Clinical outcomes of esophageal squamous cell carcinoma in patients aged over 80 years.

IF 2.4 4区 医学 Q2 MEDICINE, GENERAL & INTERNAL
Korean Journal of Internal Medicine Pub Date : 2025-03-01 Epub Date: 2025-02-21 DOI:10.3904/kjim.2024.201
Dae Gon Ryu, Cheol Woong Choi, Su Jin Kim, Su Bum Park, Jin Ook Jang, Bong Soo Son
{"title":"Clinical outcomes of esophageal squamous cell carcinoma in patients aged over 80 years.","authors":"Dae Gon Ryu, Cheol Woong Choi, Su Jin Kim, Su Bum Park, Jin Ook Jang, Bong Soo Son","doi":"10.3904/kjim.2024.201","DOIUrl":null,"url":null,"abstract":"<p><strong>Background/aims: </strong>The clinical outcomes and optimal treatment of esophageal squamous cell carcinoma (ESCC) in elderly patients are unclear. This study aimed to assess the clinical outcomes of ESCC in patients aged ≥ 80 years.</p><p><strong>Methods: </strong>Medical records of patients diagnosed with ESCC between December 2008 and February 2024 were retrospectively reviewed. In total, 479 patients with ESCC were included and divided into the elderly (n = 52) and younger (n = 427) groups based on age. The clinical outcomes and survival rates, according to treatment, were compared between the two groups.</p><p><strong>Results: </strong>The median ages of the two groups were 82 years (range, 80-95 yr) and 66 years (41-79 yr). The overall survival was slightly lower in the elderly group; however, no statistical significance (hazard ratio [HR] 1.27, 95% confidence interval [CI] 0.85-1.91; p = 0.238) was observed. No differences were observed in the outcomes or survival between the two groups according to the treatment method (surgery, chemoradiotherapy or radiotherapy alone, and endoscopic resection). The elderly group was more likely to receive no treatment for cancer (30.8% vs. 13.6%, p = 0.002) than the younger group. However, when there was no treatment for cancer in the elderly group, survival was significantly lower than when treatment was administered (HR 0.08, 95% CI 0.03-020; p < 0.001).</p><p><strong>Conclusion: </strong>In patients with ESCC aged ≥ 80 years, active cancer treatment was beneficial, and the results did not differ from those of younger patients.</p>","PeriodicalId":48785,"journal":{"name":"Korean Journal of Internal Medicine","volume":" ","pages":"230-242"},"PeriodicalIF":2.4000,"publicationDate":"2025-03-01","publicationTypes":"Journal Article","fieldsOfStudy":null,"isOpenAccess":false,"openAccessPdf":"https://www.ncbi.nlm.nih.gov/pmc/articles/PMC11938664/pdf/","citationCount":"0","resultStr":null,"platform":"Semanticscholar","paperid":null,"PeriodicalName":"Korean Journal of Internal Medicine","FirstCategoryId":"3","ListUrlMain":"https://doi.org/10.3904/kjim.2024.201","RegionNum":4,"RegionCategory":"医学","ArticlePicture":[],"TitleCN":null,"AbstractTextCN":null,"PMCID":null,"EPubDate":"2025/2/21 0:00:00","PubModel":"Epub","JCR":"Q2","JCRName":"MEDICINE, GENERAL & INTERNAL","Score":null,"Total":0}
引用次数: 0

Abstract

Background/aims: The clinical outcomes and optimal treatment of esophageal squamous cell carcinoma (ESCC) in elderly patients are unclear. This study aimed to assess the clinical outcomes of ESCC in patients aged ≥ 80 years.

Methods: Medical records of patients diagnosed with ESCC between December 2008 and February 2024 were retrospectively reviewed. In total, 479 patients with ESCC were included and divided into the elderly (n = 52) and younger (n = 427) groups based on age. The clinical outcomes and survival rates, according to treatment, were compared between the two groups.

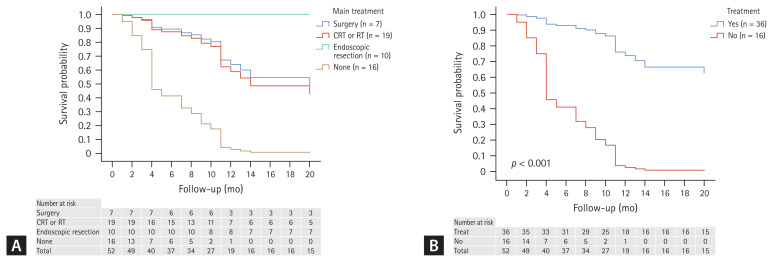
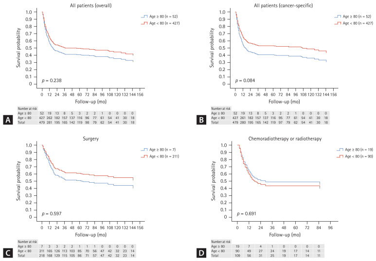
Results: The median ages of the two groups were 82 years (range, 80-95 yr) and 66 years (41-79 yr). The overall survival was slightly lower in the elderly group; however, no statistical significance (hazard ratio [HR] 1.27, 95% confidence interval [CI] 0.85-1.91; p = 0.238) was observed. No differences were observed in the outcomes or survival between the two groups according to the treatment method (surgery, chemoradiotherapy or radiotherapy alone, and endoscopic resection). The elderly group was more likely to receive no treatment for cancer (30.8% vs. 13.6%, p = 0.002) than the younger group. However, when there was no treatment for cancer in the elderly group, survival was significantly lower than when treatment was administered (HR 0.08, 95% CI 0.03-020; p < 0.001).

Conclusion: In patients with ESCC aged ≥ 80 years, active cancer treatment was beneficial, and the results did not differ from those of younger patients.

Abstract Image

Abstract Image

Abstract Image

80岁以上患者食管鳞状细胞癌的临床结果分析。
背景/目的:老年食管鳞状细胞癌(ESCC)的临床结局和最佳治疗尚不清楚。本研究旨在评估≥80岁ESCC患者的临床结果。方法:回顾性分析2008年12月至2024年2月诊断为ESCC的患者的医疗记录。共纳入479例ESCC患者,根据年龄分为老年组(n = 52)和年轻组(n = 427)。根据治疗方法,比较两组的临床结果和生存率。结果:两组患者中位年龄分别为82岁(80 ~ 95岁)和66岁(41 ~ 79岁)。老年组的总生存率略低;但无统计学意义(风险比[HR] 1.27, 95%可信区间[CI] 0.85-1.91;P = 0.238)。根据治疗方法(手术、放化疗或单纯放疗、内镜切除),两组患者的预后和生存期均无差异。与年轻人相比,老年人不接受癌症治疗的可能性更大(30.8%比13.6%,p = 0.002)。然而,当老年组不进行癌症治疗时,生存率明显低于接受治疗时(HR 0.08, 95% CI 0.03-020;P < 0.001)。结论:在年龄≥80岁的ESCC患者中,积极的癌症治疗是有益的,结果与年轻患者没有差异。
本文章由计算机程序翻译,如有差异,请以英文原文为准。
求助全文
约1分钟内获得全文 求助全文
来源期刊
Korean Journal of Internal Medicine
Korean Journal of Internal Medicine MEDICINE, GENERAL & INTERNAL-
CiteScore
5.10
自引率
4.20%
发文量
129
审稿时长
20 weeks
期刊介绍: The Korean Journal of Internal Medicine is an international medical journal published in English by the Korean Association of Internal Medicine. The Journal publishes peer-reviewed original articles, reviews, and editorials on all aspects of medicine, including clinical investigations and basic research. Both human and experimental animal studies are welcome, as are new findings on the epidemiology, pathogenesis, diagnosis, and treatment of diseases. Case reports will be published only in exceptional circumstances, when they illustrate a rare occurrence of clinical importance. Letters to the editor are encouraged for specific comments on published articles and general viewpoints.
×
引用
GB/T 7714-2015
复制
MLA
复制
APA
复制
导出至
BibTeX EndNote RefMan NoteFirst NoteExpress
×
提示
您的信息不完整,为了账户安全,请先补充。
现在去补充
×
提示
您因"违规操作"
具体请查看互助需知
我知道了
×
提示
确定
请完成安全验证×
copy
已复制链接
快去分享给好友吧!
我知道了
右上角分享
点击右上角分享
0
联系我们:info@booksci.cn Book学术提供免费学术资源搜索服务,方便国内外学者检索中英文文献。致力于提供最便捷和优质的服务体验。 Copyright © 2023 布克学术 All rights reserved.
京ICP备2023020795号-1
ghs 京公网安备 11010802042870号
Book学术文献互助
Book学术文献互助群
群 号:604180095
Book学术官方微信