Initial and peak serum levels of Krebs von den Lungen-6 for predicting the prognosis of patients with COVID-19.

IF 2.4 4区 医学 Q2 MEDICINE, GENERAL & INTERNAL
Korean Journal of Internal Medicine Pub Date : 2025-03-01 Epub Date: 2025-02-21 DOI:10.3904/kjim.2024.161
Geonui Kim, Hyeonwoo Kwon, Sang Hyun Ra, Euijin Chang, Seongman Bae, Jiwon Jung, Min Jae Kim, Yong Pil Chong, Sang-Oh Lee, Sang-Ho Choi, Yang Soo Kim, Sung-Han Kim
{"title":"Initial and peak serum levels of Krebs von den Lungen-6 for predicting the prognosis of patients with COVID-19.","authors":"Geonui Kim, Hyeonwoo Kwon, Sang Hyun Ra, Euijin Chang, Seongman Bae, Jiwon Jung, Min Jae Kim, Yong Pil Chong, Sang-Oh Lee, Sang-Ho Choi, Yang Soo Kim, Sung-Han Kim","doi":"10.3904/kjim.2024.161","DOIUrl":null,"url":null,"abstract":"<p><strong>Background/aims: </strong>Krebs von den Lungen-6 (KL-6) is associated with prognosis in patients with COVID-19. However, there is limited data on the correlation between the prognosis of COVID-19 and varying KL-6 levels at different time points. We investigated the optimal cutoff values of the initial and peak serum KL-6 levels to predict mortality and evaluated their correlation with mortality.</p><p><strong>Methods: </strong>This retrospective cohort study collected data on serially collected serum KL-6 levels in patients hospitalized with COVID-19 between October 2020 and January 2022 at a single tertiary hospital in South Korea. The area under the receiver operating characteristic curve and Youden index were used to determine the cutoff points for the initial and peak KL-6 levels that best predicted 30-day mortality. The association between the initial and peak KL-6 values was assessed by univariate and multivariate logistic regression models.</p><p><strong>Results: </strong>A total of 349 patients were included in this study. The mean initial and peak KL-6 levels were significantly higher in the non-survivor group than in the survivor group. The initial and peak KL-6 values that best predicted 30-day mortality were 491.85 U/mL and 660.05 U/mL, respectively. An initial KL-6 level greater than 491.85 U/mL and a peak KL-6 level greater than 660.05 U/mL were significantly associated with 30-day mortality.</p><p><strong>Conclusion: </strong>The initial and peak levels of KL-6 were significantly associated with 30-day mortality in hospitalized patients with COVID-19. These findings suggest that serially monitoring blood KL-6 levels could be a valuable prognostic indicator for COVID-19.</p>","PeriodicalId":48785,"journal":{"name":"Korean Journal of Internal Medicine","volume":" ","pages":"321-329"},"PeriodicalIF":2.4000,"publicationDate":"2025-03-01","publicationTypes":"Journal Article","fieldsOfStudy":null,"isOpenAccess":false,"openAccessPdf":"https://www.ncbi.nlm.nih.gov/pmc/articles/PMC11938661/pdf/","citationCount":"0","resultStr":null,"platform":"Semanticscholar","paperid":null,"PeriodicalName":"Korean Journal of Internal Medicine","FirstCategoryId":"3","ListUrlMain":"https://doi.org/10.3904/kjim.2024.161","RegionNum":4,"RegionCategory":"医学","ArticlePicture":[],"TitleCN":null,"AbstractTextCN":null,"PMCID":null,"EPubDate":"2025/2/21 0:00:00","PubModel":"Epub","JCR":"Q2","JCRName":"MEDICINE, GENERAL & INTERNAL","Score":null,"Total":0}
引用次数: 0

Abstract

Background/aims: Krebs von den Lungen-6 (KL-6) is associated with prognosis in patients with COVID-19. However, there is limited data on the correlation between the prognosis of COVID-19 and varying KL-6 levels at different time points. We investigated the optimal cutoff values of the initial and peak serum KL-6 levels to predict mortality and evaluated their correlation with mortality.

Methods: This retrospective cohort study collected data on serially collected serum KL-6 levels in patients hospitalized with COVID-19 between October 2020 and January 2022 at a single tertiary hospital in South Korea. The area under the receiver operating characteristic curve and Youden index were used to determine the cutoff points for the initial and peak KL-6 levels that best predicted 30-day mortality. The association between the initial and peak KL-6 values was assessed by univariate and multivariate logistic regression models.

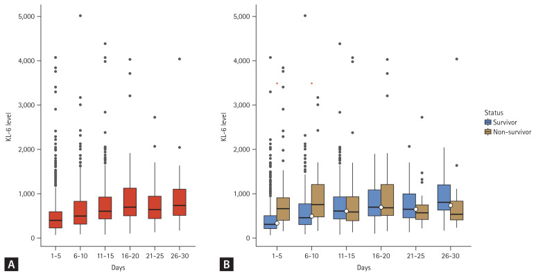
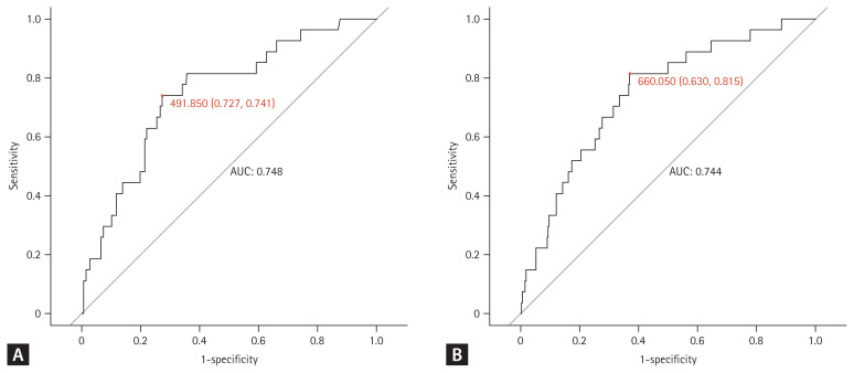
Results: A total of 349 patients were included in this study. The mean initial and peak KL-6 levels were significantly higher in the non-survivor group than in the survivor group. The initial and peak KL-6 values that best predicted 30-day mortality were 491.85 U/mL and 660.05 U/mL, respectively. An initial KL-6 level greater than 491.85 U/mL and a peak KL-6 level greater than 660.05 U/mL were significantly associated with 30-day mortality.

Conclusion: The initial and peak levels of KL-6 were significantly associated with 30-day mortality in hospitalized patients with COVID-19. These findings suggest that serially monitoring blood KL-6 levels could be a valuable prognostic indicator for COVID-19.

Abstract Image

Abstract Image

Abstract Image

血清克雷布斯·冯·登·伦根-6初始和峰值水平对COVID-19患者预后的预测
背景/目的:Krebs von den Lungen-6 (KL-6)与COVID-19患者预后相关。然而,关于不同时间点不同KL-6水平与COVID-19预后相关性的数据有限。我们研究了预测死亡率的初始和峰值血清KL-6水平的最佳临界值,并评估了它们与死亡率的相关性。方法:本回顾性队列研究收集了2020年10月至2022年1月在韩国一家三级医院连续收集的COVID-19住院患者血清KL-6水平的数据。采用受试者工作特征曲线下面积和约登指数确定最能预测30天死亡率的初始和峰值KL-6水平的截止点。通过单变量和多变量logistic回归模型评估初始值和峰值KL-6值之间的关系。结果:本研究共纳入349例患者。非存活组的平均初始和峰值KL-6水平显著高于存活组。最能预测30天死亡率的KL-6初始值和峰值分别为491.85 U/mL和660.05 U/mL。初始KL-6水平大于491.85 U/mL和峰值KL-6水平大于660.05 U/mL与30天死亡率显著相关。结论:KL-6的初始和峰值水平与COVID-19住院患者30天死亡率显著相关。这些发现表明,连续监测血液KL-6水平可能是COVID-19有价值的预后指标。
本文章由计算机程序翻译,如有差异,请以英文原文为准。
求助全文
约1分钟内获得全文 求助全文
来源期刊
Korean Journal of Internal Medicine
Korean Journal of Internal Medicine MEDICINE, GENERAL & INTERNAL-
CiteScore
5.10
自引率
4.20%
发文量
129
审稿时长
20 weeks
期刊介绍: The Korean Journal of Internal Medicine is an international medical journal published in English by the Korean Association of Internal Medicine. The Journal publishes peer-reviewed original articles, reviews, and editorials on all aspects of medicine, including clinical investigations and basic research. Both human and experimental animal studies are welcome, as are new findings on the epidemiology, pathogenesis, diagnosis, and treatment of diseases. Case reports will be published only in exceptional circumstances, when they illustrate a rare occurrence of clinical importance. Letters to the editor are encouraged for specific comments on published articles and general viewpoints.
×
引用
GB/T 7714-2015
复制
MLA
复制
APA
复制
导出至
BibTeX EndNote RefMan NoteFirst NoteExpress
×
提示
您的信息不完整,为了账户安全,请先补充。
现在去补充
×
提示
您因"违规操作"
具体请查看互助需知
我知道了
×
提示
确定
请完成安全验证×
copy
已复制链接
快去分享给好友吧!
我知道了
右上角分享
点击右上角分享
0
联系我们:info@booksci.cn Book学术提供免费学术资源搜索服务,方便国内外学者检索中英文文献。致力于提供最便捷和优质的服务体验。 Copyright © 2023 布克学术 All rights reserved.
京ICP备2023020795号-1
ghs 京公网安备 11010802042870号
Book学术文献互助
Book学术文献互助群
群 号:604180095
Book学术官方微信