BIRC5 Is a Potential Biomarker Associated with Immune System Infiltration in Glioma.

IF 1.7 4区 医学 Q4 CLINICAL NEUROLOGY
Journal of Korean Neurosurgical Society Pub Date : 2025-03-01 Epub Date: 2025-02-26 DOI:10.3340/jkns.2024.0106
Xitong Yang, Yuanyuan Zhang, Fuhui Duan, Siying Li, Guangming Wang
{"title":"BIRC5 Is a Potential Biomarker Associated with Immune System Infiltration in Glioma.","authors":"Xitong Yang, Yuanyuan Zhang, Fuhui Duan, Siying Li, Guangming Wang","doi":"10.3340/jkns.2024.0106","DOIUrl":null,"url":null,"abstract":"<p><strong>Objective: </strong>Baculovirus inhibitory of apoptosis repeat-containing 5 (BIRC5) is critically implicated in various types of tumors. However, the specific mechanisms by which it operates in glioma are yet to be fully understood.</p><p><strong>Methods: </strong>The data sourced from The Cancer Genome Atlas and Gene Expression Omnibus were merged and analyzed using the R software to investigate the relationship between BIRC5 expression and prognosis and diagnosis outcomes. This exploration was conducted utilizing various biological information repositories. The correlation between BIRC5 and immunity was obtained based on TIMER and TISIDB databases.</p><p><strong>Results: </strong>Gliomas displayed a markedly elevated level of BIRC5 expression compared to adjacent tissues. Patients with glioma who exhibit elevated levels of BIRC5 experience poorer prognoses and shorter survival times. Subgroup classification further revealed that heightened expression of BIRC5 led to diminished overall survival. Analysis of logistic regression and COX indicated that expression of BIRC5 serves as a risk factor in glioma development. Functional enrichment pathways showed that the 72 hub genes related to BIRC5 were mainly closely related to nuclear division, spindle, tubulin binding, and cell cycle in glioma patients. BBIRC5 methylation suggested that BIRC5 might influence the immune response regulation and the tumor microenvironment within gliomas. BIRC5 is associated with many chemicals. Additionally, studies conducted using cell experiments and pathological sections have consistently shown that BIRC5 expression is higher in tumor cells compared to normal cells and tissues.</p><p><strong>Conclusion: </strong>BIRC5 holds promise as a valuable tool in the diagnosis, prognosis, and management of gliomas.</p>","PeriodicalId":16283,"journal":{"name":"Journal of Korean Neurosurgical Society","volume":" ","pages":"184-201"},"PeriodicalIF":1.7000,"publicationDate":"2025-03-01","publicationTypes":"Journal Article","fieldsOfStudy":null,"isOpenAccess":false,"openAccessPdf":"https://www.ncbi.nlm.nih.gov/pmc/articles/PMC11924638/pdf/","citationCount":"0","resultStr":null,"platform":"Semanticscholar","paperid":null,"PeriodicalName":"Journal of Korean Neurosurgical Society","FirstCategoryId":"3","ListUrlMain":"https://doi.org/10.3340/jkns.2024.0106","RegionNum":4,"RegionCategory":"医学","ArticlePicture":[],"TitleCN":null,"AbstractTextCN":null,"PMCID":null,"EPubDate":"2025/2/26 0:00:00","PubModel":"Epub","JCR":"Q4","JCRName":"CLINICAL NEUROLOGY","Score":null,"Total":0}
引用次数: 0

Abstract

Objective: Baculovirus inhibitory of apoptosis repeat-containing 5 (BIRC5) is critically implicated in various types of tumors. However, the specific mechanisms by which it operates in glioma are yet to be fully understood.

Methods: The data sourced from The Cancer Genome Atlas and Gene Expression Omnibus were merged and analyzed using the R software to investigate the relationship between BIRC5 expression and prognosis and diagnosis outcomes. This exploration was conducted utilizing various biological information repositories. The correlation between BIRC5 and immunity was obtained based on TIMER and TISIDB databases.

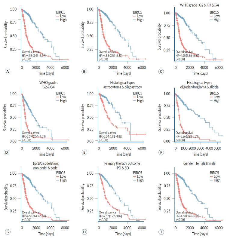
Results: Gliomas displayed a markedly elevated level of BIRC5 expression compared to adjacent tissues. Patients with glioma who exhibit elevated levels of BIRC5 experience poorer prognoses and shorter survival times. Subgroup classification further revealed that heightened expression of BIRC5 led to diminished overall survival. Analysis of logistic regression and COX indicated that expression of BIRC5 serves as a risk factor in glioma development. Functional enrichment pathways showed that the 72 hub genes related to BIRC5 were mainly closely related to nuclear division, spindle, tubulin binding, and cell cycle in glioma patients. BBIRC5 methylation suggested that BIRC5 might influence the immune response regulation and the tumor microenvironment within gliomas. BIRC5 is associated with many chemicals. Additionally, studies conducted using cell experiments and pathological sections have consistently shown that BIRC5 expression is higher in tumor cells compared to normal cells and tissues.

Conclusion: BIRC5 holds promise as a valuable tool in the diagnosis, prognosis, and management of gliomas.

Abstract Image

Abstract Image

Abstract Image

BIRC5是与神经胶质瘤免疫系统浸润相关的潜在生物标志物
目的:杆状病毒抑制细胞凋亡重复序列- 5 (BIRC5)在多种类型的肿瘤中具有重要意义。然而,它在神经胶质瘤中起作用的具体机制尚不完全清楚。方法:采用R软件对来自Cancer Genome Atlas和Gene Expression Omnibus的数据进行合并分析,探讨BIRC5表达与预后和诊断结果的关系。这项探索是利用各种生物信息库进行的。基于TIMER和TISIDB数据库获得BIRC5与免疫的相关性。结果:胶质瘤中BIRC5的表达水平明显高于邻近组织。BIRC5水平升高的胶质瘤患者预后较差,生存时间较短。亚组分类进一步显示BIRC5表达升高导致总生存率降低。logistic回归和COX分析提示BIRC5的表达是胶质瘤发生的危险因素。功能富集途径显示,BIRC5相关的72个枢纽基因主要与胶质瘤患者的核分裂、纺锤体、微管蛋白结合和细胞周期密切相关。BBIRC5甲基化提示BIRC5可能影响胶质瘤内的免疫应答调节和肿瘤微环境。BIRC5与许多化学物质有关。此外,利用细胞实验和病理切片进行的研究一致表明,与正常细胞和组织相比,BIRC5在肿瘤细胞中的表达更高。结论:BIRC5有望成为胶质瘤的诊断、预后和治疗的有价值的工具。
本文章由计算机程序翻译,如有差异,请以英文原文为准。
求助全文
约1分钟内获得全文 求助全文
来源期刊
CiteScore
2.90
自引率
6.20%
发文量
109
审稿时长
3-8 weeks
期刊介绍: The Journal of Korean Neurosurgical Society (J Korean Neurosurg Soc) is the official journal of the Korean Neurosurgical Society, and published bimonthly (1st day of January, March, May, July, September, and November). It launched in October 31, 1972 with Volume 1 and Number 1. J Korean Neurosurg Soc aims to allow neurosurgeons from around the world to enrich their knowledge of patient management, education, and clinical or experimental research, and hence their professionalism. This journal publishes Laboratory Investigations, Clinical Articles, Review Articles, Case Reports, Technical Notes, and Letters to the Editor. Our field of interest involves clinical neurosurgery (cerebrovascular disease, neuro-oncology, skull base neurosurgery, spine, pediatric neurosurgery, functional neurosurgery, epilepsy, neuro-trauma, and peripheral nerve disease) and laboratory work in neuroscience.
×
引用
GB/T 7714-2015
复制
MLA
复制
APA
复制
导出至
BibTeX EndNote RefMan NoteFirst NoteExpress
×
提示
您的信息不完整,为了账户安全,请先补充。
现在去补充
×
提示
您因"违规操作"
具体请查看互助需知
我知道了
×
提示
确定
请完成安全验证×
copy
已复制链接
快去分享给好友吧!
我知道了
右上角分享
点击右上角分享
0
联系我们:info@booksci.cn Book学术提供免费学术资源搜索服务,方便国内外学者检索中英文文献。致力于提供最便捷和优质的服务体验。 Copyright © 2023 布克学术 All rights reserved.
京ICP备2023020795号-1
ghs 京公网安备 11010802042870号
Book学术文献互助
Book学术文献互助群
群 号:604180095
Book学术官方微信