Efficacy and toxicity of stereotactic radiotherapy combined with third-generation EGFR-TKIs and immunotherapy in patients with brain metastases from non-small cell lung cancer.

IF 2.5 3区 医学 Q3 ONCOLOGY
Strahlentherapie und Onkologie Pub Date : 2025-06-01 Epub Date: 2025-02-26 DOI:10.1007/s00066-024-02360-1
Xiaoxuan Tao, Qichang Gao, Yiyang Chen, Nannan Cai, Chuncheng Hao
{"title":"Efficacy and toxicity of stereotactic radiotherapy combined with third-generation EGFR-TKIs and immunotherapy in patients with brain metastases from non-small cell lung cancer.","authors":"Xiaoxuan Tao, Qichang Gao, Yiyang Chen, Nannan Cai, Chuncheng Hao","doi":"10.1007/s00066-024-02360-1","DOIUrl":null,"url":null,"abstract":"<p><strong>Objective: </strong>Stereotactic radiotherapy (SRT) is fast gaining attention as a preferred treatment alternative for patients with brain metastases (BM) from non-small cell lung cancer (NSCLC). In this study, we examined the efficacy and safety of combining SRT with immunotherapy (IT) and targeted therapy (TT), either separately or concurrently with the aim to formulate an optimal therapeutic regimen for patients with NSCLC BM.</p><p><strong>Methods: </strong>The combination therapy were comprised of IT and TT agents. For the SRT-combined TT agents group, TT was limited to third-generation EGFR-TKIs. The administration of these drugs within 30 days before or after SRT was defined as combination therapy. The primary endpoint was 1-year progression-free survival (PFS), which was evaluated by a blinded independent review committee and categorized into local recurrence at the radiation site and the emergence of new distant intracranial metastases. Secondary endpoints included confirmed intracranial objective response rate (IORR) and intracranial disease control rate in the overall population. Post-treatment grading was performed according to CTCAE, and the levels of radiation necrosis were differentiated.</p><p><strong>Results: </strong>The 266 patients with NSCLC BM were categorized into the following four groups based on their treatment methods: SRT alone, SRT combined with IT, SRT combined with third-generation EGFR-TKIs, and SRT combined with both IT and TT. For the local radiation range, the 1‑year PFS of these four groups were 77.89% (P = 0.239), 88.75% (P = 0.266), 88.01% (P = 0.210), and 91.97% (P = 0.057), respectively. For new intracranial metastases outside of the radiotherapy site, the corresponding values were 63.96% (P = 0.039), 74.17% (P = 0.258), 88.70% (P = 0.024), and 87.81% (P = 0.015), respectively. By the end of the study period, the IORR increased from 32% with SRT alone to 46% in the IT group, 58% in the TT group, and 61% in the SRT combined with both the IT and TT groups. However, the group that received SRT in combination with IT and TT exhibited a higher occurrence rate of grade 3 adverse events, and a statistically significant difference was observed in grade 3 radiation necrosis.</p><p><strong>Conclusion: </strong>For NSCLC BM, IT, TT, or both together with SRT increased the distant intracranial tumor control. Nonetheless, combining SRT with both IT and TT increased the occurrence rate of acute adverse events. Thus, while SRT provided good local control independently, the incidence of symptomatic RN was low.</p>","PeriodicalId":21998,"journal":{"name":"Strahlentherapie und Onkologie","volume":" ","pages":"645-655"},"PeriodicalIF":2.5000,"publicationDate":"2025-06-01","publicationTypes":"Journal Article","fieldsOfStudy":null,"isOpenAccess":false,"openAccessPdf":"https://www.ncbi.nlm.nih.gov/pmc/articles/PMC12119770/pdf/","citationCount":"0","resultStr":null,"platform":"Semanticscholar","paperid":null,"PeriodicalName":"Strahlentherapie und Onkologie","FirstCategoryId":"3","ListUrlMain":"https://doi.org/10.1007/s00066-024-02360-1","RegionNum":3,"RegionCategory":"医学","ArticlePicture":[],"TitleCN":null,"AbstractTextCN":null,"PMCID":null,"EPubDate":"2025/2/26 0:00:00","PubModel":"Epub","JCR":"Q3","JCRName":"ONCOLOGY","Score":null,"Total":0}
引用次数: 0

Abstract

Objective: Stereotactic radiotherapy (SRT) is fast gaining attention as a preferred treatment alternative for patients with brain metastases (BM) from non-small cell lung cancer (NSCLC). In this study, we examined the efficacy and safety of combining SRT with immunotherapy (IT) and targeted therapy (TT), either separately or concurrently with the aim to formulate an optimal therapeutic regimen for patients with NSCLC BM.

Methods: The combination therapy were comprised of IT and TT agents. For the SRT-combined TT agents group, TT was limited to third-generation EGFR-TKIs. The administration of these drugs within 30 days before or after SRT was defined as combination therapy. The primary endpoint was 1-year progression-free survival (PFS), which was evaluated by a blinded independent review committee and categorized into local recurrence at the radiation site and the emergence of new distant intracranial metastases. Secondary endpoints included confirmed intracranial objective response rate (IORR) and intracranial disease control rate in the overall population. Post-treatment grading was performed according to CTCAE, and the levels of radiation necrosis were differentiated.

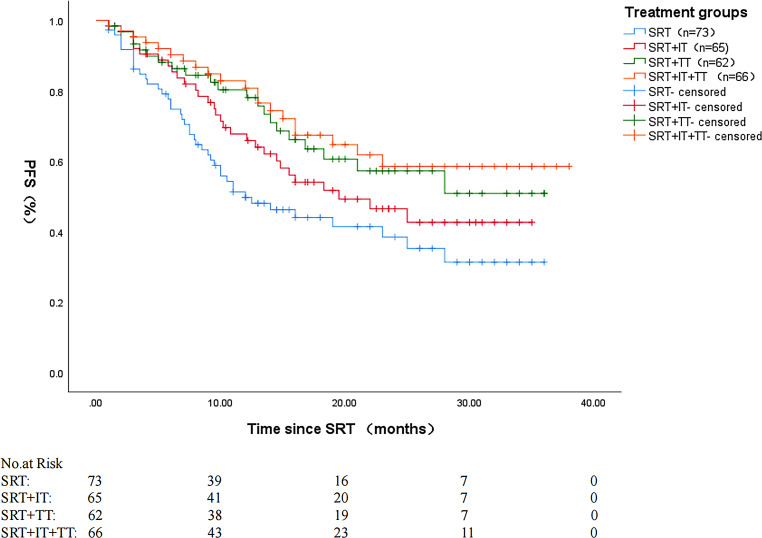
Results: The 266 patients with NSCLC BM were categorized into the following four groups based on their treatment methods: SRT alone, SRT combined with IT, SRT combined with third-generation EGFR-TKIs, and SRT combined with both IT and TT. For the local radiation range, the 1‑year PFS of these four groups were 77.89% (P = 0.239), 88.75% (P = 0.266), 88.01% (P = 0.210), and 91.97% (P = 0.057), respectively. For new intracranial metastases outside of the radiotherapy site, the corresponding values were 63.96% (P = 0.039), 74.17% (P = 0.258), 88.70% (P = 0.024), and 87.81% (P = 0.015), respectively. By the end of the study period, the IORR increased from 32% with SRT alone to 46% in the IT group, 58% in the TT group, and 61% in the SRT combined with both the IT and TT groups. However, the group that received SRT in combination with IT and TT exhibited a higher occurrence rate of grade 3 adverse events, and a statistically significant difference was observed in grade 3 radiation necrosis.

Conclusion: For NSCLC BM, IT, TT, or both together with SRT increased the distant intracranial tumor control. Nonetheless, combining SRT with both IT and TT increased the occurrence rate of acute adverse events. Thus, while SRT provided good local control independently, the incidence of symptomatic RN was low.

Abstract Image

Abstract Image

Abstract Image

立体定向放疗联合第三代EGFR-TKIs和免疫治疗对非小细胞肺癌脑转移患者的疗效和毒性
目的:立体定向放疗(SRT)作为非小细胞肺癌(NSCLC)脑转移(BM)患者的首选治疗方案正迅速受到关注。在这项研究中,我们检查了SRT联合免疫治疗(IT)和靶向治疗(TT)的有效性和安全性,无论是单独的还是同时的,目的是为NSCLC BM患者制定最佳的治疗方案。方法:采用IT与TT联合治疗。对于srt联合TT药物组,TT仅限于第三代EGFR-TKIs。在SRT前后30天内给予这些药物被定义为联合治疗。主要终点是1年无进展生存期(PFS),由一个盲法独立审查委员会评估,并将其分类为放射部位局部复发和新远处颅内转移的出现。次要终点包括总体人群中确认的颅内客观缓解率(IORR)和颅内疾病控制率。治疗后根据CTCAE分级,区分放射性坏死程度。结果:266例NSCLC BM患者根据治疗方法分为单独SRT、SRT联合IT、SRT联合第三代EGFR-TKIs、SRT联合IT和TT四组。在局部辐射范围内,4组患者的1年PFS分别为77.89% (P = 0.239)、88.75% (P = 0.266)、88.01% (P = 0.210)和91.97% (P = 0.057)。放疗部位外新发颅内转移灶的相应值分别为63.96% (P = 0.039)、74.17% (P = 0.258)、88.70% (P = 0.024)、87.81% (P = 0.015)。在研究期结束时,IORR从单独SRT组的32%增加到IT组的46%,TT组的58%,SRT联合IT和TT组的61%。而SRT联合IT、TT组3级不良事件发生率较高,3级放射性坏死发生率差异有统计学意义。结论:对于非小细胞肺癌,BM、IT、TT或两者联合SRT增加了远端颅内肿瘤控制。然而,将SRT与IT和TT联合使用会增加急性不良事件的发生率。因此,虽然SRT单独提供了良好的局部控制,但症状性RN的发生率较低。
本文章由计算机程序翻译,如有差异,请以英文原文为准。
求助全文
约1分钟内获得全文 求助全文
来源期刊
CiteScore
5.70
自引率
12.90%
发文量
141
审稿时长
3-8 weeks
期刊介绍: Strahlentherapie und Onkologie, published monthly, is a scientific journal that covers all aspects of oncology with focus on radiooncology, radiation biology and radiation physics. The articles are not only of interest to radiooncologists but to all physicians interested in oncology, to radiation biologists and radiation physicists. The journal publishes original articles, review articles and case studies that are peer-reviewed. It includes scientific short communications as well as a literature review with annotated articles that inform the reader on new developments in the various disciplines concerned and hence allow for a sound overview on the latest results in radiooncology research. Founded in 1912, Strahlentherapie und Onkologie is the oldest oncological journal in the world. Today, contributions are published in English and German. All articles have English summaries and legends. The journal is the official publication of several scientific radiooncological societies and publishes the relevant communications of these societies.
×
引用
GB/T 7714-2015
复制
MLA
复制
APA
复制
导出至
BibTeX EndNote RefMan NoteFirst NoteExpress
×
提示
您的信息不完整,为了账户安全,请先补充。
现在去补充
×
提示
您因"违规操作"
具体请查看互助需知
我知道了
×
提示
确定
请完成安全验证×
copy
已复制链接
快去分享给好友吧!
我知道了
右上角分享
点击右上角分享
0
联系我们:info@booksci.cn Book学术提供免费学术资源搜索服务,方便国内外学者检索中英文文献。致力于提供最便捷和优质的服务体验。 Copyright © 2023 布克学术 All rights reserved.
京ICP备2023020795号-1
ghs 京公网安备 11010802042870号
Book学术文献互助
Book学术文献互助群
群 号:604180095
Book学术官方微信