Correlation of MicroRNA-31 with Endometrial Receptivity in Patients with Repeated Implantation Failure of In Vitro Fertilization and Embryo Transfer.

IF 2.8 4区 生物学 Q4 BIOCHEMISTRY & MOLECULAR BIOLOGY
Organogenesis Pub Date : 2025-12-01 Epub Date: 2025-02-23 DOI:10.1080/15476278.2025.2460263
Yan Tan, Bijun Du, Xixi Chen, Minhong Chen
{"title":"Correlation of MicroRNA-31 with Endometrial Receptivity in Patients with Repeated Implantation Failure of <i>In Vitro</i> Fertilization and Embryo Transfer.","authors":"Yan Tan, Bijun Du, Xixi Chen, Minhong Chen","doi":"10.1080/15476278.2025.2460263","DOIUrl":null,"url":null,"abstract":"<p><strong>Objective: </strong>This trial probed the correlation between miR-31 expression and endometrial receptivity (ER) in patients with repeated implantation failure (RIF) of in vitro fertilization and embryo transfer (IVF-ET).</p><p><strong>Methods: </strong>A retrospective study of 80 infertility patients who underwent IVF-ET assisted conception treatment were divided into RIF group and normal pregnancy group (control group) according to the pregnancy outcome after embryo transfer. General information of both groups was collected. Endometrial tissues were collected in the middle luteal phase of the menstrual cycle before IVF-ET. miR-31 levels in endometrial tissues were measured, and endometrial tolerance indicator pulsatility index (PI), resistance index (RI), and endometrial thickness (Em) were detected. The correlation between endometrial miR-31 levels and ER indices was evaluated by Pearson method. ROC curves were utilized to analyze the efficacy of miR-31 in predicting RIF occurrence. The influencing factors of RIF were analyzed by binary Logistic regression.</p><p><strong>Results: </strong>RIF patients had increased miR-31 expression level and endometrial tolerance indicator PI, and RI while decreased Em (<i>p</i> < 0.05). miR-31 in RIF patients was positively correlated with PI and RI, and negatively correlated with Em (<i>p</i> < 0.05). The area under the curve for miR-31 to predict the occurrence of RIF was 0.899, with a sensitivity of 0.750 and a specificity of 0.950. PI, RI, and miR-31 were risk factors for developing RIF in IVF-ET women, and Em was a protective factor (<i>p</i> < 0.05).</p><p><strong>Conclusion: </strong>miR-31 in RIF patients is positively correlated with PI and RI, and negatively correlated with Em.</p>","PeriodicalId":19596,"journal":{"name":"Organogenesis","volume":"21 1","pages":"2460263"},"PeriodicalIF":2.8000,"publicationDate":"2025-12-01","publicationTypes":"Journal Article","fieldsOfStudy":null,"isOpenAccess":false,"openAccessPdf":"https://www.ncbi.nlm.nih.gov/pmc/articles/PMC11853553/pdf/","citationCount":"0","resultStr":null,"platform":"Semanticscholar","paperid":null,"PeriodicalName":"Organogenesis","FirstCategoryId":"5","ListUrlMain":"https://doi.org/10.1080/15476278.2025.2460263","RegionNum":4,"RegionCategory":"生物学","ArticlePicture":[],"TitleCN":null,"AbstractTextCN":null,"PMCID":null,"EPubDate":"2025/2/23 0:00:00","PubModel":"Epub","JCR":"Q4","JCRName":"BIOCHEMISTRY & MOLECULAR BIOLOGY","Score":null,"Total":0}
引用次数: 0

Abstract

Objective: This trial probed the correlation between miR-31 expression and endometrial receptivity (ER) in patients with repeated implantation failure (RIF) of in vitro fertilization and embryo transfer (IVF-ET).

Methods: A retrospective study of 80 infertility patients who underwent IVF-ET assisted conception treatment were divided into RIF group and normal pregnancy group (control group) according to the pregnancy outcome after embryo transfer. General information of both groups was collected. Endometrial tissues were collected in the middle luteal phase of the menstrual cycle before IVF-ET. miR-31 levels in endometrial tissues were measured, and endometrial tolerance indicator pulsatility index (PI), resistance index (RI), and endometrial thickness (Em) were detected. The correlation between endometrial miR-31 levels and ER indices was evaluated by Pearson method. ROC curves were utilized to analyze the efficacy of miR-31 in predicting RIF occurrence. The influencing factors of RIF were analyzed by binary Logistic regression.

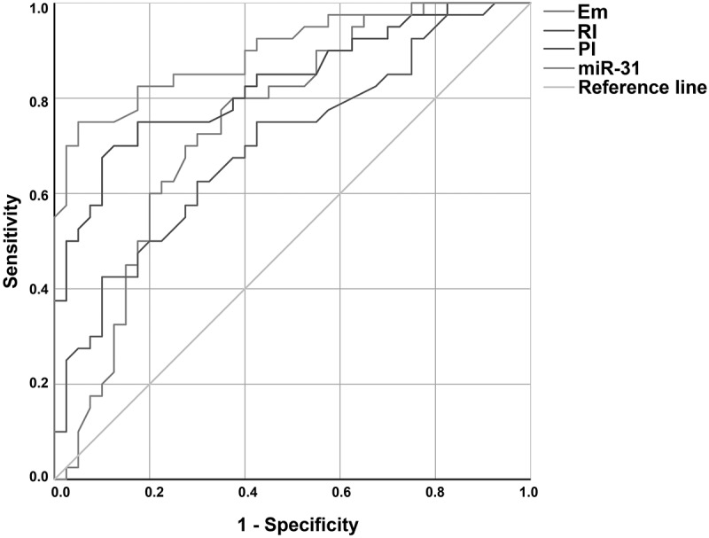
Results: RIF patients had increased miR-31 expression level and endometrial tolerance indicator PI, and RI while decreased Em (p < 0.05). miR-31 in RIF patients was positively correlated with PI and RI, and negatively correlated with Em (p < 0.05). The area under the curve for miR-31 to predict the occurrence of RIF was 0.899, with a sensitivity of 0.750 and a specificity of 0.950. PI, RI, and miR-31 were risk factors for developing RIF in IVF-ET women, and Em was a protective factor (p < 0.05).

Conclusion: miR-31 in RIF patients is positively correlated with PI and RI, and negatively correlated with Em.

Abstract Image

Abstract Image

Abstract Image

体外受精和胚胎移植反复着床失败患者的MicroRNA-31与子宫内膜容受性的关系
目的:探讨体外受精与胚胎移植(IVF-ET)反复植入失败(RIF)患者miR-31表达与子宫内膜容受性(ER)的相关性。方法:回顾性研究80例接受IVF-ET辅助受孕治疗的不孕症患者,根据胚胎移植后妊娠结局分为RIF组和正常妊娠组(对照组)。收集两组的一般资料。在IVF-ET前月经周期黄体中期采集子宫内膜组织。检测子宫内膜组织中miR-31水平,检测子宫内膜耐受指标脉动指数(PI)、阻力指数(RI)、子宫内膜厚度(Em)。采用Pearson法评价子宫内膜miR-31水平与ER指标的相关性。采用ROC曲线分析miR-31预测RIF发生的有效性。采用二元Logistic回归分析RIF的影响因素。结果:RIF患者miR-31表达水平升高,子宫内膜耐受指标PI、RI升高,Em降低(p p p)。结论:RIF患者miR-31与PI、RI呈正相关,与Em负相关。
本文章由计算机程序翻译,如有差异,请以英文原文为准。
求助全文
约1分钟内获得全文 求助全文
来源期刊
Organogenesis
Organogenesis BIOCHEMISTRY & MOLECULAR BIOLOGY-DEVELOPMENTAL BIOLOGY
CiteScore
4.10
自引率
4.30%
发文量
6
审稿时长
>12 weeks
期刊介绍: Organogenesis is a peer-reviewed journal, available in print and online, that publishes significant advances on all aspects of organ development. The journal covers organogenesis in all multi-cellular organisms and also includes research into tissue engineering, artificial organs and organ substitutes. The overriding criteria for publication in Organogenesis are originality, scientific merit and general interest. The audience of the journal consists primarily of researchers and advanced students of anatomy, developmental biology and tissue engineering. The emphasis of the journal is on experimental papers (full-length and brief communications), but it will also publish reviews, hypotheses and commentaries. The Editors encourage the submission of addenda, which are essentially auto-commentaries on significant research recently published elsewhere with additional insights, new interpretations or speculations on a relevant topic. If you have interesting data or an original hypothesis about organ development or artificial organs, please send a pre-submission inquiry to the Editor-in-Chief. You will normally receive a reply within days. All manuscripts will be subjected to peer review, and accepted manuscripts will be posted to the electronic site of the journal immediately and will appear in print at the earliest opportunity thereafter.
×
引用
GB/T 7714-2015
复制
MLA
复制
APA
复制
导出至
BibTeX EndNote RefMan NoteFirst NoteExpress
×
提示
您的信息不完整,为了账户安全,请先补充。
现在去补充
×
提示
您因"违规操作"
具体请查看互助需知
我知道了
×
提示
确定
请完成安全验证×
copy
已复制链接
快去分享给好友吧!
我知道了
右上角分享
点击右上角分享
0
联系我们:info@booksci.cn Book学术提供免费学术资源搜索服务,方便国内外学者检索中英文文献。致力于提供最便捷和优质的服务体验。 Copyright © 2023 布克学术 All rights reserved.
京ICP备2023020795号-1
ghs 京公网安备 11010802042870号
Book学术文献互助
Book学术文献互助群
群 号:604180095
Book学术官方微信