Association of Cardiovascular Disease Mortality and Ambient Temperature Variation in Shanghai, China: Beyond Air Quality Index PM2.5.

IF 2.3 4区 地球科学 Q3 ENVIRONMENTAL SCIENCES
Atmosphere Pub Date : 2025-02-01 Epub Date: 2025-01-22 DOI:10.3390/atmos16020119
Qi Li, Shizhen Li, Ting Zhai, Shan Jin, Chunfang Wang, Bo Fang, Tian Xia
{"title":"Association of Cardiovascular Disease Mortality and Ambient Temperature Variation in Shanghai, China: Beyond Air Quality Index PM<sub>2.5</sub>.","authors":"Qi Li, Shizhen Li, Ting Zhai, Shan Jin, Chunfang Wang, Bo Fang, Tian Xia","doi":"10.3390/atmos16020119","DOIUrl":null,"url":null,"abstract":"<p><p>Evidence from megacity registry data regarding the independent association between ambient temperature and cardiovascular disease (CVD) mortality, after accounting for Particulate Matter 2.5 (PM<sub>2.5</sub>), remains scarce. In this study, we collected 308,116 CVD mortality cases in Shanghai from 2015 to 2020. The distributed lag non-linear model (DLNM) was utilized. The daily PM<sub>2.5</sub> concentration was transformed using a natural spline (ns) function and integrated into the model for adjustment. The DLNM analysis revealed that the exposure-response curve between daily temperature and CVD mortality approximated an inverted \"J\" shape, consistent for both women and men. The minimum mortality temperature (MMT) for total CVD mortality was 25 °C, with an MMT of 26 °C for females and 24 °C for males. The highest relative risk (RR) of CVD mortality was 2.424 [95% confidence interval (95% CI): 2.035, 2.887] at the lowest temperature of -6.1 °C, with 2.244 (95% CI: 1.787, 2.818) for female and 2.642 (95% CI: 2.100, 3.326) for male. High temperatures exert acute and short-term effects, with the peak risk occurring on the day of exposure. In contrast, the risk from low temperature peaks on day 3 of the lag time and subsequently declines until days 16-21. This study offers evidence-based support for the prevention of temperature-induced CVD mortality.</p>","PeriodicalId":8580,"journal":{"name":"Atmosphere","volume":"16 2","pages":""},"PeriodicalIF":2.3000,"publicationDate":"2025-02-01","publicationTypes":"Journal Article","fieldsOfStudy":null,"isOpenAccess":false,"openAccessPdf":"https://www.ncbi.nlm.nih.gov/pmc/articles/PMC11845240/pdf/","citationCount":"0","resultStr":null,"platform":"Semanticscholar","paperid":null,"PeriodicalName":"Atmosphere","FirstCategoryId":"89","ListUrlMain":"https://doi.org/10.3390/atmos16020119","RegionNum":4,"RegionCategory":"地球科学","ArticlePicture":[],"TitleCN":null,"AbstractTextCN":null,"PMCID":null,"EPubDate":"2025/1/22 0:00:00","PubModel":"Epub","JCR":"Q3","JCRName":"ENVIRONMENTAL SCIENCES","Score":null,"Total":0}
引用次数: 0

Abstract

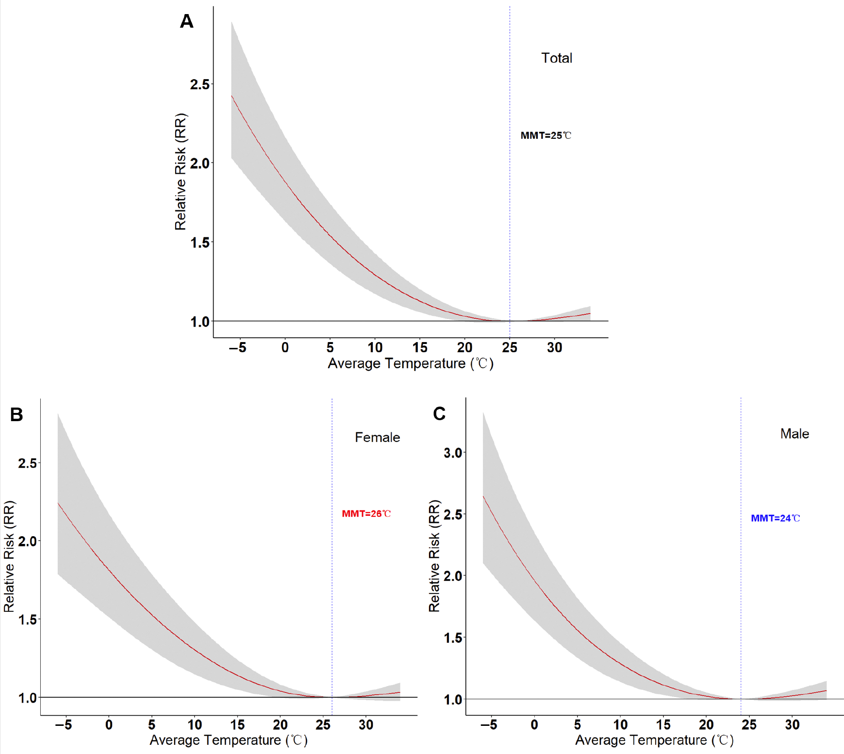
Evidence from megacity registry data regarding the independent association between ambient temperature and cardiovascular disease (CVD) mortality, after accounting for Particulate Matter 2.5 (PM2.5), remains scarce. In this study, we collected 308,116 CVD mortality cases in Shanghai from 2015 to 2020. The distributed lag non-linear model (DLNM) was utilized. The daily PM2.5 concentration was transformed using a natural spline (ns) function and integrated into the model for adjustment. The DLNM analysis revealed that the exposure-response curve between daily temperature and CVD mortality approximated an inverted "J" shape, consistent for both women and men. The minimum mortality temperature (MMT) for total CVD mortality was 25 °C, with an MMT of 26 °C for females and 24 °C for males. The highest relative risk (RR) of CVD mortality was 2.424 [95% confidence interval (95% CI): 2.035, 2.887] at the lowest temperature of -6.1 °C, with 2.244 (95% CI: 1.787, 2.818) for female and 2.642 (95% CI: 2.100, 3.326) for male. High temperatures exert acute and short-term effects, with the peak risk occurring on the day of exposure. In contrast, the risk from low temperature peaks on day 3 of the lag time and subsequently declines until days 16-21. This study offers evidence-based support for the prevention of temperature-induced CVD mortality.

Abstract Image

Abstract Image

中国上海心血管疾病死亡率与环境温度变化的关系:超越空气质量指数PM2.5。
特大城市登记数据中关于环境温度与心血管疾病(CVD)死亡率之间独立关联的证据,在考虑了PM2.5之后,仍然很少。在本研究中,我们收集了2015年至2020年上海308,116例CVD死亡病例。采用分布滞后非线性模型(DLNM)。采用自然样条(ns)函数对PM2.5日浓度进行变换,并将其整合到模型中进行调整。DLNM分析显示,每日温度与心血管疾病死亡率之间的暴露-响应曲线近似于倒“J”形,对女性和男性都是一致的。CVD总死亡率的最低死亡温度(MMT)为25℃,其中女性最低死亡温度为26℃,男性最低死亡温度为24℃。在最低温度-6.1℃时,心血管疾病死亡率的最高相对危险度(RR)为2.424[95%可信区间(95% CI): 2.035, 2.887],女性为2.244 (95% CI: 1.787, 2.818),男性为2.642 (95% CI: 2.100, 3.326)。高温会产生急性和短期影响,暴露当天的风险最高。相比之下,低温的风险在滞后时间的第3天达到峰值,随后下降到第16-21天。本研究为预防温度引起的心血管疾病死亡提供了循证支持。
本文章由计算机程序翻译,如有差异,请以英文原文为准。
求助全文
约1分钟内获得全文 求助全文
来源期刊
Atmosphere
Atmosphere METEOROLOGY & ATMOSPHERIC SCIENCES-
CiteScore
4.60
自引率
13.80%
发文量
1769
审稿时长
1 months
期刊介绍: Atmosphere (ISSN 2073-4433) is an international and cross-disciplinary scholarly journal of scientific studies related to the atmosphere. It publishes reviews, regular research papers, communications and short notes, and there is no restriction on the length of the papers. Our aim is to encourage scientists to publish their experimental and theoretical research in as much detail as possible. Full experimental and/or methodical details must be provided for research articles.
×
引用
GB/T 7714-2015
复制
MLA
复制
APA
复制
导出至
BibTeX EndNote RefMan NoteFirst NoteExpress
×
提示
您的信息不完整,为了账户安全,请先补充。
现在去补充
×
提示
您因"违规操作"
具体请查看互助需知
我知道了
×
提示
确定
请完成安全验证×
copy
已复制链接
快去分享给好友吧!
我知道了
右上角分享
点击右上角分享
0
联系我们:info@booksci.cn Book学术提供免费学术资源搜索服务,方便国内外学者检索中英文文献。致力于提供最便捷和优质的服务体验。 Copyright © 2023 布克学术 All rights reserved.
京ICP备2023020795号-1
ghs 京公网安备 11010802042870号
Book学术文献互助
Book学术文献互助群
群 号:604180095
Book学术官方微信