Thinking in opposites improves hypothesis testing performance in Wason's rule-discovery task.

IF 2.1 3区 心理学 Q2 PSYCHOLOGY, EXPERIMENTAL
Memory & Cognition Pub Date : 2025-08-01 Epub Date: 2025-02-26 DOI:10.3758/s13421-025-01691-3
Erika Branchini, Ivana Bianchi, Roberto Burro
{"title":"Thinking in opposites improves hypothesis testing performance in Wason's rule-discovery task.","authors":"Erika Branchini, Ivana Bianchi, Roberto Burro","doi":"10.3758/s13421-025-01691-3","DOIUrl":null,"url":null,"abstract":"<p><p>We investigate whether hypothesis testing can be improved by a simple prompt to \"think in opposites,\" a strategy suggested by a growing body of literature as being beneficial in various reasoning and problem-solving contexts. We employed Wason's rule-discovery task and designed three experimental conditions: training that prompted an analysis of the properties characterizing the initial seed triple, training that prompted the same analysis but subsequently required the identification of the opposites of each property for use in the testing phase, and a no-prompt condition. Thinking in opposites nearly doubled the success rate and led to a more frequent discovery of the rule on the first attempt. This improved efficacy was due not to the testing of more triples but to less reiteration of the same hypothesis and a greater awareness of the ascending-descending critical dimension. We discuss how thinking in opposites appears to stimulate counterfactual thinking, with respect to previous literature.</p>","PeriodicalId":48398,"journal":{"name":"Memory & Cognition","volume":" ","pages":"1927-1943"},"PeriodicalIF":2.1000,"publicationDate":"2025-08-01","publicationTypes":"Journal Article","fieldsOfStudy":null,"isOpenAccess":false,"openAccessPdf":"https://www.ncbi.nlm.nih.gov/pmc/articles/PMC12402026/pdf/","citationCount":"0","resultStr":null,"platform":"Semanticscholar","paperid":null,"PeriodicalName":"Memory & Cognition","FirstCategoryId":"102","ListUrlMain":"https://doi.org/10.3758/s13421-025-01691-3","RegionNum":3,"RegionCategory":"心理学","ArticlePicture":[],"TitleCN":null,"AbstractTextCN":null,"PMCID":null,"EPubDate":"2025/2/26 0:00:00","PubModel":"Epub","JCR":"Q2","JCRName":"PSYCHOLOGY, EXPERIMENTAL","Score":null,"Total":0}
引用次数: 0

Abstract

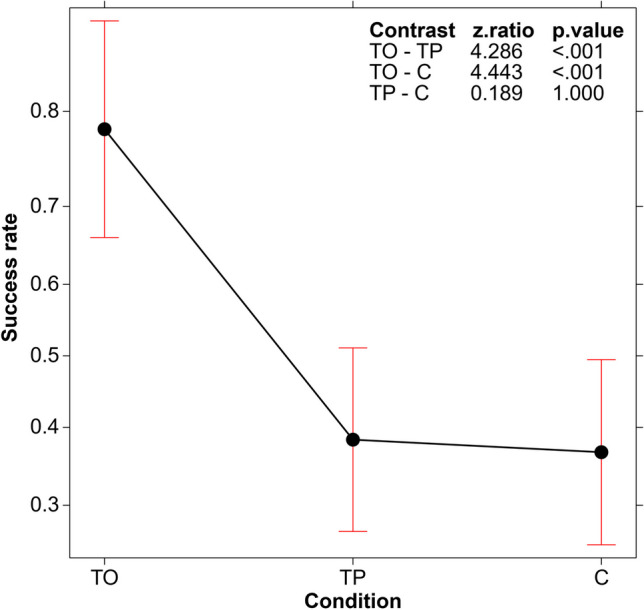
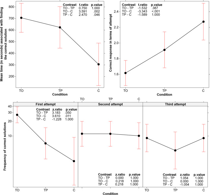
We investigate whether hypothesis testing can be improved by a simple prompt to "think in opposites," a strategy suggested by a growing body of literature as being beneficial in various reasoning and problem-solving contexts. We employed Wason's rule-discovery task and designed three experimental conditions: training that prompted an analysis of the properties characterizing the initial seed triple, training that prompted the same analysis but subsequently required the identification of the opposites of each property for use in the testing phase, and a no-prompt condition. Thinking in opposites nearly doubled the success rate and led to a more frequent discovery of the rule on the first attempt. This improved efficacy was due not to the testing of more triples but to less reiteration of the same hypothesis and a greater awareness of the ascending-descending critical dimension. We discuss how thinking in opposites appears to stimulate counterfactual thinking, with respect to previous literature.

Abstract Image

Abstract Image

Abstract Image

在沃森的规则发现任务中,对立思维提高了假设检验的性能。
我们调查假设检验是否可以通过一个简单的提示来改进“相反的思考”,这是一个越来越多的文献建议的策略,在各种推理和解决问题的环境中是有益的。我们采用了沃森的规则发现任务,并设计了三个实验条件:提示分析初始种子三重特征的属性的训练,提示相同分析但随后需要识别每个属性的对立面以用于测试阶段的训练,以及无提示条件。相反的思维方式几乎使成功率翻了一番,并且在第一次尝试时更频繁地发现规则。这种效果的提高不是由于测试了更多的三元组,而是由于减少了对相同假设的重复和对上升-下降关键维度的更大认识。我们讨论如何在对立的思维似乎刺激反事实的思维,相对于以前的文献。
本文章由计算机程序翻译,如有差异,请以英文原文为准。
求助全文
约1分钟内获得全文 求助全文
来源期刊
Memory & Cognition
Memory & Cognition PSYCHOLOGY, EXPERIMENTAL-
CiteScore
4.40
自引率
8.30%
发文量
112
期刊介绍: Memory & Cognition covers human memory and learning, conceptual processes, psycholinguistics, problem solving, thinking, decision making, and skilled performance, including relevant work in the areas of computer simulation, information processing, mathematical psychology, developmental psychology, and experimental social psychology.
×
引用
GB/T 7714-2015
复制
MLA
复制
APA
复制
导出至
BibTeX EndNote RefMan NoteFirst NoteExpress
×
提示
您的信息不完整,为了账户安全,请先补充。
现在去补充
×
提示
您因"违规操作"
具体请查看互助需知
我知道了
×
提示
确定
请完成安全验证×
copy
已复制链接
快去分享给好友吧!
我知道了
右上角分享
点击右上角分享
0
联系我们:info@booksci.cn Book学术提供免费学术资源搜索服务,方便国内外学者检索中英文文献。致力于提供最便捷和优质的服务体验。 Copyright © 2023 布克学术 All rights reserved.
京ICP备2023020795号-1
ghs 京公网安备 11010802042870号
Book学术文献互助
Book学术文献互助群
群 号:604180095
Book学术官方微信