疾病严重程度而变化。相互作用组分析发现了PCNA与参与干扰素信号转导、细胞骨架组织和中性粒细胞胞外陷阱(NET)形成的蛋白质的关联,如精氨酸脱氨酶4型(PADI4)和组蛋白H3,尤其是在危重患者中。对干扰素信号传导的功能研究表明,T2AA 是一种 PCNA 支架抑制剂,它能下调中性粒细胞中与 IFN 相关的基因,包括 STAT1、MX1、IFIT1 和 IFIT2。此外,T2AA 还能特异性抑制 IFN 依赖性细胞因子 CXCL10 的分泌。研究还发现,PCNA与组蛋白H3等与NET形成有关的关键效应蛋白相互作用,尤其是在COVID-19危重病例中:PCNA相互作用组的分析揭示了增强干扰素通路的新蛋白伙伴,从而调节了COVID-19的免疫反应并导致了高炎症反应。这些发现为了解干扰素在其他免疫相关疾病中的失调提供了有价值的见解:中性粒细胞是 SARS-CoV-2 感染期间高炎症反应的关键参与者。细胞膜增殖细胞核抗原(PCNA)是一种高度依赖于微环境状态的支架蛋白,已知它与许多调节中性粒细胞功能的蛋白质相互作用。本研究旨在检测 COVID-19 患者中性粒细胞的细胞膜蛋白含量和 PCNA 相互作用组:方法:对健康供体和严重或危重 COVID-19 患者的中性粒细胞胞浆进行蛋白质组学分析。采用体外方法探索 COVID-19 特异性 PCNA 相互作用组的生物学意义:结果:中性粒细胞胞体分析显示了一个强大的干扰素(IFN)蛋白特征,该特征随疾病严重程度而变化。相互作用组分析发现了PCNA与参与干扰素信号转导、细胞骨架组织和中性粒细胞胞外陷阱(NET)形成的蛋白质的关联,如精氨酸脱氨酶4型(PADI4)和组蛋白H3,尤其是在危重患者中。对干扰素信号传导的功能研究表明,T2AA 是一种 PCNA 支架抑制剂,它能下调中性粒细胞中与 IFN 相关的基因,包括 STAT1、MX1、IFIT1 和 IFIT2。此外,T2AA 还能特异性抑制 IFN 依赖性细胞因子 CXCL10 的分泌。研究还发现,PCNA与组蛋白H3等与NET形成有关的关键效应蛋白相互作用,尤其是在COVID-19危重病例中:PCNA相互作用组的分析揭示了增强干扰素通路的新蛋白伙伴,从而调节了COVID-19的免疫反应并导致了高炎症反应。这些发现为了解其他免疫相关疾病中的干扰素失调提供了宝贵的视角。
本文章由计算机程序翻译,如有差异,请以英文原文为准。
求助全文
约1分钟内获得全文 求助全文
来源期刊
Journal of Innate Immunity
Journal of Innate Immunity 医学-免疫学
CiteScore
10.50
自引率
1.90%
发文量
35
审稿时长
7.5 months
期刊介绍: The ''Journal of Innate Immunity'' is a bimonthly journal covering all aspects within the area of innate immunity, including evolution of the immune system, molecular biology of cells involved in innate immunity, pattern recognition and signals of ‘danger’, microbial corruption, host response and inflammation, mucosal immunity, complement and coagulation, sepsis and septic shock, molecular genomics, and development of immunotherapies. The journal publishes original research articles, short communications, reviews, commentaries and letters to the editors. In addition to regular papers, some issues feature a special section with a thematic focus.
×
引用
GB/T 7714-2015
复制
MLA
复制
APA
复制
导出至
BibTeX EndNote RefMan NoteFirst NoteExpress
×
提示
您的信息不完整,为了账户安全,请先补充。
现在去补充
×
提示
您因"违规操作"
具体请查看互助需知
我知道了
×
提示
确定
请完成安全验证×
copy
已复制链接
快去分享给好友吧!
我知道了
右上角分享
点击右上角分享
0
联系我们:info@booksci.cn Book学术提供免费学术资源搜索服务,方便国内外学者检索中英文文献。致力于提供最便捷和优质的服务体验。 Copyright © 2023 布克学术 All rights reserved.
京ICP备2023020795号-1
ghs 京公网安备 11010802042870号
Book学术文献互助
Book学术文献互助群
群 号:604180095
Book学术官方微信