Post-discharge suicide prediction among US veterans using natural language processing-enriched social and behavioral determinants of health.

Avijit Mitra, Kun Chen, Weisong Liu, Ronald C Kessler, Hong Yu
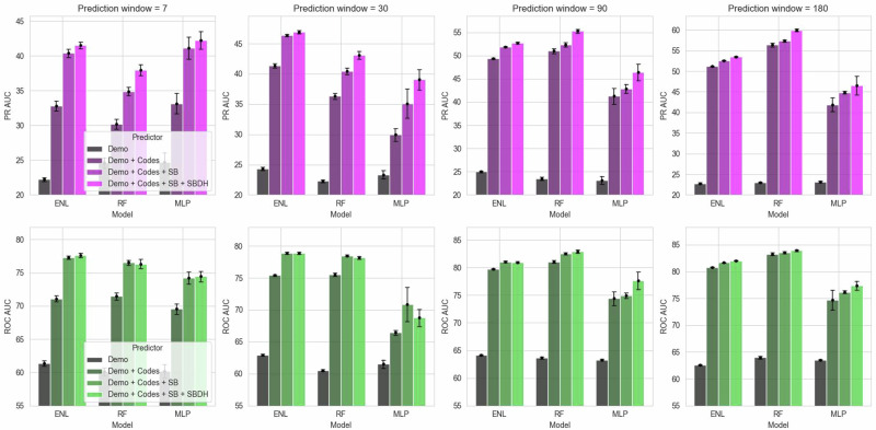
{"title":"Post-discharge suicide prediction among US veterans using natural language processing-enriched social and behavioral determinants of health.","authors":"Avijit Mitra, Kun Chen, Weisong Liu, Ronald C Kessler, Hong Yu","doi":"10.1038/s44184-025-00120-2","DOIUrl":null,"url":null,"abstract":"<p><p>Despite the established association between social and behavioral determinants of health (SBDH) and suicide risk, SBDHs from unstructured electronic health record notes for suicide prediction remain underutilized. This study investigates the impact of SBDH identified from both structured and unstructured data utilizing a natural language processing (NLP) system on suicide prediction at 7, 30, 90, and 180 days post-discharge. Using data from 2,987,006 US Veterans between 1 October 2009, and 30 September 2015, we designed a case-control study demonstrating that structured and NLP-extracted SBDH significantly enhance distinct prediction models' performance. For example, the random forest model improved its 180-day post-discharge prediction with an area under the receiver operating characteristic curve increase from 83.57% to 84.25% (95% CI = 0.63%-0.98%, p val < 0.001) and area under the precision-recall curve increase from 57.38% to 59.87% (95% CI = 3.86%-4.82%, p val < 0.001) after integrating NLP-extracted SBDH. These findings underscore the potential of NLP-extracted SBDH in advancing suicide prediction.</p>","PeriodicalId":74321,"journal":{"name":"Npj mental health research","volume":"4 1","pages":"8"},"PeriodicalIF":0.0000,"publicationDate":"2025-02-22","publicationTypes":"Journal Article","fieldsOfStudy":null,"isOpenAccess":false,"openAccessPdf":"https://www.ncbi.nlm.nih.gov/pmc/articles/PMC11846906/pdf/","citationCount":"0","resultStr":null,"platform":"Semanticscholar","paperid":null,"PeriodicalName":"Npj mental health research","FirstCategoryId":"1085","ListUrlMain":"https://doi.org/10.1038/s44184-025-00120-2","RegionNum":0,"RegionCategory":null,"ArticlePicture":[],"TitleCN":null,"AbstractTextCN":null,"PMCID":null,"EPubDate":"","PubModel":"","JCR":"","JCRName":"","Score":null,"Total":0}
引用次数: 0

Abstract

Despite the established association between social and behavioral determinants of health (SBDH) and suicide risk, SBDHs from unstructured electronic health record notes for suicide prediction remain underutilized. This study investigates the impact of SBDH identified from both structured and unstructured data utilizing a natural language processing (NLP) system on suicide prediction at 7, 30, 90, and 180 days post-discharge. Using data from 2,987,006 US Veterans between 1 October 2009, and 30 September 2015, we designed a case-control study demonstrating that structured and NLP-extracted SBDH significantly enhance distinct prediction models' performance. For example, the random forest model improved its 180-day post-discharge prediction with an area under the receiver operating characteristic curve increase from 83.57% to 84.25% (95% CI = 0.63%-0.98%, p val < 0.001) and area under the precision-recall curve increase from 57.38% to 59.87% (95% CI = 3.86%-4.82%, p val < 0.001) after integrating NLP-extracted SBDH. These findings underscore the potential of NLP-extracted SBDH in advancing suicide prediction.

Abstract Image

Abstract Image

使用自然语言处理富集健康的社会和行为决定因素的美国退伍军人出院后自杀预测。
尽管健康的社会和行为决定因素(SBDH)与自杀风险之间建立了联系,但用于自杀预测的非结构化电子健康记录笔记的SBDH仍未得到充分利用。本研究利用自然语言处理(NLP)系统从结构化和非结构化数据中识别出SBDH对出院后7、30、90和180天自杀预测的影响。利用2009年10月1日至2015年9月30日期间的2,987,006名美国退伍军人的数据,我们设计了一项病例对照研究,证明结构化和nlp提取的SBDH显著提高了不同预测模型的性能。例如,随机森林模型改进了其出院后180天的预测,接收者工作特征曲线下的面积从83.57%增加到84.25% (95% CI = 0.63%-0.98%, p值)
本文章由计算机程序翻译,如有差异,请以英文原文为准。
求助全文
约1分钟内获得全文 求助全文
来源期刊
自引率
0.00%
发文量
0
×
引用
GB/T 7714-2015
复制
MLA
复制
APA
复制
导出至
BibTeX EndNote RefMan NoteFirst NoteExpress
×
提示
您的信息不完整,为了账户安全,请先补充。
现在去补充
×
提示
您因"违规操作"
具体请查看互助需知
我知道了
×
提示
确定
请完成安全验证×
copy
已复制链接
快去分享给好友吧!
我知道了
右上角分享
点击右上角分享
0
联系我们:info@booksci.cn Book学术提供免费学术资源搜索服务,方便国内外学者检索中英文文献。致力于提供最便捷和优质的服务体验。 Copyright © 2023 布克学术 All rights reserved.
京ICP备2023020795号-1
ghs 京公网安备 11010802042870号
Book学术文献互助
Book学术文献互助群
群 号:604180095
Book学术官方微信