Altered polyunsaturated fatty acids and oxylipins profile in Behçet's disease.

IF 2.4 4区 医学 Q2 MEDICINE, GENERAL & INTERNAL
Korean Journal of Internal Medicine Pub Date : 2025-05-01 Epub Date: 2025-02-21 DOI:10.3904/kjim.2024.033
Mohamed Kacem Ben-Fradj, Ines Naceur, Emna Talbi, Rahma Wada, Omar Feki, Monia Smiti-Khanfir, Moncef Feki
{"title":"Altered polyunsaturated fatty acids and oxylipins profile in Behçet's disease.","authors":"Mohamed Kacem Ben-Fradj, Ines Naceur, Emna Talbi, Rahma Wada, Omar Feki, Monia Smiti-Khanfir, Moncef Feki","doi":"10.3904/kjim.2024.033","DOIUrl":null,"url":null,"abstract":"<p><strong>Background/aims: </strong>Behçet's disease (BD) is an autoinflammatory disease of unknown etiopathogenesis. Oxylipins i.e., prostaglandins, leukotrienes, lipoxins, resolvins, and protectins are bioactive polyunsaturated fatty acids (PUFAs) derivatives involved in inflammatory response induction and resolution. The study aimed to determine the profile of selected PUFAs and oxylipins and to define a lipidomic signature for BD.</p><p><strong>Methods: </strong>A case-control study was conducted involving thirty-five patients with BD and thirty-five age and sex-matched healthy individuals as a control group. Selected plasma PUFAs and oxylipins were analyzed using a targeted LC-MS/MS method.</p><p><strong>Results: </strong>The lipidomic profile was different between the two groups. BD patients showed higher levels of oxylipins deriving from either the n-6-arachidonic acid (i.e., prostaglandin D2, E2, F2α, and 6-keto-F1α, thromboxane B2, leukotriene B4, E4 and F4, and 6-epi and 15-epi-lipoxin A4) or n-3 PUFAs (i.e., 18-hydroxyeicosapentaenoic acid, 7,17-dihydroxy docosapentaenoic acid, protectin X, and resolvin D5), but decreased levels of both n-3 and n-6 PUFAs. Multivariate analyses selected the combination of four mediators, i.e., docosapentaenoic acid, prostaglandin E2, thromboxane B2, and lipoxin A4 as an accurate lipidomic signature for BD.</p><p><strong>Conclusion: </strong>The profile of PUFAs/oxylipins is altered in BD patients, characterized by increased pro-inflammatory and pro-resolving oxylipins. The findings suggest that oxylipin metabolism might be involved in BD pathophysiology and may represent a therapeutic target for the disease. Further research is required to examine the role of lipid mediators in BD.</p>","PeriodicalId":48785,"journal":{"name":"Korean Journal of Internal Medicine","volume":" ","pages":"502-511"},"PeriodicalIF":2.4000,"publicationDate":"2025-05-01","publicationTypes":"Journal Article","fieldsOfStudy":null,"isOpenAccess":false,"openAccessPdf":"https://www.ncbi.nlm.nih.gov/pmc/articles/PMC12081108/pdf/","citationCount":"0","resultStr":null,"platform":"Semanticscholar","paperid":null,"PeriodicalName":"Korean Journal of Internal Medicine","FirstCategoryId":"3","ListUrlMain":"https://doi.org/10.3904/kjim.2024.033","RegionNum":4,"RegionCategory":"医学","ArticlePicture":[],"TitleCN":null,"AbstractTextCN":null,"PMCID":null,"EPubDate":"2025/2/21 0:00:00","PubModel":"Epub","JCR":"Q2","JCRName":"MEDICINE, GENERAL & INTERNAL","Score":null,"Total":0}
引用次数: 0

Abstract

Background/aims: Behçet's disease (BD) is an autoinflammatory disease of unknown etiopathogenesis. Oxylipins i.e., prostaglandins, leukotrienes, lipoxins, resolvins, and protectins are bioactive polyunsaturated fatty acids (PUFAs) derivatives involved in inflammatory response induction and resolution. The study aimed to determine the profile of selected PUFAs and oxylipins and to define a lipidomic signature for BD.

Methods: A case-control study was conducted involving thirty-five patients with BD and thirty-five age and sex-matched healthy individuals as a control group. Selected plasma PUFAs and oxylipins were analyzed using a targeted LC-MS/MS method.

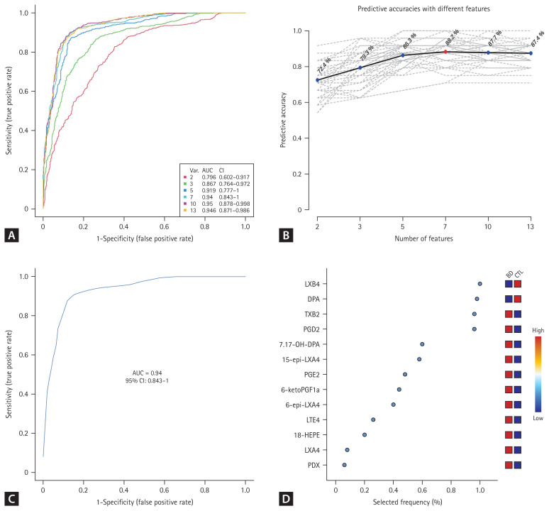
Results: The lipidomic profile was different between the two groups. BD patients showed higher levels of oxylipins deriving from either the n-6-arachidonic acid (i.e., prostaglandin D2, E2, F2α, and 6-keto-F1α, thromboxane B2, leukotriene B4, E4 and F4, and 6-epi and 15-epi-lipoxin A4) or n-3 PUFAs (i.e., 18-hydroxyeicosapentaenoic acid, 7,17-dihydroxy docosapentaenoic acid, protectin X, and resolvin D5), but decreased levels of both n-3 and n-6 PUFAs. Multivariate analyses selected the combination of four mediators, i.e., docosapentaenoic acid, prostaglandin E2, thromboxane B2, and lipoxin A4 as an accurate lipidomic signature for BD.

Conclusion: The profile of PUFAs/oxylipins is altered in BD patients, characterized by increased pro-inflammatory and pro-resolving oxylipins. The findings suggest that oxylipin metabolism might be involved in BD pathophysiology and may represent a therapeutic target for the disease. Further research is required to examine the role of lipid mediators in BD.

Abstract Image

Abstract Image

Abstract Image

behaperet病中多不饱和脂肪酸和氧脂质谱的改变
背景/目的:behet病(BD)是一种病因不明的自身炎症性疾病。氧化脂素,即前列腺素、白三烯、脂毒素、溶解蛋白和保护蛋白是生物活性的多不饱和脂肪酸(PUFAs)衍生物,参与炎症反应的诱导和解决。该研究旨在确定选定的PUFAs和氧化脂素的特征,并确定BD的脂质组学特征。方法:进行病例对照研究,包括35名BD患者和35名年龄和性别匹配的健康个体作为对照组。采用靶向LC-MS/MS方法对选定的血浆PUFAs和氧化脂类进行分析。结果:两组患者脂质组学特征不同。BD患者体内来源于n-6-花生四烯酸(即前列腺素D2、E2、F2α和6-酮- f1 α、血栓素B2、白三烯B4、E4和F4,以及6-epi和15-epi-脂素A4)或n-3 PUFAs(即18-羟基二碳五烯酸、7,17-二羟基二十碳五烯酸、保护素X和溶解素D5)的氧脂素水平较高,但n-3和n-6 PUFAs水平均降低。多因素分析选择了四种介质的组合,即二十二碳五烯酸、前列腺素E2、血栓素B2和脂素A4作为BD的准确脂质组学特征。结论:BD患者PUFAs/氧化脂质谱发生改变,其特征是促炎和促溶解氧化脂质增加。研究结果提示,氧化脂素代谢可能参与双相障碍的病理生理过程,并可能成为双相障碍的治疗靶点。脂质介质在BD中的作用有待进一步研究。
本文章由计算机程序翻译,如有差异,请以英文原文为准。
求助全文
约1分钟内获得全文 求助全文
来源期刊
Korean Journal of Internal Medicine
Korean Journal of Internal Medicine MEDICINE, GENERAL & INTERNAL-
CiteScore
5.10
自引率
4.20%
发文量
129
审稿时长
20 weeks
期刊介绍: The Korean Journal of Internal Medicine is an international medical journal published in English by the Korean Association of Internal Medicine. The Journal publishes peer-reviewed original articles, reviews, and editorials on all aspects of medicine, including clinical investigations and basic research. Both human and experimental animal studies are welcome, as are new findings on the epidemiology, pathogenesis, diagnosis, and treatment of diseases. Case reports will be published only in exceptional circumstances, when they illustrate a rare occurrence of clinical importance. Letters to the editor are encouraged for specific comments on published articles and general viewpoints.
×
引用
GB/T 7714-2015
复制
MLA
复制
APA
复制
导出至
BibTeX EndNote RefMan NoteFirst NoteExpress
×
提示
您的信息不完整,为了账户安全,请先补充。
现在去补充
×
提示
您因"违规操作"
具体请查看互助需知
我知道了
×
提示
确定
请完成安全验证×
copy
已复制链接
快去分享给好友吧!
我知道了
右上角分享
点击右上角分享
0
联系我们:info@booksci.cn Book学术提供免费学术资源搜索服务,方便国内外学者检索中英文文献。致力于提供最便捷和优质的服务体验。 Copyright © 2023 布克学术 All rights reserved.
京ICP备2023020795号-1
ghs 京公网安备 11010802042870号
Book学术文献互助
Book学术文献互助群
群 号:604180095
Book学术官方微信