Clinical and Deep-Learned Evaluation of MR-Guided Self-Supervised PET Reconstruction

IF 3.5 Q1 RADIOLOGY, NUCLEAR MEDICINE & MEDICAL IMAGING
Jessica B. Hopson;Sam Ellis;Anthime Flaus;Colm J. McGinnity;Radhouene Neji;Andrew J. Reader;Alexander Hammers
{"title":"Clinical and Deep-Learned Evaluation of MR-Guided Self-Supervised PET Reconstruction","authors":"Jessica B. Hopson;Sam Ellis;Anthime Flaus;Colm J. McGinnity;Radhouene Neji;Andrew J. Reader;Alexander Hammers","doi":"10.1109/TRPMS.2024.3496779","DOIUrl":null,"url":null,"abstract":"Reduced dose positron emission tomography (PET) lowers the radiation dose to patients and reduces costs. Lower-count data, however, degrades reconstructed image quality. Advanced reconstruction methods help mitigate image quality losses, but it is important to assess the resulting images from a clinical perspective. Two experienced clinicians assessed four PET reconstruction algorithms for [18F]FDG brain data, compared to a clinical standard reference (maximum-likelihood expectation-maximization (MLEM)), based on seven clinical image quality metrics: global quality rating, pattern recognition, diagnostic confidence (all on a scale of 0–4), sharpness, caudate-putamen separation (CP), noise, and contrast (on a scale between 0–2). The reconstruction methods assessed were a guided and unguided version of self-supervised maximum a posteriori EM (MAPEM) (where the guidance case used the patient’s MR image to control the smoothness penalty). For 3 of the 11 patient datasets reconstructed, post-smoothed versions of the MAPEM reconstruction were also considered, where the smoothing was with the point-spread-function used in the resolution modelling. Statistically significant improvements were observed in sharpness, CP, and contrast for self-supervised MR-guided MAPEM compared to MLEM. For example, MLEM scored between 1-1.1 out of 2 for sharpness, CP, and contrast, whereas self-supervised MR-guided MAPEM scored between 1.5-1.75. In addition to the clinical evaluation, pretrained convolutional neural networks (CNNs) were used to assess the image quality of a further 62 images. The CNNs demonstrated similar trends to the clinician, showing their potential as automated standalone observers. Both the clinical and CNN assessments suggest when using only 5% of the standard injected dose, self-supervised MR-guided MAPEM reconstruction matches the 100% MLEM case for overall performance. This makes the images far more clinically useful than standard MLEM.","PeriodicalId":46807,"journal":{"name":"IEEE Transactions on Radiation and Plasma Medical Sciences","volume":"9 3","pages":"337-346"},"PeriodicalIF":3.5000,"publicationDate":"2024-11-15","publicationTypes":"Journal Article","fieldsOfStudy":null,"isOpenAccess":false,"openAccessPdf":"","citationCount":"0","resultStr":null,"platform":"Semanticscholar","paperid":null,"PeriodicalName":"IEEE Transactions on Radiation and Plasma Medical Sciences","FirstCategoryId":"1085","ListUrlMain":"https://ieeexplore.ieee.org/document/10754997/","RegionNum":0,"RegionCategory":null,"ArticlePicture":[],"TitleCN":null,"AbstractTextCN":null,"PMCID":null,"EPubDate":"","PubModel":"","JCR":"Q1","JCRName":"RADIOLOGY, NUCLEAR MEDICINE & MEDICAL IMAGING","Score":null,"Total":0}
引用次数: 0

Abstract

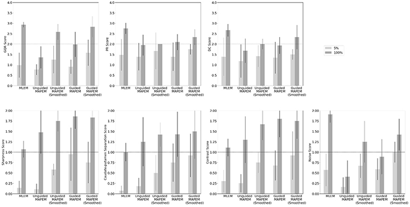
Reduced dose positron emission tomography (PET) lowers the radiation dose to patients and reduces costs. Lower-count data, however, degrades reconstructed image quality. Advanced reconstruction methods help mitigate image quality losses, but it is important to assess the resulting images from a clinical perspective. Two experienced clinicians assessed four PET reconstruction algorithms for [18F]FDG brain data, compared to a clinical standard reference (maximum-likelihood expectation-maximization (MLEM)), based on seven clinical image quality metrics: global quality rating, pattern recognition, diagnostic confidence (all on a scale of 0–4), sharpness, caudate-putamen separation (CP), noise, and contrast (on a scale between 0–2). The reconstruction methods assessed were a guided and unguided version of self-supervised maximum a posteriori EM (MAPEM) (where the guidance case used the patient’s MR image to control the smoothness penalty). For 3 of the 11 patient datasets reconstructed, post-smoothed versions of the MAPEM reconstruction were also considered, where the smoothing was with the point-spread-function used in the resolution modelling. Statistically significant improvements were observed in sharpness, CP, and contrast for self-supervised MR-guided MAPEM compared to MLEM. For example, MLEM scored between 1-1.1 out of 2 for sharpness, CP, and contrast, whereas self-supervised MR-guided MAPEM scored between 1.5-1.75. In addition to the clinical evaluation, pretrained convolutional neural networks (CNNs) were used to assess the image quality of a further 62 images. The CNNs demonstrated similar trends to the clinician, showing their potential as automated standalone observers. Both the clinical and CNN assessments suggest when using only 5% of the standard injected dose, self-supervised MR-guided MAPEM reconstruction matches the 100% MLEM case for overall performance. This makes the images far more clinically useful than standard MLEM.

Abstract Image

Abstract Image

Abstract Image

磁共振引导下自监督PET重建的临床与深度学习评价。
减少剂量正电子发射断层扫描(PET)降低了对患者的辐射剂量,降低了成本。然而,较低的计数数据会降低重建图像的质量。先进的重建方法有助于减轻图像质量损失,但重要的是从临床角度评估产生的图像。两位经验丰富的临床医生评估了[18F]FDG脑数据的四种PET重建算法,与临床标准参考(最大似然期望最大化(MLEM))进行比较,基于七个临床图像质量指标:整体质量评级、模式识别、诊断置信度(均在0-4之间)、清晰度、尾核-壳核分离、噪声和对比度(在0-2之间)。评估的重建方法是自我监督最大后验EM (MAPEM)的引导和非引导版本(其中引导案例使用患者的MR图像来控制平滑度惩罚)。对于重建的11个患者数据集中的3个,还考虑了MAPEM重建的后平滑版本,其中平滑使用分辨率建模中使用的点扩展函数。与MLEM相比,自我监督mr引导的MAPEM在清晰度、尾核-壳核分离和对比度方面观察到统计学上显著的改善。例如,MLEM在清晰度、尾壳核分离和对比度方面的得分为1-1.1分(满分为2分),而自我监督磁共振引导的MAPEM得分为1.5-1.75分。除了临床评估,预训练的卷积神经网络(cnn)被用来评估另外62张图像的图像质量。cnn向临床医生展示了类似的趋势,显示了它们作为自动独立观察者的潜力。临床和CNN评估均表明,当仅使用标准注射剂量的5%时,自我监督mr引导的MAPEM重建的整体性能与100% MLEM病例相匹配。这使得图像在临床上比标准的MLEM更有用。
本文章由计算机程序翻译,如有差异,请以英文原文为准。
求助全文
约1分钟内获得全文 求助全文
来源期刊
IEEE Transactions on Radiation and Plasma Medical Sciences
IEEE Transactions on Radiation and Plasma Medical Sciences RADIOLOGY, NUCLEAR MEDICINE & MEDICAL IMAGING-
CiteScore
8.00
自引率
18.20%
发文量
109
×
引用
GB/T 7714-2015
复制
MLA
复制
APA
复制
导出至
BibTeX EndNote RefMan NoteFirst NoteExpress
×
提示
您的信息不完整,为了账户安全,请先补充。
现在去补充
×
提示
您因"违规操作"
具体请查看互助需知
我知道了
×
提示
确定
请完成安全验证×
copy
已复制链接
快去分享给好友吧!
我知道了
右上角分享
点击右上角分享
0
联系我们:info@booksci.cn Book学术提供免费学术资源搜索服务,方便国内外学者检索中英文文献。致力于提供最便捷和优质的服务体验。 Copyright © 2023 布克学术 All rights reserved.
京ICP备2023020795号-1
ghs 京公网安备 11010802042870号
Book学术文献互助
Book学术文献互助群
群 号:604180095
Book学术官方微信