Synergistic antibacterial activity of chitosan-polyethylene glycol nanocomposites films containing ZIF-8 and doxycycline.

IF 3.4 3区 生物学 Q2 BIOTECHNOLOGY & APPLIED MICROBIOLOGY
Fahimeh Jamiri, Bahar Nayeri Fasaei, Seyed Mehdi Joghataei, Ramak Yahyaraeyat, Azin Mazloom-Jalali
{"title":"Synergistic antibacterial activity of chitosan-polyethylene glycol nanocomposites films containing ZIF-8 and doxycycline.","authors":"Fahimeh Jamiri, Bahar Nayeri Fasaei, Seyed Mehdi Joghataei, Ramak Yahyaraeyat, Azin Mazloom-Jalali","doi":"10.1186/s12896-025-00953-x","DOIUrl":null,"url":null,"abstract":"<p><strong>Background: </strong>Antibiotic resistance is a growing global threat due to antibiotic overuse and limited treatment options. Multidrug-resistant bacteria, like Staphylococcus aureus and Escherichia coli, increase infection complexity and mortality. This study explores nanocomposite films of ZIF-8 nanoparticles and Doxycycline (Dox) to enhance antibacterial efficacy. In this study, nanocomposite films composed of chitosan (CS) and polyethylene glycol (PEG), incorporating zeolitic imidazolate framework-8 (ZIF-8) nanoparticles and DOX, were developed. These films were characterized by their morphological, mechanical, antibacterial, and drug-release properties. Antibacterial efficacy was evaluated using disk diffusion, broth microdilution, and checkerboard assay methods to determine MICs and potential synergistic effects.</p><p><strong>Results: </strong>The nanocomposite films demonstrated flexibility, semi-transparency, and a yellowish-brown hue, with films containing ZIF-8 nanoparticles being thicker (79 ± 0.2 μm) than those without (54 ± 0.5 μm). The tensile strength was enhanced with the incorporation of ZIF-8, peaking at 53.12 MPa for the CS-PEG-G-10% DOX-4% ZIF-8 film. XRD analysis confirmed the crystallinity of the ZIF-8 and DOX, with distinct peaks observed for each material. The drug release studies revealed an initial burst followed by sustained release, with higher release rates in acidic environments compared to neutral and alkaline media. The CS-PEG-G-10% DOX-4% ZIF-8 nanocomposite film demonstrated significantly higher antibacterial activity, achieving the lowest MIC values, particularly against S. aureus (22.5 mm inhibition zone) compared to E. coli (14 mm inhibition zone). Additionally, a notable synergistic effect was observed between CS-PEG-G-10% DOX and CS-PEG-G-10% DOX, with FICI values below 0.5.</p><p><strong>Conclusions: </strong>The CS-PEG-G-10% DOX-4% ZIF-8 nanocomposite exhibits enhanced antibacterial efficacy and optimal properties, positioning it as a strong candidate for developing effective treatments against multidrug-resistant pathogens.</p>","PeriodicalId":8905,"journal":{"name":"BMC Biotechnology","volume":"25 1","pages":"19"},"PeriodicalIF":3.4000,"publicationDate":"2025-02-20","publicationTypes":"Journal Article","fieldsOfStudy":null,"isOpenAccess":false,"openAccessPdf":"https://www.ncbi.nlm.nih.gov/pmc/articles/PMC11841006/pdf/","citationCount":"0","resultStr":null,"platform":"Semanticscholar","paperid":null,"PeriodicalName":"BMC Biotechnology","FirstCategoryId":"5","ListUrlMain":"https://doi.org/10.1186/s12896-025-00953-x","RegionNum":3,"RegionCategory":"生物学","ArticlePicture":[],"TitleCN":null,"AbstractTextCN":null,"PMCID":null,"EPubDate":"","PubModel":"","JCR":"Q2","JCRName":"BIOTECHNOLOGY & APPLIED MICROBIOLOGY","Score":null,"Total":0}
引用次数: 0

Abstract

Background: Antibiotic resistance is a growing global threat due to antibiotic overuse and limited treatment options. Multidrug-resistant bacteria, like Staphylococcus aureus and Escherichia coli, increase infection complexity and mortality. This study explores nanocomposite films of ZIF-8 nanoparticles and Doxycycline (Dox) to enhance antibacterial efficacy. In this study, nanocomposite films composed of chitosan (CS) and polyethylene glycol (PEG), incorporating zeolitic imidazolate framework-8 (ZIF-8) nanoparticles and DOX, were developed. These films were characterized by their morphological, mechanical, antibacterial, and drug-release properties. Antibacterial efficacy was evaluated using disk diffusion, broth microdilution, and checkerboard assay methods to determine MICs and potential synergistic effects.

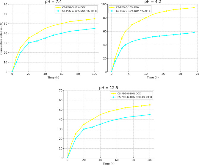
Results: The nanocomposite films demonstrated flexibility, semi-transparency, and a yellowish-brown hue, with films containing ZIF-8 nanoparticles being thicker (79 ± 0.2 μm) than those without (54 ± 0.5 μm). The tensile strength was enhanced with the incorporation of ZIF-8, peaking at 53.12 MPa for the CS-PEG-G-10% DOX-4% ZIF-8 film. XRD analysis confirmed the crystallinity of the ZIF-8 and DOX, with distinct peaks observed for each material. The drug release studies revealed an initial burst followed by sustained release, with higher release rates in acidic environments compared to neutral and alkaline media. The CS-PEG-G-10% DOX-4% ZIF-8 nanocomposite film demonstrated significantly higher antibacterial activity, achieving the lowest MIC values, particularly against S. aureus (22.5 mm inhibition zone) compared to E. coli (14 mm inhibition zone). Additionally, a notable synergistic effect was observed between CS-PEG-G-10% DOX and CS-PEG-G-10% DOX, with FICI values below 0.5.

Conclusions: The CS-PEG-G-10% DOX-4% ZIF-8 nanocomposite exhibits enhanced antibacterial efficacy and optimal properties, positioning it as a strong candidate for developing effective treatments against multidrug-resistant pathogens.

Abstract Image

Abstract Image

Abstract Image

含有ZIF-8和强力霉素的壳聚糖-聚乙二醇纳米复合膜的协同抗菌活性。
背景:由于抗生素的过度使用和有限的治疗方案,抗生素耐药性是一个日益严重的全球性威胁。金黄色葡萄球菌和大肠杆菌等多重耐药细菌增加了感染的复杂性和死亡率。本研究探讨了 ZIF-8 纳米粒子和强力霉素(Dox)的纳米复合薄膜,以增强抗菌功效。本研究开发了由壳聚糖(CS)和聚乙二醇(PEG)组成的纳米复合膜,其中包含沸石咪唑酸框架-8(ZIF-8)纳米粒子和 DOX。这些薄膜具有形态、机械、抗菌和药物释放特性。采用磁盘扩散法、肉汤微量稀释法和棋盘格检测法对抗菌效果进行了评估,以确定 MICs 和潜在的协同效应:纳米复合薄膜具有柔韧性、半透明度和黄棕色,含有 ZIF-8 纳米粒子的薄膜比不含有 ZIF-8 纳米粒子的薄膜厚(79 ± 0.2 μm)(54 ± 0.5 μm)。ZIF-8 的加入增强了薄膜的拉伸强度,CS-PEG-G-10% DOX-4% ZIF-8 薄膜的拉伸强度达到了 53.12 兆帕。XRD 分析证实了 ZIF-8 和 DOX 的结晶性,每种材料都观察到了不同的峰值。药物释放研究表明,药物在初始释放后会出现持续释放,与中性和碱性介质相比,药物在酸性环境中的释放率更高。CS-PEG-G-10% DOX-4% ZIF-8 纳米复合薄膜的抗菌活性明显更高,达到了最低的 MIC 值,尤其是对金黄色葡萄球菌(22.5 mm 抑菌区)的抗菌活性高于对大肠杆菌(14 mm 抑菌区)的抗菌活性。此外,CS-PEG-G-10% DOX 和 CS-PEG-G-10% DOX 之间还出现了显著的协同效应,FICI 值低于 0.5:CS-PEG-G-10% DOX-4% ZIF-8 纳米复合材料具有更强的抗菌功效和最佳特性,是开发有效治疗耐多药病原体的有力候选材料。
本文章由计算机程序翻译,如有差异,请以英文原文为准。
求助全文
约1分钟内获得全文 求助全文
来源期刊
BMC Biotechnology
BMC Biotechnology 工程技术-生物工程与应用微生物
CiteScore
6.60
自引率
0.00%
发文量
34
审稿时长
2 months
期刊介绍: BMC Biotechnology is an open access, peer-reviewed journal that considers articles on the manipulation of biological macromolecules or organisms for use in experimental procedures, cellular and tissue engineering or in the pharmaceutical, agricultural biotechnology and allied industries.
×
引用
GB/T 7714-2015
复制
MLA
复制
APA
复制
导出至
BibTeX EndNote RefMan NoteFirst NoteExpress
×
提示
您的信息不完整,为了账户安全,请先补充。
现在去补充
×
提示
您因"违规操作"
具体请查看互助需知
我知道了
×
提示
确定
请完成安全验证×
copy
已复制链接
快去分享给好友吧!
我知道了
右上角分享
点击右上角分享
0
联系我们:info@booksci.cn Book学术提供免费学术资源搜索服务,方便国内外学者检索中英文文献。致力于提供最便捷和优质的服务体验。 Copyright © 2023 布克学术 All rights reserved.
京ICP备2023020795号-1
ghs 京公网安备 11010802042870号
Book学术文献互助
Book学术文献互助群
群 号:604180095
Book学术官方微信