Elacestrant in hormone receptor-positive metastatic breast cancer: a post-hoc analysis.

Q3 Medicine
Exploration of targeted anti-tumor therapy Pub Date : 2025-02-20 eCollection Date: 2025-01-01 DOI:10.37349/etat.2025.1002293
Azza Sarfraz, Muzna Sarfraz, Faheem Javad, Musfira Khalid, Bushra Shah, Amna Gul, Mohammad Arfat Ganiyani, Areeba Ismail, Khadija Cheema
{"title":"Elacestrant in hormone receptor-positive metastatic breast cancer: a post-hoc analysis.","authors":"Azza Sarfraz, Muzna Sarfraz, Faheem Javad, Musfira Khalid, Bushra Shah, Amna Gul, Mohammad Arfat Ganiyani, Areeba Ismail, Khadija Cheema","doi":"10.37349/etat.2025.1002293","DOIUrl":null,"url":null,"abstract":"<p><strong>Background: </strong>Breast cancer is a leading cause of mortality in women. Hormone therapy plays a crucial role in treatment of hormone receptor-positive metastatic breast cancer. Elacestrant is a selective estrogen receptor degrader (SERD) that has shown promise in early-phase clinical trials. This post-hoc analysis systematically evaluates elacestrant's effectiveness in hormone receptor-positive metastatic breast cancer patients, providing insights into its efficacy, safety, and potential advantages over existing treatments.</p><p><strong>Methods: </strong>We adhered to the PRISMA Statement 2020 guidelines and systematically searched the databases PubMed/MEDLINE, ClinicalTrials.gov, Web of Science, and Embase. We conducted the post-hoc analysis using R software (V 4.3.3), applying the inverse variance method and the DerSimonian-Laird estimator to pool effect estimates with a random-effects model. We assessed heterogeneity using the Cochran's Q test and the <i>I</i> <sup>2</sup> statistic.</p><p><strong>Results: </strong>Our post-hoc analysis encompassed 3 clinical trials and a total of 835 participants. The mean age of all 835 participants across the three trials was 59.5 years (95% CI: 58.7-60.3). The pooled progression-free survival (PFS)-was estimated at 4.38 (95% CI: -7.58-16.35, <i>P</i> = 0.47), and the pooled objective response rate (ORR) was 7% (95% CI: 2-18%, <i>P</i> = 0.04), with significant heterogeneity observed among the studies.</p><p><strong>Discussion: </strong>Elacestrant shows promise for improving outcomes in hormone receptor-positive metastatic breast cancer, but further research is needed to confirm its effectiveness. Future studies should include larger sample sizes, comprehensive phase II and III trials, and investigation of elacestrant in combination with other drugs or in preoperative settings.</p>","PeriodicalId":73002,"journal":{"name":"Exploration of targeted anti-tumor therapy","volume":"6 ","pages":"1002293"},"PeriodicalIF":0.0000,"publicationDate":"2025-02-20","publicationTypes":"Journal Article","fieldsOfStudy":null,"isOpenAccess":false,"openAccessPdf":"https://www.ncbi.nlm.nih.gov/pmc/articles/PMC11847623/pdf/","citationCount":"0","resultStr":null,"platform":"Semanticscholar","paperid":null,"PeriodicalName":"Exploration of targeted anti-tumor therapy","FirstCategoryId":"1085","ListUrlMain":"https://doi.org/10.37349/etat.2025.1002293","RegionNum":0,"RegionCategory":null,"ArticlePicture":[],"TitleCN":null,"AbstractTextCN":null,"PMCID":null,"EPubDate":"2025/1/1 0:00:00","PubModel":"eCollection","JCR":"Q3","JCRName":"Medicine","Score":null,"Total":0}
引用次数: 0

Abstract

Background: Breast cancer is a leading cause of mortality in women. Hormone therapy plays a crucial role in treatment of hormone receptor-positive metastatic breast cancer. Elacestrant is a selective estrogen receptor degrader (SERD) that has shown promise in early-phase clinical trials. This post-hoc analysis systematically evaluates elacestrant's effectiveness in hormone receptor-positive metastatic breast cancer patients, providing insights into its efficacy, safety, and potential advantages over existing treatments.

Methods: We adhered to the PRISMA Statement 2020 guidelines and systematically searched the databases PubMed/MEDLINE, ClinicalTrials.gov, Web of Science, and Embase. We conducted the post-hoc analysis using R software (V 4.3.3), applying the inverse variance method and the DerSimonian-Laird estimator to pool effect estimates with a random-effects model. We assessed heterogeneity using the Cochran's Q test and the I 2 statistic.

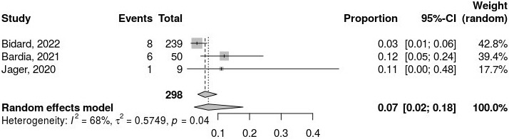
Results: Our post-hoc analysis encompassed 3 clinical trials and a total of 835 participants. The mean age of all 835 participants across the three trials was 59.5 years (95% CI: 58.7-60.3). The pooled progression-free survival (PFS)-was estimated at 4.38 (95% CI: -7.58-16.35, P = 0.47), and the pooled objective response rate (ORR) was 7% (95% CI: 2-18%, P = 0.04), with significant heterogeneity observed among the studies.

Discussion: Elacestrant shows promise for improving outcomes in hormone receptor-positive metastatic breast cancer, but further research is needed to confirm its effectiveness. Future studies should include larger sample sizes, comprehensive phase II and III trials, and investigation of elacestrant in combination with other drugs or in preoperative settings.

Abstract Image

Abstract Image

Abstract Image

激素受体阳性的转移性乳腺癌中的松解剂:事后分析。
背景:乳腺癌是女性死亡的主要原因。激素治疗在激素受体阳性转移性乳腺癌的治疗中起着至关重要的作用。Elacestrant是一种选择性雌激素受体降解剂(SERD),在早期临床试验中显示出前景。这项事后分析系统地评估了elacestrant在激素受体阳性转移性乳腺癌患者中的有效性,为其疗效、安全性和与现有治疗方法相比的潜在优势提供了见解。方法:我们遵循PRISMA声明2020指南,系统检索PubMed/MEDLINE、ClinicalTrials.gov、Web of Science和Embase数据库。我们使用R软件(v4.3.3)进行事后分析,采用方差逆方法和dersimonan - laird估计器,对随机效应模型进行效应估计。我们使用Cochran’s Q检验和i2统计量评估异质性。结果:我们的事后分析包括3个临床试验,共有835名参与者。三个试验中所有835名参与者的平均年龄为59.5岁(95% CI: 58.7-60.3)。合并无进展生存期(PFS)估计为4.38 (95% CI: -7.58-16.35, P = 0.47),合并客观缓解率(ORR)为7% (95% CI: 2-18%, P = 0.04),研究间存在显著异质性。讨论:Elacestrant有望改善激素受体阳性转移性乳腺癌的预后,但需要进一步的研究来证实其有效性。未来的研究应该包括更大的样本量,全面的II期和III期试验,以及对乳化剂与其他药物联合使用或在术前使用的研究。
本文章由计算机程序翻译,如有差异,请以英文原文为准。
求助全文
约1分钟内获得全文 求助全文
来源期刊
CiteScore
2.80
自引率
0.00%
发文量
0
审稿时长
13 weeks
×
引用
GB/T 7714-2015
复制
MLA
复制
APA
复制
导出至
BibTeX EndNote RefMan NoteFirst NoteExpress
×
提示
您的信息不完整,为了账户安全,请先补充。
现在去补充
×
提示
您因"违规操作"
具体请查看互助需知
我知道了
×
提示
确定
请完成安全验证×
copy
已复制链接
快去分享给好友吧!
我知道了
右上角分享
点击右上角分享
0
联系我们:info@booksci.cn Book学术提供免费学术资源搜索服务,方便国内外学者检索中英文文献。致力于提供最便捷和优质的服务体验。 Copyright © 2023 布克学术 All rights reserved.
京ICP备2023020795号-1
ghs 京公网安备 11010802042870号
Book学术文献互助
Book学术文献互助群
群 号:604180095
Book学术官方微信