Characterizing psychological states in professional athletes through EEG: sex-based differences.

IF 4.9 3区 生物学 Q1 BIOLOGY
EXCLI Journal Pub Date : 2025-01-03 eCollection Date: 2025-01-01 DOI:10.17179/excli2024-7980
Kittichai Tharawadeepimuk, Ampika Nanbancha, Ekarat Onnom
{"title":"Characterizing psychological states in professional athletes through EEG: sex-based differences.","authors":"Kittichai Tharawadeepimuk, Ampika Nanbancha, Ekarat Onnom","doi":"10.17179/excli2024-7980","DOIUrl":null,"url":null,"abstract":"<p><p>The psychological states are essential to maintain a healthy balance and optimize performance, especially in athletes. Sex-related differences in elite athletes are one of the important factors, which are ambiguous. This study aims to explore sex differences in psychological states of 36 professional athletes (12M/24F, 21.6±3.9 y, 166.3±8.9 cm, 56.4±11.3 kg, mean±SD) in the lead-up to a major international competition using objective (quantitative electroencephalogram, QEEG) and subjective measures (Athletic Coping Skills Inventory, ASCI-28). Participants included fifteen gymnasts, eleven swimmers, and ten e-sports players. QEEG measurements were collected during 5 minutes at rest before athletes completed the ASCI-28 scale. Data were obtained during training camp within 3 months before the competition. QEEG data were analyzed using a generalized linear mixed modeling (GLMM) to report the linear predictor of QEEG in brain areas (random) and sex (fixed). A multivariate analysis of variance (MANOVA) was applied to ACSI-28 subscales data to compare sex groups. Female athletes exhibited higher EEG activity in the theta power in the parietal and occipital areas and the beta power in the pre-frontal and temporal areas. Furthermore, significant sex differences were found in the coping with adversity (<i>p</i> =0.038) and goal setting/mental preparation subscales of the ACSI-28. The correlations between the QEEG and questionnaire scores were low to moderate correlations for female athletes, and moderate correlations for male athletes. A significant correlation was observed in both male and female athletes between activity in the temporal region within theta and beta frequency bands (QEEG), and the coping with aversity subscale (questionnaire). These findings provide valuable insights for sports psychologists to design appropriate psychological interventions and for future studies examining the impact of differential psychological interventions for male and female athletes to optimize well-being and performance.</p>","PeriodicalId":12247,"journal":{"name":"EXCLI Journal","volume":"24 ","pages":"1-14"},"PeriodicalIF":4.9000,"publicationDate":"2025-01-03","publicationTypes":"Journal Article","fieldsOfStudy":null,"isOpenAccess":false,"openAccessPdf":"https://www.ncbi.nlm.nih.gov/pmc/articles/PMC11847956/pdf/","citationCount":"0","resultStr":null,"platform":"Semanticscholar","paperid":null,"PeriodicalName":"EXCLI Journal","FirstCategoryId":"99","ListUrlMain":"https://doi.org/10.17179/excli2024-7980","RegionNum":3,"RegionCategory":"生物学","ArticlePicture":[],"TitleCN":null,"AbstractTextCN":null,"PMCID":null,"EPubDate":"2025/1/1 0:00:00","PubModel":"eCollection","JCR":"Q1","JCRName":"BIOLOGY","Score":null,"Total":0}
引用次数: 0

Abstract

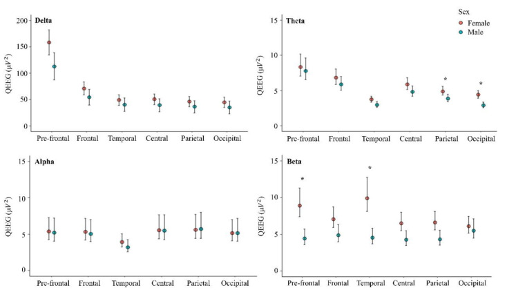
The psychological states are essential to maintain a healthy balance and optimize performance, especially in athletes. Sex-related differences in elite athletes are one of the important factors, which are ambiguous. This study aims to explore sex differences in psychological states of 36 professional athletes (12M/24F, 21.6±3.9 y, 166.3±8.9 cm, 56.4±11.3 kg, mean±SD) in the lead-up to a major international competition using objective (quantitative electroencephalogram, QEEG) and subjective measures (Athletic Coping Skills Inventory, ASCI-28). Participants included fifteen gymnasts, eleven swimmers, and ten e-sports players. QEEG measurements were collected during 5 minutes at rest before athletes completed the ASCI-28 scale. Data were obtained during training camp within 3 months before the competition. QEEG data were analyzed using a generalized linear mixed modeling (GLMM) to report the linear predictor of QEEG in brain areas (random) and sex (fixed). A multivariate analysis of variance (MANOVA) was applied to ACSI-28 subscales data to compare sex groups. Female athletes exhibited higher EEG activity in the theta power in the parietal and occipital areas and the beta power in the pre-frontal and temporal areas. Furthermore, significant sex differences were found in the coping with adversity (p =0.038) and goal setting/mental preparation subscales of the ACSI-28. The correlations between the QEEG and questionnaire scores were low to moderate correlations for female athletes, and moderate correlations for male athletes. A significant correlation was observed in both male and female athletes between activity in the temporal region within theta and beta frequency bands (QEEG), and the coping with aversity subscale (questionnaire). These findings provide valuable insights for sports psychologists to design appropriate psychological interventions and for future studies examining the impact of differential psychological interventions for male and female athletes to optimize well-being and performance.

Abstract Image

Abstract Image

Abstract Image

通过脑电图表征职业运动员的心理状态:性别差异。
心理状态对于保持健康的平衡和优化表现至关重要,尤其是对运动员而言。优秀运动员的性别差异是其中一个重要因素,但这一因素尚不明确。本研究旨在通过客观(定量脑电图,QEEG)和主观测量(运动应对技能量表,ASCI-28),探讨36名职业运动员(12M/24F, 21.6±3.9 y, 166.3±8.9 cm, 56.4±11.3 kg,平均±SD)在重大国际比赛前的心理状态的性别差异。参与者包括15名体操运动员、11名游泳运动员和10名电子竞技选手。在运动员完成ASCI-28量表前,在休息5分钟时收集QEEG测量值。数据采集于比赛前3个月的训练营期间。采用广义线性混合模型(GLMM)分析QEEG数据,报告脑区(随机)和性别(固定)QEEG的线性预测因子。采用多变量方差分析(MANOVA)对ACSI-28亚量表数据进行比较。女性运动员在顶叶和枕叶区域的θ波功率和前额叶和颞叶区域的β波功率表现出更高的脑电图活动。此外,在ACSI-28的逆境应对和目标设定/心理准备量表中,存在显著的性别差异(p =0.038)。女性运动员的QEEG与问卷得分呈低至中度相关,男性运动员的QEEG与问卷得分呈中度相关。男性和女性运动员在theta和beta频段内的颞区活动(QEEG)与应对厌恶量表(问卷)之间存在显著相关。这些发现为运动心理学家设计适当的心理干预提供了有价值的见解,并为未来的研究检验不同心理干预对男女运动员优化健康和表现的影响提供了宝贵的见解。
本文章由计算机程序翻译,如有差异,请以英文原文为准。
求助全文
约1分钟内获得全文 求助全文
来源期刊
EXCLI Journal
EXCLI Journal BIOLOGY-
CiteScore
8.00
自引率
2.20%
发文量
65
审稿时长
6-12 weeks
期刊介绍: EXCLI Journal publishes original research reports, authoritative reviews and case reports of experimental and clinical sciences. The journal is particularly keen to keep a broad view of science and technology, and therefore welcomes papers which bridge disciplines and may not suit the narrow specialism of other journals. Although the general emphasis is on biological sciences, studies from the following fields are explicitly encouraged (alphabetical order): aging research, behavioral sciences, biochemistry, cell biology, chemistry including analytical chemistry, clinical and preclinical studies, drug development, environmental health, ergonomics, forensic medicine, genetics, hepatology and gastroenterology, immunology, neurosciences, occupational medicine, oncology and cancer research, pharmacology, proteomics, psychiatric research, psychology, systems biology, toxicology
×
引用
GB/T 7714-2015
复制
MLA
复制
APA
复制
导出至
BibTeX EndNote RefMan NoteFirst NoteExpress
×
提示
您的信息不完整,为了账户安全,请先补充。
现在去补充
×
提示
您因"违规操作"
具体请查看互助需知
我知道了
×
提示
确定
请完成安全验证×
copy
已复制链接
快去分享给好友吧!
我知道了
右上角分享
点击右上角分享
0
联系我们:info@booksci.cn Book学术提供免费学术资源搜索服务,方便国内外学者检索中英文文献。致力于提供最便捷和优质的服务体验。 Copyright © 2023 布克学术 All rights reserved.
京ICP备2023020795号-1
ghs 京公网安备 11010802042870号
Book学术文献互助
Book学术文献互助群
群 号:604180095
Book学术官方微信