Association of the systemic immune-inflammation index with clinical outcomes in acute myocardial infarction patients with hypertension.

IF 2.7 4区 医学 Q3 IMMUNOLOGY
Tingting Zheng, Chaodi Luo, Suining Xu, Xiyang Li, Gang Tian
{"title":"Association of the systemic immune-inflammation index with clinical outcomes in acute myocardial infarction patients with hypertension.","authors":"Tingting Zheng, Chaodi Luo, Suining Xu, Xiyang Li, Gang Tian","doi":"10.1186/s12865-025-00690-y","DOIUrl":null,"url":null,"abstract":"<p><strong>Background: </strong>A new indicator of immunological and inflammatory condition, the Systemic Immunoinflammatory Index (SII), has been linked to a bad prognosis in a number of disorders.</p><p><strong>Methods: </strong>Two thousand three hundred seventeen ICU patients were admitted with hypertension and acute myocardial infarction (AMI). Patients were grouped according to their baseline SII tertile number into Q1, Q2, and Q3 groups. The main outcomes were death from all causes at 30 days, 365 days, cardiogenic shock, and congestive heart failure.</p><p><strong>Results: </strong>The case fatality rate increases with increasing SII. The correlation between SII and 30-day all-cause mortality [hazard ratio (HR) 1.765, 95% confidence interval (CI) 1.330-2.343 (Q3 versus Q1 group)], 365-day all-cause mortality [HR 2.713, 95% CI 2.250-3.272 (Q3 versus Q1 group), HR 1.603, 95% CI 1.312-1.959 (Q3 vs. Q1 group)], congestive heart failure [odds ratio (OR) 1.255, 95% CI 1.006-1.565 (Q2 vs. Q1 group), OR 1.565, 95% CI 1.220-2.009 (Q3 vs. Q1 group)] and cardiogenic shock [OR 1.930. 95% CI 1.271-2.974 (Q2 vs. Q1 group)] were all validated. According to subgroup analysis, individuals who had chosen to have CABG surgery had a stronger correlation between SII and a worse outcome. According to Kaplan-Meier (K-M) survival curves, patients in the Q3 group with SII had the highest rates of morbidity and death. The RCS curves demonstrated an essentially linear connection between SII and 30 days, 365 days, and congestive heart failure even after controlling for covariates.</p><p><strong>Conclusions: </strong>SII was substantially correlated with 30-day all-cause mortality, 365-day all-cause mortality, in-hospital congestive heart failure, and cardiogenic shock in patients who had both hypertension and acute myocardial infarction. In individuals with acute myocardial infarction and hypertension, a greater SII would be regarded as an independent risk factor for a higher death rate.</p>","PeriodicalId":9040,"journal":{"name":"BMC Immunology","volume":"26 1","pages":"10"},"PeriodicalIF":2.7000,"publicationDate":"2025-02-28","publicationTypes":"Journal Article","fieldsOfStudy":null,"isOpenAccess":false,"openAccessPdf":"https://www.ncbi.nlm.nih.gov/pmc/articles/PMC11869594/pdf/","citationCount":"0","resultStr":null,"platform":"Semanticscholar","paperid":null,"PeriodicalName":"BMC Immunology","FirstCategoryId":"3","ListUrlMain":"https://doi.org/10.1186/s12865-025-00690-y","RegionNum":4,"RegionCategory":"医学","ArticlePicture":[],"TitleCN":null,"AbstractTextCN":null,"PMCID":null,"EPubDate":"","PubModel":"","JCR":"Q3","JCRName":"IMMUNOLOGY","Score":null,"Total":0}
引用次数: 0

Abstract

Background: A new indicator of immunological and inflammatory condition, the Systemic Immunoinflammatory Index (SII), has been linked to a bad prognosis in a number of disorders.

Methods: Two thousand three hundred seventeen ICU patients were admitted with hypertension and acute myocardial infarction (AMI). Patients were grouped according to their baseline SII tertile number into Q1, Q2, and Q3 groups. The main outcomes were death from all causes at 30 days, 365 days, cardiogenic shock, and congestive heart failure.

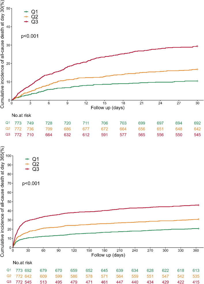
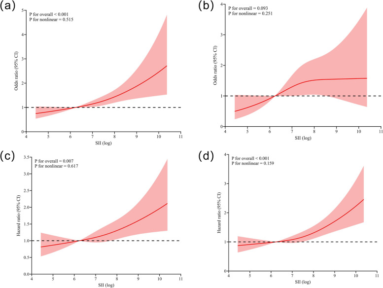
Results: The case fatality rate increases with increasing SII. The correlation between SII and 30-day all-cause mortality [hazard ratio (HR) 1.765, 95% confidence interval (CI) 1.330-2.343 (Q3 versus Q1 group)], 365-day all-cause mortality [HR 2.713, 95% CI 2.250-3.272 (Q3 versus Q1 group), HR 1.603, 95% CI 1.312-1.959 (Q3 vs. Q1 group)], congestive heart failure [odds ratio (OR) 1.255, 95% CI 1.006-1.565 (Q2 vs. Q1 group), OR 1.565, 95% CI 1.220-2.009 (Q3 vs. Q1 group)] and cardiogenic shock [OR 1.930. 95% CI 1.271-2.974 (Q2 vs. Q1 group)] were all validated. According to subgroup analysis, individuals who had chosen to have CABG surgery had a stronger correlation between SII and a worse outcome. According to Kaplan-Meier (K-M) survival curves, patients in the Q3 group with SII had the highest rates of morbidity and death. The RCS curves demonstrated an essentially linear connection between SII and 30 days, 365 days, and congestive heart failure even after controlling for covariates.

Conclusions: SII was substantially correlated with 30-day all-cause mortality, 365-day all-cause mortality, in-hospital congestive heart failure, and cardiogenic shock in patients who had both hypertension and acute myocardial infarction. In individuals with acute myocardial infarction and hypertension, a greater SII would be regarded as an independent risk factor for a higher death rate.

Abstract Image

Abstract Image

Abstract Image

高血压急性心肌梗死患者全身免疫炎症指数与临床结局的关系
背景:一种新的免疫和炎症状况指标——全身免疫炎症指数(SII)与许多疾病的不良预后有关。方法:对我院收治的高血压合并急性心肌梗死(AMI)患者2317例进行回顾性分析。根据患者的基线SII分值分为Q1、Q2和Q3组。主要结局为30天、365天全因死亡、心源性休克和充血性心力衰竭。结果:病死率随SII的增加而增加。SII与30天全因死亡率的相关性[风险比(HR) 1.765, 95%可信区间(CI) 1.330-2.343 (Q3 vs Q1组)],365天全因死亡率[HR 2.713, 95% CI 2.250-3.272 (Q3 vs Q1组),HR 1.603, 95% CI 1.312-1.959 (Q3 vs Q1组)],充血性心力衰竭[优势比(OR) 1.255, 95% CI 1.006-1.565 (Q2 vs Q1组),OR 1.565, 95% CI 1.220-2.009 (Q3 vs Q1组)]和心源性休克[OR 1.930]。95% CI 1.271-2.974 (Q2组vs Q1组)]均得到验证。根据亚组分析,选择CABG手术的个体在SII和较差的预后之间有更强的相关性。根据Kaplan-Meier (K-M)生存曲线,Q3组伴有SII的患者发病率和死亡率最高。RCS曲线显示SII与30天、365天和充血性心力衰竭之间基本呈线性关系,即使在控制协变量后也是如此。结论:SII与高血压合并急性心肌梗死患者的30天全因死亡率、365天全因死亡率、院内充血性心力衰竭和心源性休克显著相关。在急性心肌梗死合并高血压患者中,SII较大可视为死亡率较高的独立危险因素。
本文章由计算机程序翻译,如有差异,请以英文原文为准。
求助全文
约1分钟内获得全文 求助全文
来源期刊
BMC Immunology
BMC Immunology 医学-免疫学
CiteScore
5.50
自引率
0.00%
发文量
54
审稿时长
1 months
期刊介绍: BMC Immunology is an open access journal publishing original peer-reviewed research articles in molecular, cellular, tissue-level, organismal, functional, and developmental aspects of the immune system as well as clinical studies and animal models of human diseases.
×
引用
GB/T 7714-2015
复制
MLA
复制
APA
复制
导出至
BibTeX EndNote RefMan NoteFirst NoteExpress
×
提示
您的信息不完整,为了账户安全,请先补充。
现在去补充
×
提示
您因"违规操作"
具体请查看互助需知
我知道了
×
提示
确定
请完成安全验证×
copy
已复制链接
快去分享给好友吧!
我知道了
右上角分享
点击右上角分享
0
联系我们:info@booksci.cn Book学术提供免费学术资源搜索服务,方便国内外学者检索中英文文献。致力于提供最便捷和优质的服务体验。 Copyright © 2023 布克学术 All rights reserved.
京ICP备2023020795号-1
ghs 京公网安备 11010802042870号
Book学术文献互助
Book学术文献互助群
群 号:604180095
Book学术官方微信