Bioinformatics Tools for NGS-Based Identification of Single Nucleotide Variants and Large-Scale Rearrangements in Mitochondrial DNA.

IF 3.1 Q3 BIOTECHNOLOGY & APPLIED MICROBIOLOGY
BioTech Pub Date : 2025-02-12 DOI:10.3390/biotech14010009
Marco Barresi, Giulia Dal Santo, Rossella Izzo, Andrea Zauli, Eleonora Lamantea, Leonardo Caporali, Daniele Ghezzi, Andrea Legati
{"title":"Bioinformatics Tools for NGS-Based Identification of Single Nucleotide Variants and Large-Scale Rearrangements in Mitochondrial DNA.","authors":"Marco Barresi, Giulia Dal Santo, Rossella Izzo, Andrea Zauli, Eleonora Lamantea, Leonardo Caporali, Daniele Ghezzi, Andrea Legati","doi":"10.3390/biotech14010009","DOIUrl":null,"url":null,"abstract":"<p><p>The unique features of mitochondrial DNA (mtDNA), including its circular and multicopy nature, the possible coexistence of wild-type and mutant molecules (i.e., heteroplasmy) and the presence of nuclear mitochondrial DNA segments (NUMTs), make the diagnosis of mtDNA diseases particularly challenging. The extensive deployment of next-generation sequencing (NGS) technologies has significantly advanced the diagnosis of mtDNA-related diseases. However, the vast amounts and diverse types of sequencing data complicate the interpretation of these variants. From sequence alignment to variant calling, NGS-based mtDNA sequencing requires specialized bioinformatics tools, adapted for the mitochondrial genome. This study presents the use of new bioinformatics approaches, optimized for short- and long-read sequencing data, to enhance the accuracy of mtDNA analysis in diagnostics. Two recent and emerging free bioinformatics tools, Mitopore and MitoSAlt, were evaluated on patients previously diagnosed with single nucleotide variants or large-scale deletions. Analyses were performed in Linux-based environments and web servers implemented in Python, Perl, Java, and R. The results indicated that each tool demonstrated high sensitivity and specific accuracy in identifying and quantifying various types of pathogenic variants. The study suggests that the integrated and parallel use of these tools offers a significant advantage over traditional methods in interpreting mtDNA genetic variants, reducing the computational demands, and provides an accurate diagnostic solution.</p>","PeriodicalId":34490,"journal":{"name":"BioTech","volume":"14 1","pages":""},"PeriodicalIF":3.1000,"publicationDate":"2025-02-12","publicationTypes":"Journal Article","fieldsOfStudy":null,"isOpenAccess":false,"openAccessPdf":"https://www.ncbi.nlm.nih.gov/pmc/articles/PMC11843820/pdf/","citationCount":"0","resultStr":null,"platform":"Semanticscholar","paperid":null,"PeriodicalName":"BioTech","FirstCategoryId":"1085","ListUrlMain":"https://doi.org/10.3390/biotech14010009","RegionNum":0,"RegionCategory":null,"ArticlePicture":[],"TitleCN":null,"AbstractTextCN":null,"PMCID":null,"EPubDate":"","PubModel":"","JCR":"Q3","JCRName":"BIOTECHNOLOGY & APPLIED MICROBIOLOGY","Score":null,"Total":0}
引用次数: 0

Abstract

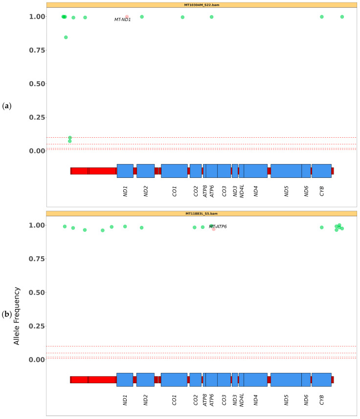
The unique features of mitochondrial DNA (mtDNA), including its circular and multicopy nature, the possible coexistence of wild-type and mutant molecules (i.e., heteroplasmy) and the presence of nuclear mitochondrial DNA segments (NUMTs), make the diagnosis of mtDNA diseases particularly challenging. The extensive deployment of next-generation sequencing (NGS) technologies has significantly advanced the diagnosis of mtDNA-related diseases. However, the vast amounts and diverse types of sequencing data complicate the interpretation of these variants. From sequence alignment to variant calling, NGS-based mtDNA sequencing requires specialized bioinformatics tools, adapted for the mitochondrial genome. This study presents the use of new bioinformatics approaches, optimized for short- and long-read sequencing data, to enhance the accuracy of mtDNA analysis in diagnostics. Two recent and emerging free bioinformatics tools, Mitopore and MitoSAlt, were evaluated on patients previously diagnosed with single nucleotide variants or large-scale deletions. Analyses were performed in Linux-based environments and web servers implemented in Python, Perl, Java, and R. The results indicated that each tool demonstrated high sensitivity and specific accuracy in identifying and quantifying various types of pathogenic variants. The study suggests that the integrated and parallel use of these tools offers a significant advantage over traditional methods in interpreting mtDNA genetic variants, reducing the computational demands, and provides an accurate diagnostic solution.

Abstract Image

Abstract Image

Abstract Image

基于 NGS 的线粒体 DNA 单核苷酸变异和大规模重排鉴定的生物信息学工具。
线粒体DNA (mtDNA)的独特特征,包括其环状和多拷贝性,野生型和突变型分子可能共存(即异质性)以及核线粒体DNA片段(NUMTs)的存在,使mtDNA疾病的诊断特别具有挑战性。下一代测序(NGS)技术的广泛应用极大地促进了mtdna相关疾病的诊断。然而,大量和不同类型的测序数据使这些变异的解释复杂化。从序列比对到变体调用,基于ngs的mtDNA测序需要专门的生物信息学工具,适用于线粒体基因组。本研究提出了使用新的生物信息学方法,优化了短读和长读测序数据,以提高诊断中mtDNA分析的准确性。两个最近和新兴的免费生物信息学工具,Mitopore和MitoSAlt,对先前诊断为单核苷酸变异或大规模缺失的患者进行了评估。分析在基于linux的环境和用Python、Perl、Java和r实现的web服务器上进行。结果表明,每种工具在识别和量化各种类型的致病变异方面都表现出很高的灵敏度和特异性准确性。该研究表明,这些工具的集成和并行使用在解释mtDNA遗传变异方面比传统方法具有显著优势,减少了计算需求,并提供了准确的诊断解决方案。
本文章由计算机程序翻译,如有差异,请以英文原文为准。
求助全文
约1分钟内获得全文 求助全文
来源期刊
BioTech
BioTech Immunology and Microbiology-Applied Microbiology and Biotechnology
CiteScore
3.70
自引率
0.00%
发文量
51
审稿时长
11 weeks
×
引用
GB/T 7714-2015
复制
MLA
复制
APA
复制
导出至
BibTeX EndNote RefMan NoteFirst NoteExpress
×
提示
您的信息不完整,为了账户安全,请先补充。
现在去补充
×
提示
您因"违规操作"
具体请查看互助需知
我知道了
×
提示
确定
请完成安全验证×
copy
已复制链接
快去分享给好友吧!
我知道了
右上角分享
点击右上角分享
0
联系我们:info@booksci.cn Book学术提供免费学术资源搜索服务,方便国内外学者检索中英文文献。致力于提供最便捷和优质的服务体验。 Copyright © 2023 布克学术 All rights reserved.
京ICP备2023020795号-1
ghs 京公网安备 11010802042870号
Book学术文献互助
Book学术文献互助群
群 号:604180095
Book学术官方微信