Psychopathological symptoms in school-aged children after a traumatic event.

IF 4.6 3区 医学 Q1 PEDIATRICS
K S Plümacher, J K Loy, S Bender, M Krischer
{"title":"Psychopathological symptoms in school-aged children after a traumatic event.","authors":"K S Plümacher, J K Loy, S Bender, M Krischer","doi":"10.1186/s13034-025-00869-6","DOIUrl":null,"url":null,"abstract":"<p><strong>Background: </strong>Traumatic experiences in childhood can have far-reaching and serious consequences for the development of those affected. Little is known about the age- and sex-specific symptom patterns in children and adolescents following a traumatic event. These do not always manifest in symptoms that meet the diagnostic criteria for post-traumatic stress disorder according to ICD 10.</p><p><strong>Methods: </strong>In an outpatient cohort of 84 children and adolescents aged 6 to 18 years, we utilised the dimensional Child Behaviour Checklist (CBCL) to analyse symptoms occurring within twelve months of a traumatic event as defined in ICD 10. Regression models were applied to examine the effects of sex, age, and their interaction. CBCL (sub-)scales from caregivers served as the outcome variables.</p><p><strong>Results: </strong>The most severe symptoms were externalising symptoms found in boys aged six to below twelve years, while girls of the same age showed the fewest symptoms. No fully consistent picture regarding age- and sex-effects was found across the (sub-)scales, however, the most consistent finding for all scales was an interaction between age and sex, resulting in a convergence between boys and girls with age. Adolescent males and females were affected to a similar extent.</p><p><strong>Conclusion: </strong>Knowledge of age- and sex-specific patterns in children and adolescents following a traumatic event is essential to recognise possibly trauma-related symptoms at an early stage, initiate adequate treatment. Considering that trauma can exacerbate or complicate externalising symptoms, and vice versa, it is crucial to integrate trauma-specific interventions into the treatment plan for those affected. Developing comprehensive, age- and sex-specific diagnostic criteria for trauma-related disorders might not only improve early detection and treatment but also ensure that interventions address both emotional and behavioural dimensions effectively. Future research should focus on refining these criteria and exploring the interplay between trauma and co-occurring conditions to enhance treatment outcomes.</p>","PeriodicalId":9934,"journal":{"name":"Child and Adolescent Psychiatry and Mental Health","volume":"19 1","pages":"12"},"PeriodicalIF":4.6000,"publicationDate":"2025-02-21","publicationTypes":"Journal Article","fieldsOfStudy":null,"isOpenAccess":false,"openAccessPdf":"https://www.ncbi.nlm.nih.gov/pmc/articles/PMC11846328/pdf/","citationCount":"0","resultStr":null,"platform":"Semanticscholar","paperid":null,"PeriodicalName":"Child and Adolescent Psychiatry and Mental Health","FirstCategoryId":"3","ListUrlMain":"https://doi.org/10.1186/s13034-025-00869-6","RegionNum":3,"RegionCategory":"医学","ArticlePicture":[],"TitleCN":null,"AbstractTextCN":null,"PMCID":null,"EPubDate":"","PubModel":"","JCR":"Q1","JCRName":"PEDIATRICS","Score":null,"Total":0}
引用次数: 0

Abstract

Background: Traumatic experiences in childhood can have far-reaching and serious consequences for the development of those affected. Little is known about the age- and sex-specific symptom patterns in children and adolescents following a traumatic event. These do not always manifest in symptoms that meet the diagnostic criteria for post-traumatic stress disorder according to ICD 10.

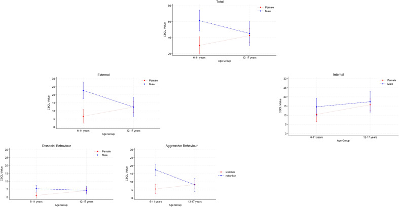
Methods: In an outpatient cohort of 84 children and adolescents aged 6 to 18 years, we utilised the dimensional Child Behaviour Checklist (CBCL) to analyse symptoms occurring within twelve months of a traumatic event as defined in ICD 10. Regression models were applied to examine the effects of sex, age, and their interaction. CBCL (sub-)scales from caregivers served as the outcome variables.

Results: The most severe symptoms were externalising symptoms found in boys aged six to below twelve years, while girls of the same age showed the fewest symptoms. No fully consistent picture regarding age- and sex-effects was found across the (sub-)scales, however, the most consistent finding for all scales was an interaction between age and sex, resulting in a convergence between boys and girls with age. Adolescent males and females were affected to a similar extent.

Conclusion: Knowledge of age- and sex-specific patterns in children and adolescents following a traumatic event is essential to recognise possibly trauma-related symptoms at an early stage, initiate adequate treatment. Considering that trauma can exacerbate or complicate externalising symptoms, and vice versa, it is crucial to integrate trauma-specific interventions into the treatment plan for those affected. Developing comprehensive, age- and sex-specific diagnostic criteria for trauma-related disorders might not only improve early detection and treatment but also ensure that interventions address both emotional and behavioural dimensions effectively. Future research should focus on refining these criteria and exploring the interplay between trauma and co-occurring conditions to enhance treatment outcomes.

Abstract Image

创伤性事件后学龄儿童的精神病理症状
背景:童年时期的创伤经历可能对受影响者的发展产生深远而严重的后果。儿童和青少年创伤性事件后的年龄和性别特异性症状模式知之甚少。根据ICD 10,这些症状并不总是表现为符合创伤后应激障碍的诊断标准。方法:在84名6至18岁的儿童和青少年的门诊队列中,我们使用维度儿童行为检查表(CBCL)来分析在ICD 10中定义的创伤事件发生后12个月内出现的症状。回归模型用于检验性别、年龄及其相互作用的影响。来自照顾者的CBCL(亚)量表作为结果变量。结果:6岁至12岁以下的男孩表现出最严重的外化症状,而同龄女孩表现出最少的症状。关于年龄和性别的影响,在所有(子)量表中没有发现完全一致的图片,然而,所有量表中最一致的发现是年龄和性别之间的相互作用,导致男孩和女孩之间的年龄趋同。青少年男性和女性受到的影响程度相似。结论:了解创伤事件后儿童和青少年的年龄和性别特异性模式对于早期识别可能与创伤相关的症状并开始适当的治疗至关重要。考虑到创伤会加重或使外在症状复杂化,反之亦然,将创伤特异性干预措施纳入受影响者的治疗计划至关重要。为创伤相关疾病制定全面的、针对年龄和性别的诊断标准,不仅可以改善早期发现和治疗,还可以确保干预措施有效地处理情感和行为方面的问题。未来的研究应侧重于完善这些标准,并探索创伤和并发疾病之间的相互作用,以提高治疗效果。
本文章由计算机程序翻译,如有差异,请以英文原文为准。
求助全文
约1分钟内获得全文 求助全文
来源期刊
Child and Adolescent Psychiatry and Mental Health
Child and Adolescent Psychiatry and Mental Health PEDIATRICSPSYCHIATRY-PSYCHIATRY
CiteScore
7.00
自引率
3.60%
发文量
84
审稿时长
16 weeks
期刊介绍: Child and Adolescent Psychiatry and Mental Health, the official journal of the International Association for Child and Adolescent Psychiatry and Allied Professions, is an open access, online journal that provides an international platform for rapid and comprehensive scientific communication on child and adolescent mental health across different cultural backgrounds. CAPMH serves as a scientifically rigorous and broadly open forum for both interdisciplinary and cross-cultural exchange of research information, involving psychiatrists, paediatricians, psychologists, neuroscientists, and allied disciplines. The journal focusses on improving the knowledge base for the diagnosis, prognosis and treatment of mental health conditions in children and adolescents, and aims to integrate basic science, clinical research and the practical implementation of research findings. In addition, aspects which are still underrepresented in the traditional journals such as neurobiology and neuropsychology of psychiatric disorders in childhood and adolescence are considered.
×
引用
GB/T 7714-2015
复制
MLA
复制
APA
复制
导出至
BibTeX EndNote RefMan NoteFirst NoteExpress
×
提示
您的信息不完整,为了账户安全,请先补充。
现在去补充
×
提示
您因"违规操作"
具体请查看互助需知
我知道了
×
提示
确定
请完成安全验证×
copy
已复制链接
快去分享给好友吧!
我知道了
右上角分享
点击右上角分享
0
联系我们:info@booksci.cn Book学术提供免费学术资源搜索服务,方便国内外学者检索中英文文献。致力于提供最便捷和优质的服务体验。 Copyright © 2023 布克学术 All rights reserved.
京ICP备2023020795号-1
ghs 京公网安备 11010802042870号
Book学术文献互助
Book学术文献互助群
群 号:604180095
Book学术官方微信