Secondary hyperparathyroidism due to chronic kidney disease and access to clinical treatment and parathyroidectomy in Brazil: a nationwide survey.

IF 1.3 Q3 UROLOGY & NEPHROLOGY
Lauter Eston Pelepenko, Marcelo Giacomini Louça, Tarcísio Fausto, Sergio Gardano Elias Bucharles, Melani Ribeiro Custódio, Leandro Lucca Junior, Fellype de Carvalho Barreto, Aluízio Barbosa Carvalho, Vanda Jorgetti, José Andrade Moura Neto, Rodrigo Bueno de Oliveira
{"title":"Secondary hyperparathyroidism due to chronic kidney disease and access to clinical treatment and parathyroidectomy in Brazil: a nationwide survey.","authors":"Lauter Eston Pelepenko, Marcelo Giacomini Louça, Tarcísio Fausto, Sergio Gardano Elias Bucharles, Melani Ribeiro Custódio, Leandro Lucca Junior, Fellype de Carvalho Barreto, Aluízio Barbosa Carvalho, Vanda Jorgetti, José Andrade Moura Neto, Rodrigo Bueno de Oliveira","doi":"10.1590/2175-8239-JBN-2024-0158en","DOIUrl":null,"url":null,"abstract":"<p><strong>Introduction: </strong>Chronic kidney disease (CKD) may lead to secondary hyperparathyroidism (SHP) and its treatment is based on the control of hyperphosphatemia, hypocalcemia, and serum parathormone hormone levels (PTH) levels. Despite the advances in SHP treatment, therapeutic failure is frequent and CKD patients on dialysis require parathyroidectomy (PTx).</p><p><strong>Aim: </strong>To update the 2011 survey, estimate the current prevalence of SHP in Brazilian dialysis centers, verify access to drugs, and identify obstacles to performing PTx.</p><p><strong>Methods: </strong>A questionnaire was sent to active dialysis facilities. The results were compiled and statistically compared (p < 0.05).</p><p><strong>Results: </strong>A total of 114 facilities successfully responded to the questionnaire, most of them in the Southeast region. Approximately 9% of the individuals (23,535) had serum PTH levels measurements above 1,000 pg/mL (10.7% were reported in the 2011 survey). A considerable number of the reported difficulties indicated limited availability of pivotal medications for SHP management and the associated complications. Of note, only 2.7% of the individuals were submitted to PTx. For those with PTx indication, the waiting time for the procedure was over two years in 28% of the cases. The main barriers to performing PTx were reported to be the long waiting time for PTx, the shortage of head and neck surgeons, and the lack of ward beds for hospital admissions.</p><p><strong>Conclusion: </strong>Some aspects have improved since 2011. However, SHP remains highly prevalent in Brazil, and a significant number of individuals do not have access to PTx or experience long waiting times for this surgical procedure while facing substantial difficulties in obtaining clinical treatment.</p>","PeriodicalId":14724,"journal":{"name":"Jornal brasileiro de nefrologia : 'orgao oficial de Sociedades Brasileira e Latino-Americana de Nefrologia","volume":"47 2","pages":"e20240158"},"PeriodicalIF":1.3000,"publicationDate":"2025-04-01","publicationTypes":"Journal Article","fieldsOfStudy":null,"isOpenAccess":false,"openAccessPdf":"https://www.ncbi.nlm.nih.gov/pmc/articles/PMC11855617/pdf/","citationCount":"0","resultStr":null,"platform":"Semanticscholar","paperid":null,"PeriodicalName":"Jornal brasileiro de nefrologia : 'orgao oficial de Sociedades Brasileira e Latino-Americana de Nefrologia","FirstCategoryId":"1085","ListUrlMain":"https://doi.org/10.1590/2175-8239-JBN-2024-0158en","RegionNum":0,"RegionCategory":null,"ArticlePicture":[],"TitleCN":null,"AbstractTextCN":null,"PMCID":null,"EPubDate":"","PubModel":"","JCR":"Q3","JCRName":"UROLOGY & NEPHROLOGY","Score":null,"Total":0}
引用次数: 0

Abstract

Introduction: Chronic kidney disease (CKD) may lead to secondary hyperparathyroidism (SHP) and its treatment is based on the control of hyperphosphatemia, hypocalcemia, and serum parathormone hormone levels (PTH) levels. Despite the advances in SHP treatment, therapeutic failure is frequent and CKD patients on dialysis require parathyroidectomy (PTx).

Aim: To update the 2011 survey, estimate the current prevalence of SHP in Brazilian dialysis centers, verify access to drugs, and identify obstacles to performing PTx.

Methods: A questionnaire was sent to active dialysis facilities. The results were compiled and statistically compared (p < 0.05).

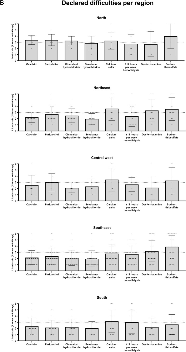
Results: A total of 114 facilities successfully responded to the questionnaire, most of them in the Southeast region. Approximately 9% of the individuals (23,535) had serum PTH levels measurements above 1,000 pg/mL (10.7% were reported in the 2011 survey). A considerable number of the reported difficulties indicated limited availability of pivotal medications for SHP management and the associated complications. Of note, only 2.7% of the individuals were submitted to PTx. For those with PTx indication, the waiting time for the procedure was over two years in 28% of the cases. The main barriers to performing PTx were reported to be the long waiting time for PTx, the shortage of head and neck surgeons, and the lack of ward beds for hospital admissions.

Conclusion: Some aspects have improved since 2011. However, SHP remains highly prevalent in Brazil, and a significant number of individuals do not have access to PTx or experience long waiting times for this surgical procedure while facing substantial difficulties in obtaining clinical treatment.

Abstract Image

Abstract Image

Abstract Image

巴西慢性肾病继发性甲状旁腺功能亢进与临床治疗和甲状旁腺切除术的可及性:一项全国性调查
慢性肾脏疾病(CKD)可导致继发性甲状旁腺功能亢进(SHP),其治疗基于控制高磷血症、低钙血症和血清甲状旁腺激素水平(PTH)水平。尽管SHP治疗取得了进展,但治疗失败是常见的,透析的CKD患者需要甲状旁腺切除术(PTx)。目的:更新2011年的调查,估计目前巴西透析中心SHP的患病率,验证药物的可及性,并确定实施PTx的障碍。方法:向现役透析机构发放问卷。对结果进行统计比较(p < 0.05)。结果:共有114家机构成功回答了问卷,其中大部分在东南地区。大约9%的人(23,535人)血清甲状旁腺激素水平高于1,000 pg/mL(2011年调查报告为10.7%)。相当多报告的困难表明,用于SHP管理和相关并发症的关键药物的可用性有限。值得注意的是,只有2.7%的个体被提交到PTx。对于那些有PTx指征的患者,28%的病例等待手术的时间超过两年。据报道,实施PTx的主要障碍是PTx的等待时间长、头颈外科医生短缺以及住院病房床位不足。结论:自2011年以来,一些方面有所改善。然而,SHP在巴西仍然非常普遍,相当多的人无法获得PTx或经历长时间等待手术,同时在获得临床治疗方面面临很大困难。
本文章由计算机程序翻译,如有差异,请以英文原文为准。
求助全文
约1分钟内获得全文 求助全文
来源期刊
CiteScore
2.20
自引率
16.70%
发文量
208
审稿时长
16 weeks
×
引用
GB/T 7714-2015
复制
MLA
复制
APA
复制
导出至
BibTeX EndNote RefMan NoteFirst NoteExpress
×
提示
您的信息不完整,为了账户安全,请先补充。
现在去补充
×
提示
您因"违规操作"
具体请查看互助需知
我知道了
×
提示
确定
请完成安全验证×
copy
已复制链接
快去分享给好友吧!
我知道了
右上角分享
点击右上角分享
0
联系我们:info@booksci.cn Book学术提供免费学术资源搜索服务,方便国内外学者检索中英文文献。致力于提供最便捷和优质的服务体验。 Copyright © 2023 布克学术 All rights reserved.
京ICP备2023020795号-1
ghs 京公网安备 11010802042870号
Book学术文献互助
Book学术文献互助群
群 号:604180095
Book学术官方微信