Healing Rates and Dressing Frequency of Silver Foam Dressings in Paediatric Burns: A Systemic Review and Meta-Analysis.

IF 1.2 Q4 CRITICAL CARE MEDICINE
Nathanael Q E Yap, Dilip K Vankayalapati, Sum-Yu C Lee, Hafsa O Sulaiman, Alma Sato, M Zaid Shami, Valeria Antoniou, James W F Burns, Hayato Nakanishi, Christian A Than, Graeme Southwick
{"title":"Healing Rates and Dressing Frequency of Silver Foam Dressings in Paediatric Burns: A Systemic Review and Meta-Analysis.","authors":"Nathanael Q E Yap, Dilip K Vankayalapati, Sum-Yu C Lee, Hafsa O Sulaiman, Alma Sato, M Zaid Shami, Valeria Antoniou, James W F Burns, Hayato Nakanishi, Christian A Than, Graeme Southwick","doi":"10.3390/ebj6010003","DOIUrl":null,"url":null,"abstract":"<p><p>Silver foam dressings have been extensively used in the management of burn injuries; however, its application in children requires elucidation. A literature search was conducted from database inception to October 2023. Eligible studies reported paediatrics patients under 21 years of age receiving silver dressings for burns or scalds. This review was registered prospectively with PROSPERO (CRD42023470239). 18 studies met the inclusion criteria with a total of 701 patients. The pooled mean time to re-epithelisation (TTRE) was 12.9 days (95% CI: 11.2, 14.6, I<sup>2</sup> = 94%). The pooled mean duration of hospitalisation was 9.8 days (95% CI: 3.9, 15.7; I<sup>2</sup> = 100%). Mean number of total dressing changes per patient was 3.6 (95% CI: 2.2, 4.9; I<sup>2</sup> = 99%). There were a total of 98 complications, including 30 (30.6%) infections, 29 (29.6%) surgical requirements, 14 (14.3%) hypertrophic scarring, 17 (17.3%) escalations of care, 5 (5.1%) burn depth progression, and 3 (3.1%) others. Silver foam dressings appear as a safe and effective approach in terms of healing rate and dressing change frequency for selected paediatric patients with burn injuries. Despite the promising results, further comparative studies are required to evaluate the selection criteria and long-term effect of silver foam dressing.</p>","PeriodicalId":72961,"journal":{"name":"European burn journal","volume":"6 1","pages":""},"PeriodicalIF":1.2000,"publicationDate":"2025-01-27","publicationTypes":"Journal Article","fieldsOfStudy":null,"isOpenAccess":false,"openAccessPdf":"https://www.ncbi.nlm.nih.gov/pmc/articles/PMC11843833/pdf/","citationCount":"0","resultStr":null,"platform":"Semanticscholar","paperid":null,"PeriodicalName":"European burn journal","FirstCategoryId":"1085","ListUrlMain":"https://doi.org/10.3390/ebj6010003","RegionNum":0,"RegionCategory":null,"ArticlePicture":[],"TitleCN":null,"AbstractTextCN":null,"PMCID":null,"EPubDate":"","PubModel":"","JCR":"Q4","JCRName":"CRITICAL CARE MEDICINE","Score":null,"Total":0}
引用次数: 0

Abstract

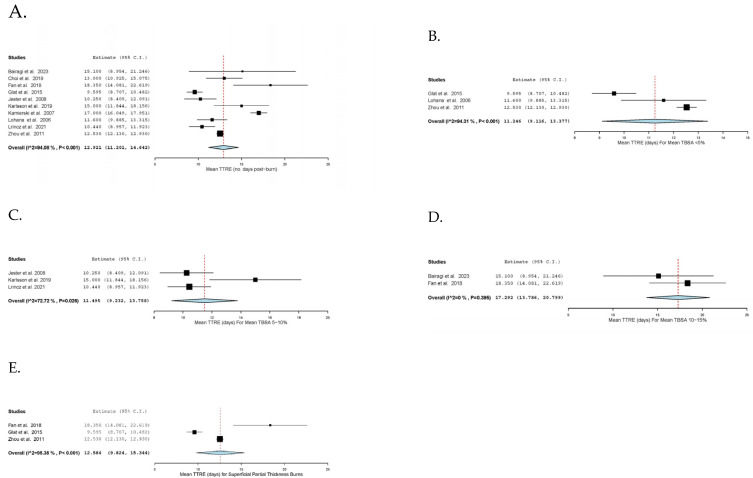
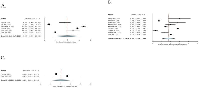
Silver foam dressings have been extensively used in the management of burn injuries; however, its application in children requires elucidation. A literature search was conducted from database inception to October 2023. Eligible studies reported paediatrics patients under 21 years of age receiving silver dressings for burns or scalds. This review was registered prospectively with PROSPERO (CRD42023470239). 18 studies met the inclusion criteria with a total of 701 patients. The pooled mean time to re-epithelisation (TTRE) was 12.9 days (95% CI: 11.2, 14.6, I2 = 94%). The pooled mean duration of hospitalisation was 9.8 days (95% CI: 3.9, 15.7; I2 = 100%). Mean number of total dressing changes per patient was 3.6 (95% CI: 2.2, 4.9; I2 = 99%). There were a total of 98 complications, including 30 (30.6%) infections, 29 (29.6%) surgical requirements, 14 (14.3%) hypertrophic scarring, 17 (17.3%) escalations of care, 5 (5.1%) burn depth progression, and 3 (3.1%) others. Silver foam dressings appear as a safe and effective approach in terms of healing rate and dressing change frequency for selected paediatric patients with burn injuries. Despite the promising results, further comparative studies are required to evaluate the selection criteria and long-term effect of silver foam dressing.

Abstract Image

Abstract Image

Abstract Image

小儿烧伤银泡沫敷料的治愈率和敷料频率:系统回顾和荟萃分析。
泡沫银敷料已广泛应用于烧伤的治疗;然而,它在儿童中的应用需要阐明。从数据库建立到2023年10月进行文献检索。符合条件的研究报告了21岁以下的儿科患者接受银敷料治疗烧伤或烫伤。本综述在PROSPERO进行了前瞻性注册(CRD42023470239)。18项研究符合纳入标准,共701例患者。再上皮化(TTRE)的总平均时间为12.9天(95% CI: 11.2, 14.6, I2 = 94%)。合并平均住院时间为9.8天(95% CI: 3.9, 15.7;I2 = 100%)。每位患者平均总换药次数为3.6次(95% CI: 2.2, 4.9;I2 = 99%)。共有98例并发症,其中感染30例(30.6%),手术29例(29.6%),增生性瘢痕14例(14.3%),护理升级17例(17.3%),烧伤深度进展5例(5.1%),其他3例(3.1%)。就烧伤患儿的治愈率和换药频率而言,泡沫银敷料是一种安全有效的方法。尽管结果令人鼓舞,但需要进一步的比较研究来评估泡沫银敷料的选择标准和长期效果。
本文章由计算机程序翻译,如有差异,请以英文原文为准。
求助全文
约1分钟内获得全文 求助全文
来源期刊
自引率
0.00%
发文量
0
×
引用
GB/T 7714-2015
复制
MLA
复制
APA
复制
导出至
BibTeX EndNote RefMan NoteFirst NoteExpress
×
提示
您的信息不完整,为了账户安全,请先补充。
现在去补充
×
提示
您因"违规操作"
具体请查看互助需知
我知道了
×
提示
确定
请完成安全验证×
copy
已复制链接
快去分享给好友吧!
我知道了
右上角分享
点击右上角分享
0
联系我们:info@booksci.cn Book学术提供免费学术资源搜索服务,方便国内外学者检索中英文文献。致力于提供最便捷和优质的服务体验。 Copyright © 2023 布克学术 All rights reserved.
京ICP备2023020795号-1
ghs 京公网安备 11010802042870号
Book学术文献互助
Book学术文献互助群
群 号:604180095
Book学术官方微信