Parasympathetic Responses to Face Cooling in Adolescents with Sport-Related Concussion and After Clinical Recovery.

IF 1.8 Q3 CLINICAL NEUROLOGY
Neurotrauma reports Pub Date : 2025-01-23 eCollection Date: 2025-01-01 DOI:10.1089/neur.2024.0138
Mohammad N Haider, Haley M Chizuk, Blair D Johnson, Joel S Burma, Jaffer A Sayeed, Emma Anderson, Barry S Willer, John J Leddy
{"title":"Parasympathetic Responses to Face Cooling in Adolescents with Sport-Related Concussion and After Clinical Recovery.","authors":"Mohammad N Haider, Haley M Chizuk, Blair D Johnson, Joel S Burma, Jaffer A Sayeed, Emma Anderson, Barry S Willer, John J Leddy","doi":"10.1089/neur.2024.0138","DOIUrl":null,"url":null,"abstract":"<p><p>Face cooling (FC) initiates the mammalian dive reflex, which elicits a parasympathetic autonomic response. In our pilot study, collegiate athletes had a blunted parasympathetic response to FC within 10 days of sport-related concussion (SRC). The objective of the current study was to assess the FC response in adolescent athletes with acute SRC and after clinical recovery. Symptomatic adolescents with SRC (<i>n</i> = 23, 15.48 ± 1.2 years, 52% male) had heart rate (HR) and blood pressure (BP) measured during the FC test (7.83 ± 2.5 days since injury) and again after clinical recovery (46.44 ± 36.4 days later). Controls (<i>n</i> = 24, 15.83 ± 1.6 years, 58% male) performed the same assessments twice (48.00 ± 18.9 days apart). The main outcome measures were the rate of change in HR and HR variability (HRV) during the first 2 min of FC. Throughout FC, we found no significant differences between groups at the initial visit in the rate of change for HR (mean difference = 2.58 [-0.33, 5.50] bpm/min, <i>p</i> = 0.082), mean arterial BP (-0.02 [-3.49, 3.45] mmHg/min, <i>p</i> = 0.990), root mean square of successive differences (-13.46 [-34.02, 7.10] ms/min, <i>p</i> = 0.197) or low to high-frequency ratio (0.24 [-0.77, 1.25], <i>p</i> = 0.637). We also found no differences in our main outcome measures among concussed adolescents with delayed recovery (<i>n</i> = 10) compared with those with normal recovery (<i>n</i> = 13). A history of prior concussion had a significant effect on the HR and HRV responses to FC, suggesting that SRC may have prolonged effects on the autonomic nervous system (ANS). We conclude that acutely concussed adolescents do not differ from controls in parasympathetic response to FC acutely or upon recovery but that a history of concussion affects this response. We recommend that future studies control for concussion history when investigating the ANS in concussed adolescents.</p>","PeriodicalId":74300,"journal":{"name":"Neurotrauma reports","volume":"6 1","pages":"93-105"},"PeriodicalIF":1.8000,"publicationDate":"2025-01-23","publicationTypes":"Journal Article","fieldsOfStudy":null,"isOpenAccess":false,"openAccessPdf":"https://www.ncbi.nlm.nih.gov/pmc/articles/PMC11839524/pdf/","citationCount":"0","resultStr":null,"platform":"Semanticscholar","paperid":null,"PeriodicalName":"Neurotrauma reports","FirstCategoryId":"1085","ListUrlMain":"https://doi.org/10.1089/neur.2024.0138","RegionNum":0,"RegionCategory":null,"ArticlePicture":[],"TitleCN":null,"AbstractTextCN":null,"PMCID":null,"EPubDate":"2025/1/1 0:00:00","PubModel":"eCollection","JCR":"Q3","JCRName":"CLINICAL NEUROLOGY","Score":null,"Total":0}
引用次数: 0

Abstract

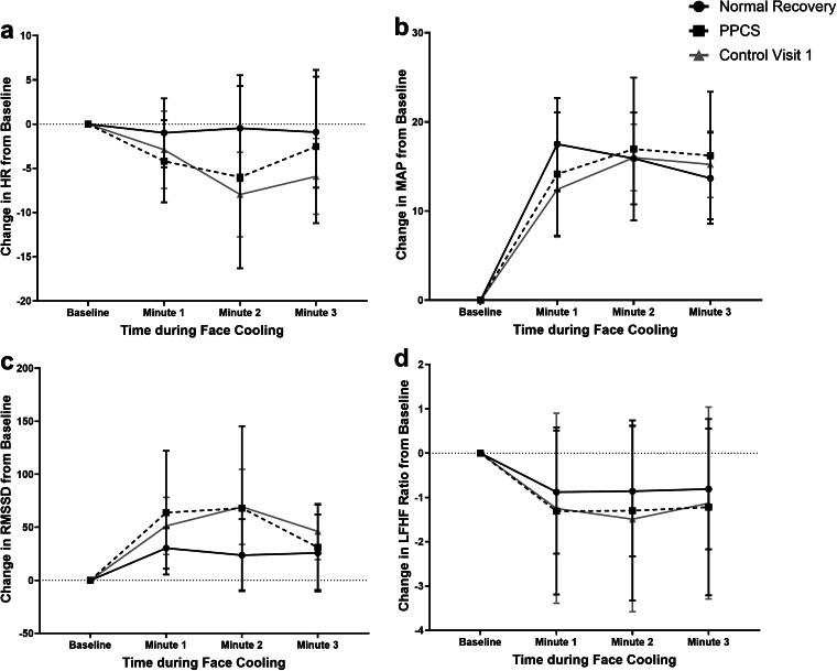
Face cooling (FC) initiates the mammalian dive reflex, which elicits a parasympathetic autonomic response. In our pilot study, collegiate athletes had a blunted parasympathetic response to FC within 10 days of sport-related concussion (SRC). The objective of the current study was to assess the FC response in adolescent athletes with acute SRC and after clinical recovery. Symptomatic adolescents with SRC (n = 23, 15.48 ± 1.2 years, 52% male) had heart rate (HR) and blood pressure (BP) measured during the FC test (7.83 ± 2.5 days since injury) and again after clinical recovery (46.44 ± 36.4 days later). Controls (n = 24, 15.83 ± 1.6 years, 58% male) performed the same assessments twice (48.00 ± 18.9 days apart). The main outcome measures were the rate of change in HR and HR variability (HRV) during the first 2 min of FC. Throughout FC, we found no significant differences between groups at the initial visit in the rate of change for HR (mean difference = 2.58 [-0.33, 5.50] bpm/min, p = 0.082), mean arterial BP (-0.02 [-3.49, 3.45] mmHg/min, p = 0.990), root mean square of successive differences (-13.46 [-34.02, 7.10] ms/min, p = 0.197) or low to high-frequency ratio (0.24 [-0.77, 1.25], p = 0.637). We also found no differences in our main outcome measures among concussed adolescents with delayed recovery (n = 10) compared with those with normal recovery (n = 13). A history of prior concussion had a significant effect on the HR and HRV responses to FC, suggesting that SRC may have prolonged effects on the autonomic nervous system (ANS). We conclude that acutely concussed adolescents do not differ from controls in parasympathetic response to FC acutely or upon recovery but that a history of concussion affects this response. We recommend that future studies control for concussion history when investigating the ANS in concussed adolescents.

Abstract Image

Abstract Image

Abstract Image

青少年运动相关脑震荡及临床康复后的副交感神经对面部冷却的反应。
面部冷却(FC)启动哺乳动物潜水反射,引发副交感神经自主反应。在我们的初步研究中,大学生运动员在运动相关脑震荡(SRC)后10天内对FC的副交感神经反应减弱。本研究的目的是评估患有急性SRC的青少年运动员和临床康复后的FC反应。有症状的青少年SRC (n = 23, 15.48±1.2岁,52%男性)在伤后(7.83±2.5天)和临床恢复后(46.44±36.4天)分别测量心率(HR)和血压(BP)。对照组(n = 24,年龄15.83±1.6岁,58%男性)进行了两次相同的评估(间隔48.00±18.9天)。主要结局指标是FC前2分钟内HR变化率和HR变异性(HRV)。在整个过程中,我们发现两组在初次就诊时心率变化率(平均差异= 2.58 [-0.33,5.50]bpm/min, p = 0.082)、平均动脉血压(-0.02 [-3.49,3.45]mmHg/min, p = 0.990)、连续差异的均方根(-13.46 [-34.02,7.10]ms/min, p = 0.197)或低高频比(0.24 [-0.77,1.25],p = 0.637)均无显著差异。我们还发现,与正常恢复的青少年(n = 13)相比,延迟恢复的脑震荡青少年(n = 10)的主要结局指标没有差异。先前的脑震荡史对FC的HR和HRV反应有显著影响,表明SRC可能对自主神经系统(ANS)有长期影响。我们的结论是,急性脑震荡的青少年在急性或恢复后对FC的副交感神经反应与对照组没有区别,但脑震荡史会影响这种反应。我们建议未来的研究在调查脑震荡青少年的ANS时对照脑震荡史。
本文章由计算机程序翻译,如有差异,请以英文原文为准。
求助全文
约1分钟内获得全文 求助全文
来源期刊
CiteScore
2.40
自引率
0.00%
发文量
0
审稿时长
8 weeks
×
引用
GB/T 7714-2015
复制
MLA
复制
APA
复制
导出至
BibTeX EndNote RefMan NoteFirst NoteExpress
×
提示
您的信息不完整,为了账户安全,请先补充。
现在去补充
×
提示
您因"违规操作"
具体请查看互助需知
我知道了
×
提示
确定
请完成安全验证×
copy
已复制链接
快去分享给好友吧!
我知道了
右上角分享
点击右上角分享
0
联系我们:info@booksci.cn Book学术提供免费学术资源搜索服务,方便国内外学者检索中英文文献。致力于提供最便捷和优质的服务体验。 Copyright © 2023 布克学术 All rights reserved.
京ICP备2023020795号-1
ghs 京公网安备 11010802042870号
Book学术文献互助
Book学术文献互助群
群 号:604180095
Book学术官方微信