Design and validation of an alignment free adaptive joint torque measurement system.

IF 2.9 4区 医学 Q3 ENGINEERING, BIOMEDICAL
Lei Li, Jingcheng Chen, Shaoming Sun, Wei Peng
{"title":"Design and validation of an alignment free adaptive joint torque measurement system.","authors":"Lei Li, Jingcheng Chen, Shaoming Sun, Wei Peng","doi":"10.1186/s12938-025-01356-x","DOIUrl":null,"url":null,"abstract":"<p><strong>Purpose: </strong>This study introduces a transferable alignment-free adaptive joint torque measurement (AFAJTM) system designed to resolve inconsistencies in torque measurements caused by misalignment between dynamometer and joint rotational axes, improving accuracy and reliability in joint torque assessment.</p><p><strong>Method: </strong>This study presents the design and control methodology of an alignment free adaptive joint torque measurement system. An elbow joint torque measurement device (EJTMD) was developed, and its torque consistency and repeatability were evaluated at various misalignment positions using a joint simulation model. Clinical experiments compared torque measurements between the EJTMD and a traditional standard dynamometer during maximum voluntary contraction (MVC) tests at different misalignment positions.</p><p><strong>Result: </strong>The simulation test results demonstrate that the AFAJTM system can achieve high-precision torque measurements, with measurement errors controlled within ± 0.5 Nm at various misalignment positions. Clinical experiment data show that the EJTMD exhibits high consistency in torque measurements compared to the traditional standard dynamometer across five different misalignment positions, with strong repeatability and reliability.</p><p><strong>Conclusion: </strong>The AFAJTM system provides a novel solution for joint torque measurement under human-machine axis misalignment conditions, a solution that eliminates the need for axis alignment, effectively overcoming the limitations of traditional measurement devices. This system can be widely applied in various devices that require joint torque measurement, demonstrating excellent adaptability and high-precision measurement capabilities.</p>","PeriodicalId":8927,"journal":{"name":"BioMedical Engineering OnLine","volume":"24 1","pages":"25"},"PeriodicalIF":2.9000,"publicationDate":"2025-02-24","publicationTypes":"Journal Article","fieldsOfStudy":null,"isOpenAccess":false,"openAccessPdf":"https://www.ncbi.nlm.nih.gov/pmc/articles/PMC11852568/pdf/","citationCount":"0","resultStr":null,"platform":"Semanticscholar","paperid":null,"PeriodicalName":"BioMedical Engineering OnLine","FirstCategoryId":"5","ListUrlMain":"https://doi.org/10.1186/s12938-025-01356-x","RegionNum":4,"RegionCategory":"医学","ArticlePicture":[],"TitleCN":null,"AbstractTextCN":null,"PMCID":null,"EPubDate":"","PubModel":"","JCR":"Q3","JCRName":"ENGINEERING, BIOMEDICAL","Score":null,"Total":0}
引用次数: 0

Abstract

Purpose: This study introduces a transferable alignment-free adaptive joint torque measurement (AFAJTM) system designed to resolve inconsistencies in torque measurements caused by misalignment between dynamometer and joint rotational axes, improving accuracy and reliability in joint torque assessment.

Method: This study presents the design and control methodology of an alignment free adaptive joint torque measurement system. An elbow joint torque measurement device (EJTMD) was developed, and its torque consistency and repeatability were evaluated at various misalignment positions using a joint simulation model. Clinical experiments compared torque measurements between the EJTMD and a traditional standard dynamometer during maximum voluntary contraction (MVC) tests at different misalignment positions.

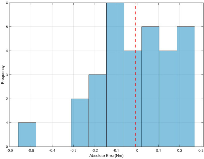
Result: The simulation test results demonstrate that the AFAJTM system can achieve high-precision torque measurements, with measurement errors controlled within ± 0.5 Nm at various misalignment positions. Clinical experiment data show that the EJTMD exhibits high consistency in torque measurements compared to the traditional standard dynamometer across five different misalignment positions, with strong repeatability and reliability.

Conclusion: The AFAJTM system provides a novel solution for joint torque measurement under human-machine axis misalignment conditions, a solution that eliminates the need for axis alignment, effectively overcoming the limitations of traditional measurement devices. This system can be widely applied in various devices that require joint torque measurement, demonstrating excellent adaptability and high-precision measurement capabilities.

Abstract Image

Abstract Image

Abstract Image

无对中自适应关节扭矩测量系统的设计与验证。
目的:介绍一种可转移无对准自适应关节扭矩测量系统(AFAJTM),旨在解决因测力机与关节旋转轴不对准而导致的扭矩测量不一致的问题,提高关节扭矩评估的准确性和可靠性。方法:研究了一种无对中自适应关节扭矩测量系统的设计和控制方法。研制了一种弯头扭矩测量装置(EJTMD),利用关节仿真模型对其在不同失对位置下的扭矩一致性和可重复性进行了评价。临床实验比较了EJTMD和传统标准测力仪在不同错位位置进行最大自主收缩(MVC)测试时的扭矩测量结果。结果:仿真测试结果表明,AFAJTM系统可以实现高精度扭矩测量,在不同的不对中位置测量误差控制在±0.5 Nm以内。临床实验数据表明,与传统的标准测力仪相比,EJTMD在五种不同的错位位置上的扭矩测量具有很高的一致性,具有很强的重复性和可靠性。结论:AFAJTM系统为人机轴不对中情况下的关节扭矩测量提供了一种新颖的解决方案,该方案无需轴对中,有效克服了传统测量设备的局限性。该系统可广泛应用于各种需要关节扭矩测量的设备中,具有良好的适应性和高精度测量能力。
本文章由计算机程序翻译,如有差异,请以英文原文为准。
求助全文
约1分钟内获得全文 求助全文
来源期刊
BioMedical Engineering OnLine
BioMedical Engineering OnLine 工程技术-工程:生物医学
CiteScore
6.70
自引率
2.60%
发文量
79
审稿时长
1 months
期刊介绍: BioMedical Engineering OnLine is an open access, peer-reviewed journal that is dedicated to publishing research in all areas of biomedical engineering. BioMedical Engineering OnLine is aimed at readers and authors throughout the world, with an interest in using tools of the physical and data sciences and techniques in engineering to understand and solve problems in the biological and medical sciences. Topical areas include, but are not limited to: Bioinformatics- Bioinstrumentation- Biomechanics- Biomedical Devices & Instrumentation- Biomedical Signal Processing- Healthcare Information Systems- Human Dynamics- Neural Engineering- Rehabilitation Engineering- Biomaterials- Biomedical Imaging & Image Processing- BioMEMS and On-Chip Devices- Bio-Micro/Nano Technologies- Biomolecular Engineering- Biosensors- Cardiovascular Systems Engineering- Cellular Engineering- Clinical Engineering- Computational Biology- Drug Delivery Technologies- Modeling Methodologies- Nanomaterials and Nanotechnology in Biomedicine- Respiratory Systems Engineering- Robotics in Medicine- Systems and Synthetic Biology- Systems Biology- Telemedicine/Smartphone Applications in Medicine- Therapeutic Systems, Devices and Technologies- Tissue Engineering
×
引用
GB/T 7714-2015
复制
MLA
复制
APA
复制
导出至
BibTeX EndNote RefMan NoteFirst NoteExpress
×
提示
您的信息不完整,为了账户安全,请先补充。
现在去补充
×
提示
您因"违规操作"
具体请查看互助需知
我知道了
×
提示
确定
请完成安全验证×
copy
已复制链接
快去分享给好友吧!
我知道了
右上角分享
点击右上角分享
0
联系我们:info@booksci.cn Book学术提供免费学术资源搜索服务,方便国内外学者检索中英文文献。致力于提供最便捷和优质的服务体验。 Copyright © 2023 布克学术 All rights reserved.
京ICP备2023020795号-1
ghs 京公网安备 11010802042870号
Book学术文献互助
Book学术文献互助群
群 号:604180095
Book学术官方微信